Gelation and Retrogradation Mechanism of Wheat Amylose
Abstract
:1. Introduction



2. Results and Discussion
2.1. Chemical Characteristics of Wheat Amylose
2.2. Flow Behavior
; 1.4%,
; 1.6%,
.
; 1.4%,
; 1.6%,
.
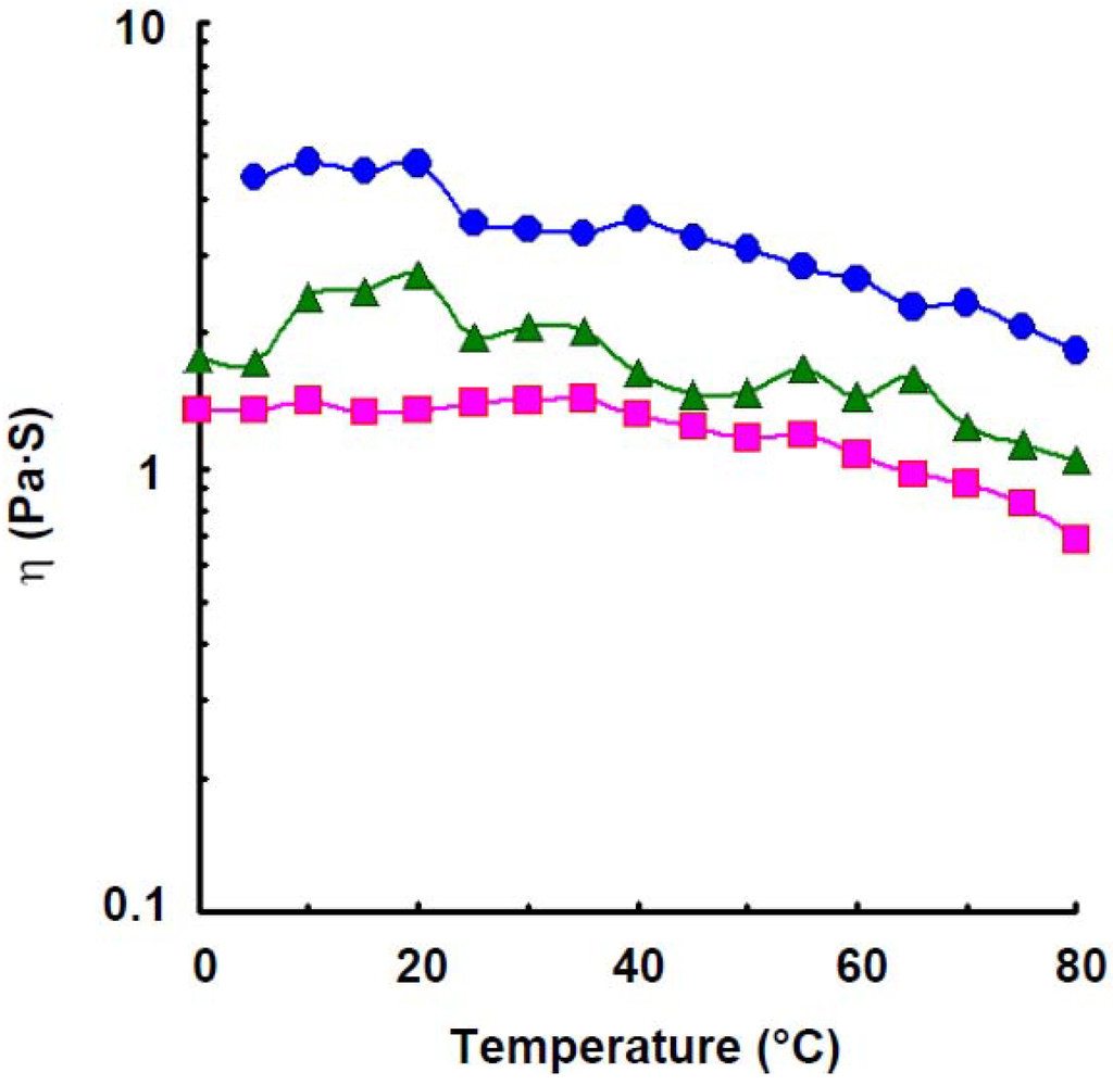
2.3. Viscosity
; 1.4%,
; 1.6%,
.
