Next Article in Journal
Polymeric Materials Reinforced with Multiwall Carbon Nanotubes: A Constitutive Material Model
Previous Article in Journal
Synthesis and Enhanced Phosphate Recovery Property of Porous Calcium Silicate Hydrate Using Polyethyleneglycol as Pore-Generation Agent
Previous Article in Special Issue
Experimental Determination of the Fluorescence Quantum Yield of Semiconductor Nanocrystals
 
 
Font Type:
Arial Georgia Verdana
Font Size:
Aa Aa Aa
Line Spacing:
Column Width:
Background:
Article

Role of Fluxes in Optimizing the Optical Properties of Sr0.95Si2O2N2:0.05Eu2+ Green-Emitting Phosphor

1
Structural and Functional Integration of Ceramics Group, the Division of Functional Materials and Nanodevices, Ningbo Institute of Materials Technology and Engineering, Chinese Academy of Sciences, Ningbo, Zhejiang 315201, China
2
Sialon Group, Sialon Unit, National Institute for Materials Science, Namiki 1-1, Tsukuba, Ibaraki 305-0044, Japan
3
Fine Particles Engineering Group, Materials Processing Unit, National Institute for Materials Science, Tsukuba, Ibaraki 305-0047, Japan
*
Author to whom correspondence should be addressed.
Materials 2013, 6(7), 2862-2872; https://doi.org/10.3390/ma6072862
Submission received: 10 April 2013 / Revised: 14 June 2013 / Accepted: 8 July 2013 / Published: 15 July 2013
(This article belongs to the Special Issue Luminescent Materials)

Abstract

:
Chlorides of NH4Cl and SrCl2 and fluorides of AlF3 and SrF2 were added to raw materials acting as the flux for preparing the SrSi2O2N2:Eu2+ phosphor. The effects of the fluxes on the phase formation, particle morphology, particle size, and photoluminescence properties were investigated. The results revealed that particle size, particle morphology and photoluminescence intensity were largely dominated by the type of the flux material and its adding amount. The chloride-based flux was found to favor the formation of the SrSi2O2N2:Eu2+ phase. Among the chloride-based fluxes, the sample added with the SrCl2 flux presented the narrow particle distribution and cleaner surface, with enhanced emission intensity and an increased external quantum efficiency by 68% and 22%, respectively, compared with those of the sample without any flux adding.

1. Introduction

Recently, phosphor converted white light-emitting diodes (LEDs) have attracted much attention due to their excellent properties of high efficiency, long lifetime, low power consumption and environment-friendly characteristic, compared with those of conventional incandescent and fluorescent lamps [1,2,3,4,5,6,7,8,9,10]. Normally, there are two methods to generate white light for phosphor-converted white LEDs. The first method is combination of the blue LED chip with yellow phosphor; the second method is combination of the UV LED chip with blue, green, and red phosphors [3]. As the phosphor is one of the important parts in white LEDs, the photoluminescence properties of the phosphor can determine the performance of the LED device. In order to successfully apply the phosphor-combined LED to the lighting, the used phosphor must work under long-wavelength UV or blue LED chips and have high emission efficiency. There are some factors to affect the optical properties of the phosphor, such as particle size, crystallinity, particle morphology, and composition homogeneity. In addition, defects in the crystal grain are also a main factor to affect the luminescence of phosphor. To overcome the drawbacks mentioned above, adding flux in raw material in the solid-state reaction among various synthetic processes have been used [11,12,13,14,15,16]. For the flux used, a flux material has a melting point below the solid-state reaction temperature, which can dissolve one or more reaction components and allow the materials to enter the reaction zone. Therefore, the flux addition has great influence on the ion diffusions in the solid-state reaction and particle size distribution, growth condition, crystallization process of the synthesized phosphor as well as the formation of target product matrix with good crystallinity. Besides, by using the flux material, one of the big advantages to be taken is known to reduce the processing temperature, leading to lower the production cost. Previous literature [17,18,19] has reported that fluxes adding into various phosphors could improve the morphological and optical properties of the phosphor powders. Although flux materials, in general, can optimize the optical properties of the phosphors, the selection of an appropriate flux material and understanding of flux effect on the optical properties may differ from one phosphor to another.
In this work, Sr1–xSi2O2N2:xEu2+ phosphor is taken as a sample to understand the role of flux. This phosphor is a new class of green-emitting phosphors used into the white light-emitting diodes (WLEDs), which have superior properties over sulfide and oxide phosphors. The purpose of this work is to add various fluxes (NH4Cl, SrCl2, AlF3, SrF2) into the raw materials to investigate the effect of flux on the photoluminescence properties and crystal formation of the sample so that an appropriate flux for synthesizing Sr1–xSi2O2N2:xEu2+ would be selected. We concentrate on controlling the particle size, particle morphology, and photoluminescence intensity by combining a firing temperature with an appropriate flux, which is an important factor from the applicability of view point.

2. Results and Discussion

Figure 1 gives the XRD patterns of SrSi2O2N2:Eu2+ with 1 wt % adding amount of different fluxes (NH4Cl, SrCl2, SrF2 and AlF3) firing at various temperatures. It can be seen from Figure 1a that when the sample doped with NH4Cl flux was sintered below 1550 °C, the resultant powder was composed of a main phase of SrSi2O2N2 (JCPD card No. 49−0839) and a few SrSiO3 (JCPD No. 36−0018) impurity phase. Further increased the sintering temperature to 1550 °C, the XRD diffraction peaks matched well with those in SrSi2O2N2 structure with JCPD card No. 49–0840. This indicated that the starting phosphor materials were prone to the low temperature type of SrSi2O2N2 when the sintered temperature was below 1550 °C, whereas the high temperature type of SrSi2O2N2 was attained at a sintered temperature of above 1550 °C. This result is consistent with that reported in the literature [20]. This lower phase transformation temperature may be due to that NH4Cl has a decomposition reaction at a much lower temperature than that for the sample synthesis and could be flushed out of the system by the gas flow. As a result, the effect of NH4Cl as the flux in this reaction may play a role in cleaning effect for the surfaces of the starting particles to improve the reaction reactivity and therefore lower the synthesis temperature of the samples. For the starting materials doped with AlF3, SrCl2, SrF2 fluxes and without any flux, the high temperature phase of SrSi2O2N2 was obtained at sintering temperatures above 1400, 1500, 1500, and 1550 °C, respectively. The results above show that adding the fluxes into the raw materials can reduce the phase transformation temperature of SrSi2O2N2. Moreover, there is not any appreciable flux diffraction peaks could be found in the XRD patterns, indicating that ignorable effect of the flux addition on unpurifying the resultant phosphors.
Figure 1. XRD patterns of SrSi2O2N2:Eu2+ sintered at various temperatures with 1% flux (a) NH4Cl; (b) AlF3; (c) SrCl2; (d) SrF2; (e) none.
Figure 1. XRD patterns of SrSi2O2N2:Eu2+ sintered at various temperatures with 1% flux (a) NH4Cl; (b) AlF3; (c) SrCl2; (d) SrF2; (e) none.
Materials 06 02862 g001
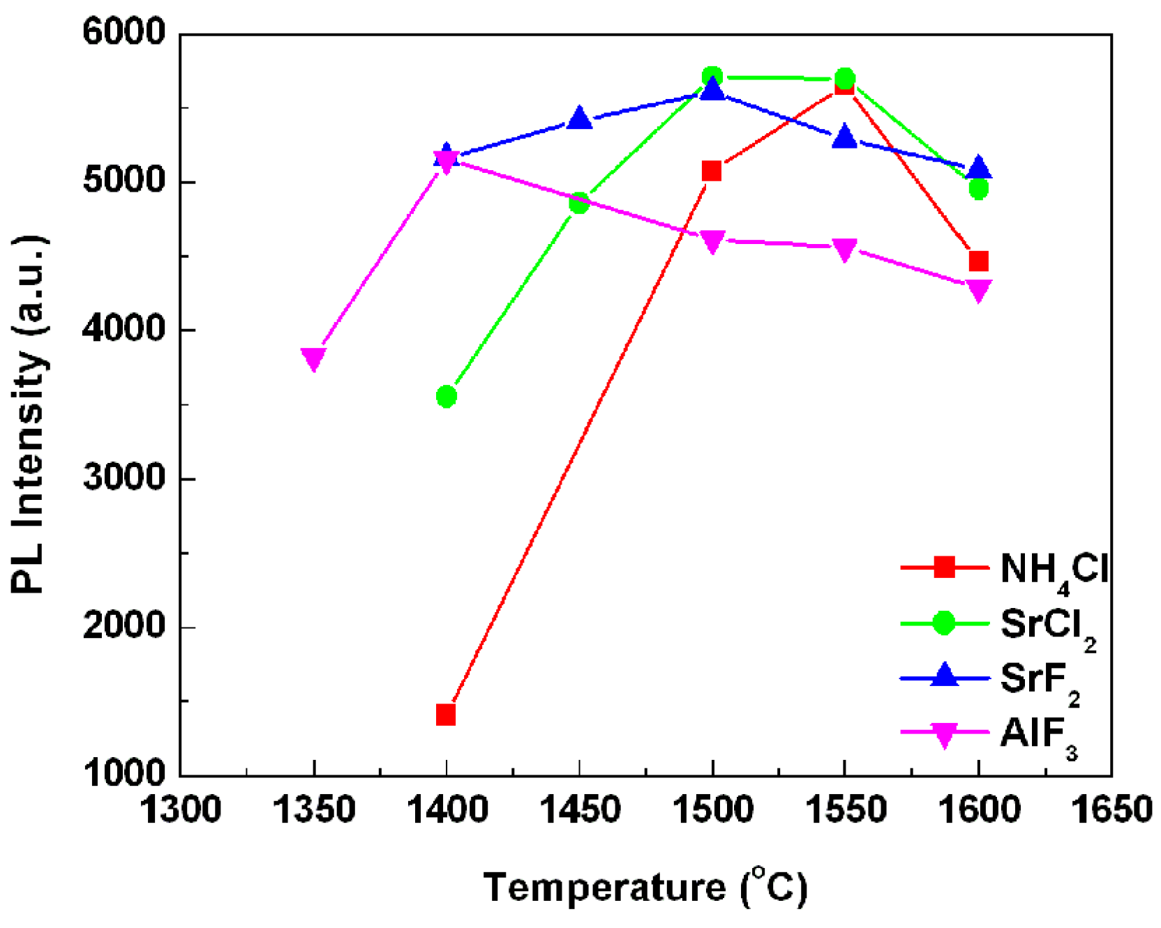
Figure 2 presents the sintering temperature dependent emission intensity of the phosphors synthesized above. Note that, with the increase of the sintering temperature, the emission intensities of all the samples increased firstly, and then fell down after the emission intensity reached the maximum value. The optimal synthesis temperatures of these samples were mainly dependent on the flux types. For the phosphors with added NH4Cl, AlF3, SrCl2, and SrF2 fluxes, the optimal sintering temperatures were 1550, 1400, 1500, and 1500 °C, respectively, which are corresponding to the lowest phase transformation temperatures of SrSi2O2N2, as shown in the XRD patterns (Figure 1), indicating that the emission intensity of phosphor composed of SrSi2O2N2 high temperature phase was much higher than that of the sample with SrSi2O2N2 low temperature phase. Thus it can be seen that adding flux can reduce the optimal sintered temperature and enhance the crystallinity effectively, since fluxes melt at lower temperature than the solid-state reaction temperature and act as solvents for the reactants facilitating solid-state reaction, finally resulting in the enhanced emission intensity at a lower sintering temperature.
Figure 2. Emission intensities of the SrSi2O2N2:Eu2+ sintered at various temperatures with 1% flux.
Figure 2. Emission intensities of the SrSi2O2N2:Eu2+ sintered at various temperatures with 1% flux.
Materials 06 02862 g002