; 1.4%,
; 1.6%,
.
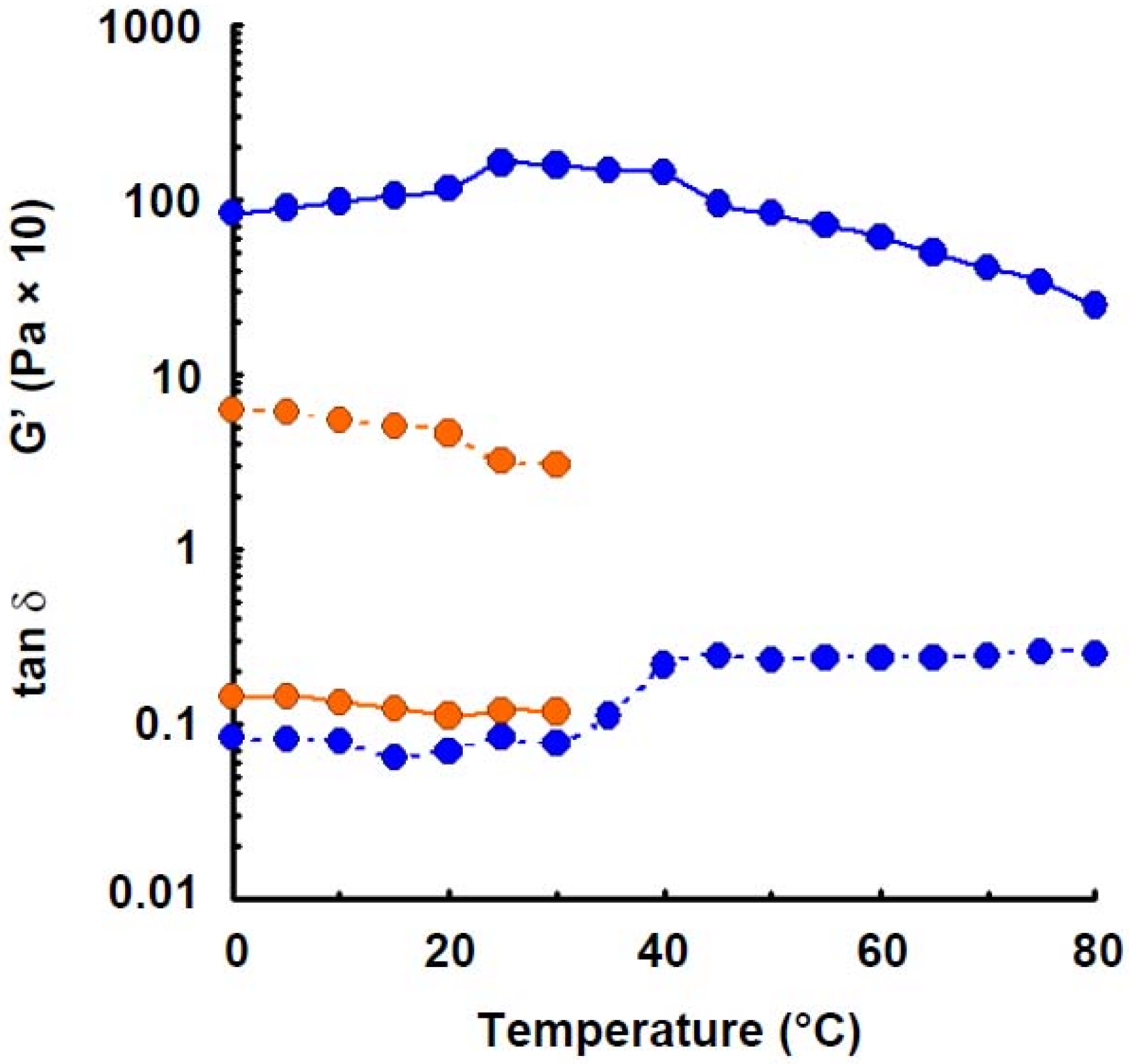
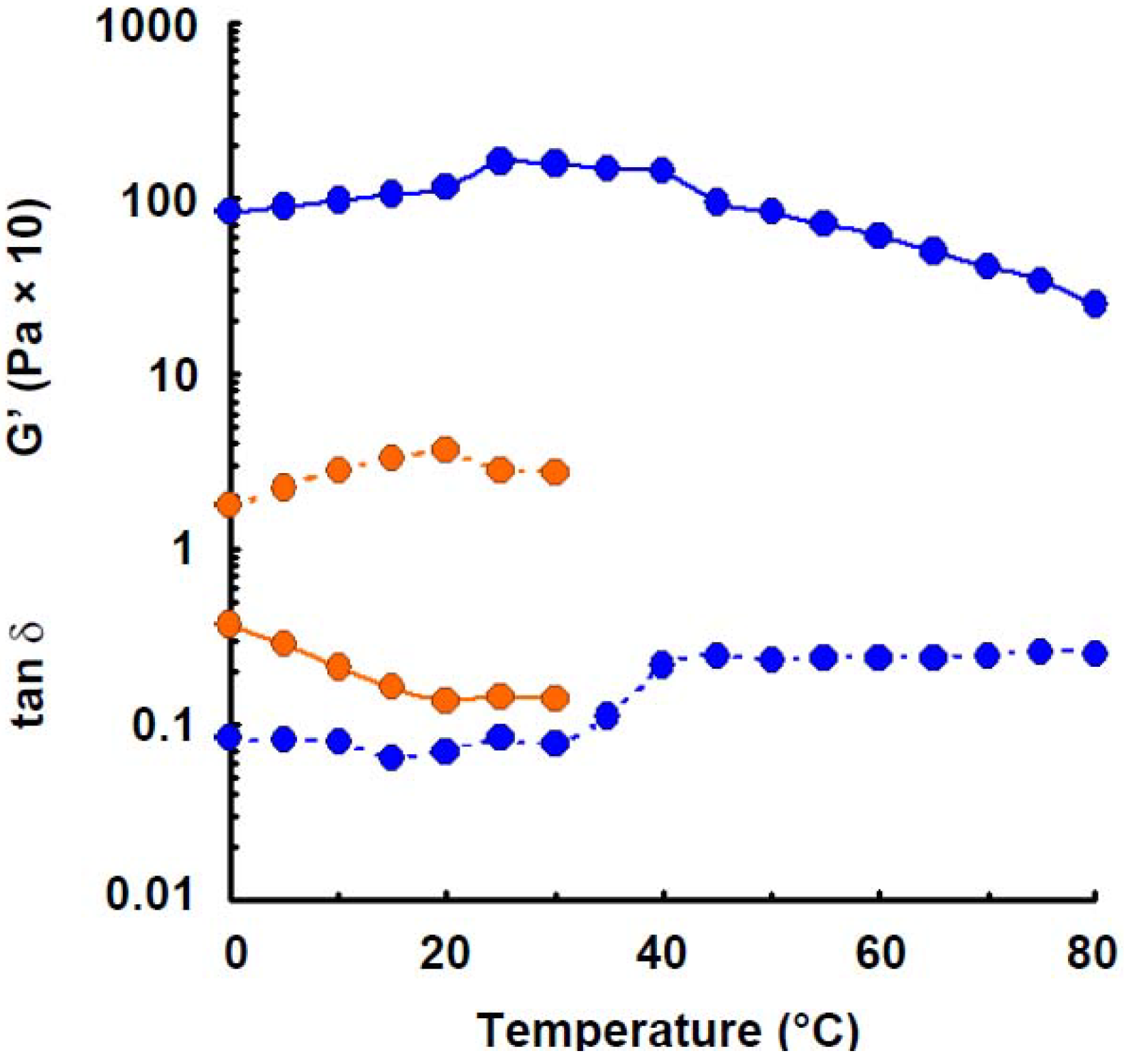