To further investigate the effects of flux on the phase formation and photoluminescence properties of SrSi2O2N2, we have synthesized SrSi2O2N2 samples with various adding amounts of different fluxes. The XRD patterns of SrSi2O2N2 doped with various amounts of the fluxes are shown in Figure 3. It can be seen that, for the sample doped with NH4Cl flux, when the NH4Cl adding amount was increased to 5%, SrSiO3 impurity phase was observed in the resultant sample. The presence of the impurity phase was also observed in the samples doped with certain adding amounts of SrF2 and AlF3 fluxes. However, for the samples doped with various adding amounts of SrCl2 flux, all the resultant powders were composed of a single high temperature phase of SrSi2O2N2. Therefore, it can be concluded that appropriate flux adding amount is very important for obtaining the SrSi2O2N2 with single high temperature phase.
Figure 3. XRD patterns of SrSi2O2N2:Eu2+ adding various amounts flux (a) NH4Cl (1550 °C); (b) SrCl2 (1500 °C); (c) SrF2 (1500 °C); (d) AlF3 (1400 °C).
Figure 3. XRD patterns of SrSi2O2N2:Eu2+ adding various amounts flux (a) NH4Cl (1550 °C); (b) SrCl2 (1500 °C); (c) SrF2 (1500 °C); (d) AlF3 (1400 °C).
Materials 06 02862 g003
Figure 4 gives the effect of the addition amount of various types of fluxes on the emission intensity of SrSi2O2N2:Eu2+ phosphor. Note that, the emission intensity enhanced with the increase of the flux adding amount, the strongest emission intensities were obtained for the samples added with 2 wt %, 5 wt %, 3 wt % and 1 wt % of NH4Cl, SrCl2, SrF2 and AlF3 fluxes. Then the emission intensity was decreased as the adding amounts were further increased. Furthermore, it can be seen from Figure 3 that the strongest emission intensity was achieved for the samples composed of SrSi2O2N2:Eu2+ high temperature phase, which indicates that SrSi2O2N2:Eu2+ high temperature phase is advantage to obtain stronger photoluminescence properties. From Figure 4, it is known that the proper flux adding amount used in synthesizing sample can obtain optimal emission intensity of the phosphor. This may be due to that the added flux at proper flux adding amount is favorable for controlling the particle size distribution, particle morphology and the crystallinity of the resultant powders.
Figure 4. Effects of flux adding amounts on the emission intensity of SrSi2O2N2:Eu2+ phosphor with various kinds of flux.
Figure 4. Effects of flux adding amounts on the emission intensity of SrSi2O2N2:Eu2+ phosphor with various kinds of flux.
Materials 06 02862 g004
To compare the photoluminescence properties of the SrSi2O2N2:Eu2+ phosphors added with and without the flux, the photoluminescence spectra have been determined, as shown in Figure 5. The emission intensity of the sample after adding the flux was stronger than that of the powder without any flux. The reason for increasing emission intensity by adding flux should be ascribed to the crystallinity improvement of the synthesized particles, which would reduce the defects in the lattice and on the surface of the phosphor; simultaneously, and the growth enhancement of the particle size and reduction of the size distribution, which would decrease the light scattering caused by the small particles. The particle size of the synthesized sample without any flux was about 3 µm, whereas the particle sizes of the samples added with NH4Cl, SrCl2, SrF2 and AlF3 were 5.2, 4.9, 3.49 and 4.18 µm, respectively (see Figure 6). Additionally, another reason responsible for the increased emission is the control of the particle morphology by adding the flux. As seen Figure 7, the sample without adding any flux had small particle size and the particle was not crystallized very well; in contrast, the sample with adding flux had uniform particle morphology, which is advantage to obtain excellent photoluminescence properties. For the samples using various fluxes, the sample added with SrCl2 had the strongest emission intensity. Compared with the samples added without any flux and with the fluxes of NH4Cl, AlF3 and SrF2, the emission intensity of the SrSi2O2N2:Eu2+ with SrCl2 addition was enhanced evidently. This may be ascribed to every given host material having its proper flux material, which enhances the crystallinity and particle morphology of the resultant powder, finally resulting in improved photoluminescence properties. In our work, the emission intensity was much higher for the sample added with the chlorid fluxes than the sample added with the fluorid fluxes. This may be due to that the melting point of the chlorid flux was much lower than that of the fluorid flux, making the chloride liquid form easily before the formation of the low temperature phase of the SrSi2O2N2:Eu2+, which would enhance the distribution of the Eu2+ ions in the crystal structure. Furthermore, the existence of the liquid phase could increase the contact of the raw material particles and enhance the diffusions of the materials, consequently improving the reaction activity of the powders. For the sample with adding SrCl2 flux has the strongest emission intensity, which may be considered that the Sr2+ ions can compensate the losing Sr2+, which was caused by the volatilization of the released Sr from the SrO decomposition during the reaction.
Figure 5. Effects of various kinds of flux on the emission intensity of SrSi2O2N2:Eu2+ phosphors.
Figure 5. Effects of various kinds of flux on the emission intensity of SrSi2O2N2:Eu2+ phosphors.
Materials 06 02862 g005
Figure 6. Particle size distribution of SrSi2O2N2:Eu2+ with various kinds of flux (a) none (1550 °C); (b) NH4Cl (1550 °C, 2%); (c) SrCl2 (1500 °C, 5%); (d) SrF2 (1500 °C, 3%); (e) AlF3 (1400 °C, 1%).
Figure 6. Particle size distribution of SrSi2O2N2:Eu2+ with various kinds of flux (a) none (1550 °C); (b) NH4Cl (1550 °C, 2%); (c) SrCl2 (1500 °C, 5%); (d) SrF2 (1500 °C, 3%); (e) AlF3 (1400 °C, 1%).
Materials 06 02862 g006
Figure 7. SEM images of SrSi2O2N2:Eu2+ with various kinds of flux (a) none (1550 °C); (b) NH4Cl (1550 °C, 2%); (c) SrCl2 (1500 °C, 5%); (d) SrF2 (1500 °C, 3%); (e) AlF3 (1400 °C, 1%).
Figure 7. SEM images of SrSi2O2N2:Eu2+ with various kinds of flux (a) none (1550 °C); (b) NH4Cl (1550 °C, 2%); (c) SrCl2 (1500 °C, 5%); (d) SrF2 (1500 °C, 3%); (e) AlF3 (1400 °C, 1%).
Materials 06 02862 g007
Figure 8 gives the external quantum efficiencies of the SrSi2O2N2:Eu2+ doped with and without fluxes. Because of the apparatus calibration and stability of determined oxynitride powder in ambient, the degree of confidence on efficiency data can be considered to be qualified. It can be seen that the quantum efficiencies of all the samples doped with flux were stronger than that of the sample without any flux. The external quantum efficiencies of the samples doped with NH4Cl, SrCl2, SrF2 and AlF3 were 45%, 60%, 42% and 39%, respectively, under 410 nm excitation. Whereas, the external quantum efficiency of sample doped without any flux was 38%. The enhanced quantum efficiencies may be due to that the crystallinity of the powders was enhanced by adding the flux, resulting in the reduction of the defects in the host lattice and on the surface of the particles. As a result, the possibility of the non-radiation transition within and among the particles was reduced.
Figure 8. Effects of various kinds of flux on the external quantum efficiencies of SrSi2O2N2:Eu2+ phosphors.
Figure 8. Effects of various kinds of flux on the external quantum efficiencies of SrSi2O2N2:Eu2+ phosphors.
Materials 06 02862 g008