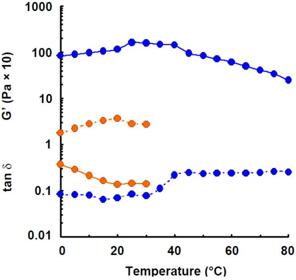
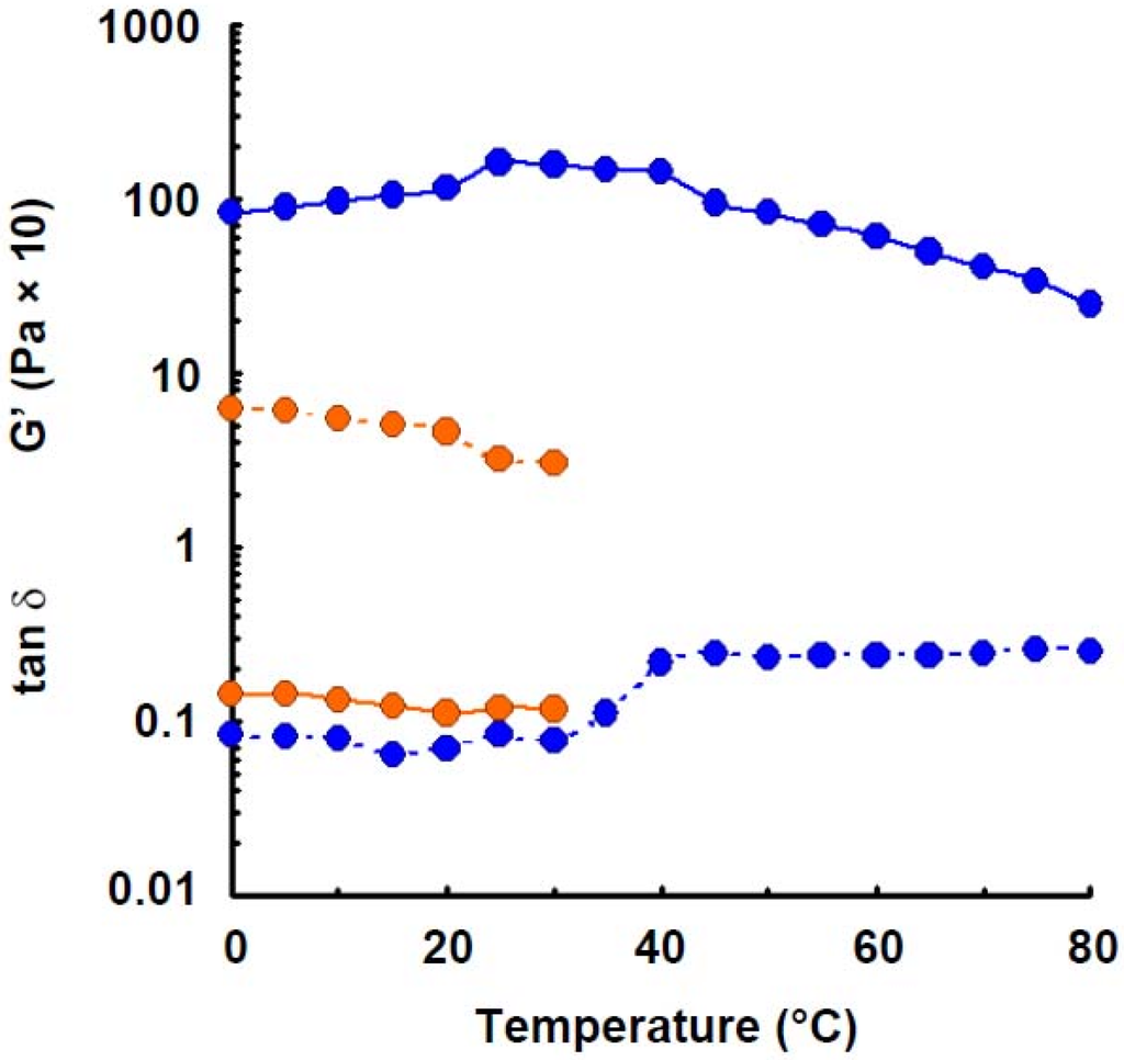
2.4. Dynamic Viscoelasticity
; 1.4%,
; 1.6%,
. Lines: storage modulus, solid; tan δ, dotted.