3. Experimental Procedures

A series of the Sr1−xSi2O2N2:xEu2+ (Eu2+ = 5 mol %) samples added with the fluxes of 0.5%–5% of NH4Cl, SrF2, AlF3 and 0.5%–7% of SrCl2 were synthesized by the solid-state reaction technique at high temperature. Stoichiometric mixtures of SrCO3 (Kojundo Chemical Laboratory Co. Ltd., Tokyo, Japan), SiO2 (Kojundo Chemical Laboratory Co. Ltd., Japan), Eu2O3 (Shin-Etsu Chemical Co. Ltd., Tokyo, Japan), Si3N4 (SN-E10, Ube Industries, Tokyo, Japan), NH4Cl (Sigma-Aldrich K.K., Tokyo, Japan), SrCl2 (Wako pure chemical industries Ltd., Louis, USA), SrF2 (Sigma-Aldrich K.K., Tokyo, Japan), and AlF3 (Kojundo Chemical Laboratory Co. Ltd., Tokyo, Japan) were weighed out and grounded. The mixed powders were then fired in N2/5% H2 between 1400 °C and 1600 °C for 6 h in a tube furnace. After the firing, the power was shut off and the sample was cooled down with the furnace.
The phase purity was determined by X-ray powder diffraction (XRD) (Rigaku, RINT Ultima-III) with Cu-Kα radiation (λ = 1.54056 Å), operating at 40 kV and 40 mA. The XRD data were collected in the range of 10°–60° in 2θ by a step-scan mode with a step size of 0.02.
Photoluminescence spectra were measured at room temperature by a fluorescent spectrophotometer (F-4500, Hitachi Ltd., Tokyo, Japan) with a 200 W Xe-lamp as an excitation source. Emission spectra were corrected for the spectral response of a monochromater and Hamamatsu R928P photomultiplier tube by a light diffuser and tungsten lamp (Noma, 10 V, 4 A). Excitation spectra were also corrected for the spectral distribution of xenon lamp intensity by measuring Rhodamine-B as a reference. The quantum efficiency was determined on a Hamamatsu MPCD-7000 multichannel photo detector with a 200 W Xe-lamp as an excitation source.
The powder morphology was investigated by field-emission scanning electron microscopy (FESEM, JEOL-840A, Tokyo, Japan). The particle size distribution was recorded on the Microtrac particle size analyzer (CILAS 1064, Wisconsin, USA).

4. Conclusions

In order to enhance the photoluminescence properties of SrSi2O2N2:Eu2+ produced by a conventional solid state reaction, a variety of fluxes were used and their effects on photoluminescence were investigated. It was found that the flux material played a key role in synthesizing the SrSi2O2N2:Eu2+ phosphor particles via the solid state reaction. The particle size, particle morphology and photoluminescence intensity were largely dependent on the type of the flux material used and its addition amount. The melting point of the flux materials relative to the synthesizing temperature of the reaction was found to be an important consideration for selecting an appropriate flux. The chloride-based flux was found to work well for the formation of the SrSi2O2N2:Eu2+ phase. Among the chloride-based flux, the sample added with SrCl2 had a narrow particle distribution and clean surface. The emission intensity and external quantum efficiency of the SrSi2O2N2:Eu2+ phosphor added with SrCl2 was enhanced by 68% and 22%, respectively, compared with those obtained from the sample without any flux.

Acknowledgments

This work was supported in part by National Natural Science Foundation of China (No. 51102252 and No. 51272259), JSPS KAKENHI (No. 23560811).

Conflict of Interest

The authors declare no conflict of interest.

References

  1. Chiu, C.H.; Liu, C.H.; Huang, S.B.; Chen, T.M. Synthesis and luminescence properties of intensely red-emitting M5Eu(WO4)4−x(MoO4)x (M = Li, Na, K) phosphors. J. Electrochem. Soc. 2008, 155, J71–J78. [Google Scholar] [CrossRef]
  2. Li, Y.Q.; Delsing, A.C.A.; de With, G.; Hintzen, H.T. Luminescence properties of Eu2+-activated alkaline-earth silicon-oxynitride MSi2O2-delta N2+2/3 delta (M = Ca, Sr, Ba): A promising class of novel LED conversion phosphors. Chem. Mater. 2005, 17, 3242–3248. [Google Scholar] [CrossRef]
  3. Xie, R.-J.; Hirosaki, N.; Sakuma, K.; Yamamoto, Y.; Mitomo, M. Eu2+-doped Ca-alpha-SiAlON: A yellow phosphor for white light-emitting diodes. Appl. Phys. Lett. 2004, 84, 5404–5406. [Google Scholar] [CrossRef]
  4. Wang, Z.L.; Liang, H.B.; Wang, J.; Gong, M.L.; Su, Q. Red-light-emitting diodes fabricated by near-ultraviolet InGaN chips with molybdate phosphors. Appl. Phys. Lett. 2006, 89, 071921:1–071921:3. [Google Scholar]
  5. Xie, R.-J.; Hirosaki, N.; Mitomo, M.; Yamamoto, Y.; Suehiro, T.; Sakuma, K. Optical properties of Eu2+ in alpha-SiAION. J. Phys. Chem. B 2004, 108, 12027–12031. [Google Scholar] [CrossRef]
  6. Kim, J.S.; Jeon, P.E.; Choi, J.C.; Park, H.L. Emission color variation of M2SiO4:Eu2+ (M = Ba, Sr, Ca) phosphors for light-emitting diode. Solid State Commun. 2005, 133, 187–190. [Google Scholar] [CrossRef]
  7. Zeng, Q.H.; He, P.; Pang, M.; Liang, H.B.; Gong, M.L.; Su, Q. Sr9R2−xEuxW4O24 (R = Gd and Y) red phosphor for near-UV and blue InGaN-based white LEDs. Solid State Commun. 2009, 149, 880–883. [Google Scholar] [CrossRef]
  8. Kim, K.N.; Kim, J.M.; Choi, K.J.; Park, J.K.; Kim, C.H. Synthesis, characterization, and luminescent properties of CaS:Eu phosphor. J. Am. Ceram. Soc. 2006, 89, 3413–3416. [Google Scholar] [CrossRef]
  9. Zhang, X.M.; Choi, N.; Park, K.; Kim, J. Orange emissive Sr3Al2O5Cl2:Eu2+ phosphor for warm-white light-emitting diodes. Solid State Commun. 2009, 149, 1017–1020. [Google Scholar] [CrossRef]
  10. Kim, T.G.; Kim, Y.S.; Im, S.J. Energy Transfer and Brightness Saturation in (Sr,Ca)2P2O7:Eu2+, Mn2+ Phosphor for UV-LED Lighting. J. Electrochem. Soc. 2009, 156, J203–J207. [Google Scholar] [CrossRef]
  11. Su, Y.K.; Peng, Y.M.; Yang, R.Y.; Chen, J.L. Effects of NaCl flux on microstructure and luminescent characteristics of KSrPO4:Eu2+ phosphors. Opt. Mater. 2012, 34, 1598–1602. [Google Scholar] [CrossRef]
  12. Teng, X.M.; Zhuang, W.D.; Hu, Y.S.; Zhao, C.L.; He, H.Q.; Huang, X.W. Effect of flux on the properties of CaAl2O4:Eu2+, Nd3+ long afterglow phosphor. J. Alloys Compd. 2008, 458, 446–449. [Google Scholar] [CrossRef]
  13. Lee, H.J.; Kim, K.P.; Hong, G.Y.; Yoo, J.S. The effect of flux materials on the physical and optical properties of Eu3+-activated yttrium oxide phosphors. J. Lumin. 2010, 130, 941–946. [Google Scholar] [CrossRef]
  14. Kang, Y.C.; Roh, H.S.; Park, S.B.; Park, H.D. Use of LiCl flux in the preparation of Y2O3:Eu phosphor particles by spray pyrolysis. J. Eur. Ceram. Soc. 2002, 22, 1661–1665. [Google Scholar] [CrossRef]
  15. Pan, Y.X.; Wu, M.M.; Su, Q. Tailored photoluminescence of YAG:Ce phosphor through various methods. J. Phys. Chem. Solids 2004, 65, 845–850. [Google Scholar] [CrossRef]
  16. Conet, R.L.; Hansen, P.C.; Leask, M.J.M.; Wanklyn, B.M. Optical fluorescence excitation spectra of flux-grown stoichiometric europium vanadate crystals. J. Phys. Condens. Matter 1993, 5, 573–588. [Google Scholar] [CrossRef]
  17. Chen, Y.B.; Gong, M.L.; Cheah, K.W. Effects of fluxes on the synthesis of Ca3Sc2Si3O12:Ce3+ green phosphors for white light-emitting diodes. Mater. Sci. Eng. B 2010, 166, 24–27. [Google Scholar] [CrossRef]
  18. Lee, G.H.; Yoon, C.L.; Kang, S.H. Role of flux in the production process of red phosphors for white LEDs. J. Mater. Sci. 2008, 43, 6109–6115. [Google Scholar] [CrossRef]
  19. Cho, Y.H.; Chalapathy, R.B.V.; Park, D.H.; Ahna, B.T. Low Temperature synthesis of Eu-Doped cubic phase BaAl2S4 blue phosphor using H3BO3 or B2O3 flux. J. Electrochem. Soc. 2010, 157, J45–J49. [Google Scholar] [CrossRef]
  20. Zhu, W.H.; Wang, P.L.; Sun, W.Y.; Yan, D.S. Phase-relationships in the Sr–Si–O–N system. J. Mater. Sci. 1994, 13, 560–562. [Google Scholar]