; 1.4%,
; 1.6%,
. Lines: storage modulus, solid; tan δ, dotted.
; preparation with addition of urea,
. Lines: storage modulus, solid; tan δ, dotted.
; preparation with addition of urea,
. Lines: storage modulus, solid; tan δ, dotted.
; preparation in 0.05 m NaOH,
. Lines: storage modulus, solid; tan δ, dotted.
; preparation in 0.05 m NaOH,
. Lines: storage modulus, solid; tan δ, dotted.
2.5. Optical Rotation
| Temperature (°C) | 60 | 50 | 40 | 30 | 25 | 20 | |
| Optical rotation (°) | +0.827 | +0.839 | +0.857 | +0.883 | +0.901 | +0.983 |
3. Experimental Section
3.1. Materials
3.2. Methods
4. Conclusions


References
- Takeda, Y.; Shirasaka, K.; Hizukuri, S. Examination of the purity and structure of amylose by gel-permiation chromatography. Carbohydr. Res. 1984, 132, 83–92. [Google Scholar] [CrossRef]
- Takeda, Y.; Hizukuri, S.; Juliano, B.O. Purification and structure of amylose from rice starch. Carbohydr. Res. 1986, 148, 299–308. [Google Scholar] [CrossRef]
- Hizukuri, S. Properties of hot-water-extractable amylose. Carbohydr. Res. 1991, 217, 251–253. [Google Scholar] [CrossRef]
- Tako, M.; Hizukuri, S. Evidence for conformational transitions in amylose. J. Carbohydr. Chem. 1995, 14, 613–622. [Google Scholar] [CrossRef]
- Tako, M. Molecular origin for the thermal stability of waxy rice (Kogane) starch. Starch/Stärke 1996, 48, 414–417. [Google Scholar]
- Tako, M.; Hizukuri, S. Molecular origin for the thermal stability of rice amylopectin. J. Carbohydr. Chem. 1997, 16, 655–666. [Google Scholar] [CrossRef]
- Tako, M.; Hizukuri, S. Molecular origin for the thermal stability of koshihikari amylopectin. Food Res. Int. 2000, 33, 35–40. [Google Scholar] [CrossRef]
- Tako, M. Rheological characteristics of potato amylopectin. J. Appl. Glycosci. 1998, 45, 379–384. [Google Scholar]
- Tako, M.; Hizukuri, S. Rheological properties of wheat (Halberd) amylopecttin. Stärke 2003, 55, 345–349. [Google Scholar] [CrossRef]
- Tako, M.; Shiroma, I.; Uechi, S. Rheological properties of wheat amylopectin. Sci. Bull. Fac. Agric. Univ. Ryukyus. 2004, 51, 139–143. [Google Scholar]
- Hizukuri, S.; Maehara, Y. Fine structure of wheat amylopectin: The mode of A to B chain binding. Carbohydr. Res. 1990, 206, 145–151. [Google Scholar] [CrossRef]
- Tako, M.; Hizukuri, S. Gelatinization mechanism of rice starch. J. Carbohydr. Chem. 1999, 18, 573–584. [Google Scholar] [CrossRef]
- Tako, M.; Hizukuri, S. Retrogradation mechanism of rice starch. Cereal Chem. 2000, 77, 473–477. [Google Scholar] [CrossRef]
- Tako, M.; Hizukuri, S. Gelatinization mechanism of potato starch. Carbohydr. Polym. 2002, 48, 397–401. [Google Scholar] [CrossRef]
- Tako, M.; Tamaki, Y.; Konishi, T.; Shibanuma, K.; Hanashiro, I.; Takeda, Y. Gelatinization and retrogradation characteristics of wheat (Rosella) starch. Food Res. Int. 2008, 41, 797–802. [Google Scholar] [CrossRef]