Share and Cite

MDPI and ACS Style

Liu, L.; Xie, R.-J.; Zhang, C.; Hirosaki, N. Role of Fluxes in Optimizing the Optical Properties of Sr0.95Si2O2N2:0.05Eu2+ Green-Emitting Phosphor. Materials 2013, 6, 2862-2872. https://doi.org/10.3390/ma6072862

AMA Style

Liu L, Xie R-J, Zhang C, Hirosaki N. Role of Fluxes in Optimizing the Optical Properties of Sr0.95Si2O2N2:0.05Eu2+ Green-Emitting Phosphor. Materials. 2013; 6(7):2862-2872. https://doi.org/10.3390/ma6072862

Chicago/Turabian Style

Liu, Lihong, Rong-Jun Xie, Chenning Zhang, and Naoto Hirosaki. 2013. "Role of Fluxes in Optimizing the Optical Properties of Sr0.95Si2O2N2:0.05Eu2+ Green-Emitting Phosphor" Materials 6, no. 7: 2862-2872. https://doi.org/10.3390/ma6072862

APA Style

Liu, L., Xie, R.-J., Zhang, C., & Hirosaki, N. (2013). Role of Fluxes in Optimizing the Optical Properties of Sr0.95Si2O2N2:0.05Eu2+ Green-Emitting Phosphor. Materials, 6(7), 2862-2872. https://doi.org/10.3390/ma6072862

Article Metrics

Back to TopTop