- Tako, M.; Tamaki, Y.; Teruya, T.; Konishi, T.; Shibanuma, K.; Hanashiro, I.; Takeda, Y. Rheological characteristics of Halberd wheat starch. Stärke 2009, 61, 275–281. [Google Scholar] [CrossRef]
- Tako, M.; Asato, A.; Nakamura, S. Rheological aspects of the intermolecular interaction between xanthan and locust bean gum in aqueous media. Agric. Biol. Chem. 1984, 48, 2995–3000. [Google Scholar] [CrossRef]
- Tako, M.; Nakamura, S. Synergistic interaction between xanthan and guar gum. Carbohydr. Res. 1985, 138, 207–213. [Google Scholar] [CrossRef]
- Tako, M.; Nakamura, S. d-mannose-specific interaction between xanthan and d-galacto-d-mannan. FEBS Lett. 1986, 204, 33–36. [Google Scholar] [CrossRef]
- Tako, M. Synergistic interaction between xanthan and tara-bean gum. Carbohydr. Polym. 1991, 15, 227–239. [Google Scholar]
- Tako, M. Synergistic interaction between deacylated xanthan and galactomannan. J. Carbohydr. Chem. 1991, 10, 619–633. [Google Scholar] [CrossRef]
- Tako, M. Molecular origin for rheological characteristics of xanthan gum. ACS Symp. Ser. 1992, 489, 268–281. [Google Scholar]
- Tako, M. Synergistic interaction between xanthan and konjac glucomannan in aqueous media. Biosci. Biotechnol. Biochem. 1992, 56, 1186–1192. [Google Scholar] [CrossRef]
- Tako, M. Binding sites for d-mannose-specific interaction between xanthan and galactomannan, and glucomannan. Colloids Sur. B 1993, 1, 125–131. [Google Scholar] [CrossRef]
- Tako, M.; Nakamura, S. Indicative evidence for a cconformational transition in kappa-carrageenan from studies of shear rate dependence. Carbohydr. Res. 1986, 155, 200–205. [Google Scholar] [CrossRef]
- Tako, M.; Nakamura, S.; Kohda, Y. Indicative evidence for a conformational transition in iota-carrageenan. Carbohydr. Res. 1987, 161, 247–255. [Google Scholar] [CrossRef]
- Tako, M.; Nakamura, S. Gelation mechanism of agarose. Carbohydr. Res. 1988, 180, 277–284. [Google Scholar] [CrossRef]
- Tako, M.; Sakae, A.; Nakamura, S. Rheological properties of gellan gum in aqueous media. Agric. Biol.Chem. 1989, 53, 771–776. [Google Scholar] [CrossRef]
- Tako, M.; Tohma, S.; Taira, T.; Ishihara, M. Gelation mechanism of deacetylated rhamsan gum. Carbohydr. Polym. 2003, 54, 279–401. [Google Scholar] [CrossRef]
- Tako, M.; Hanashiro, I. Evidence for a conformational transition in curdlan. Polym. Gels Netw. 1997, 5, 241–250. [Google Scholar] [CrossRef]
- Lansky, B.L.; Kooi, M.; Schoch, T.J. Properties of the fractions and linear subtractions from various starches. J. Am. Chem. 1949, 71, 4066–4075. [Google Scholar] [CrossRef]
- Somogyi, M. Notes on the sugar determination. J. Biol. Chem. 1952, 195, 19–23. [Google Scholar] [PubMed]
- Nelson, N. A photometric adaptation of the Somogyi method for the determination of glucose. J. Biol. Chem. 1944, 153, 375–380. [Google Scholar]
- Dubois, M.; Gilles, K.A.; Hamilton, J.K.; Rebers, P.A.; Smith, F. Colorimetric method for determination of sugars and related substances. Anal. Chem. 1956, 28, 350–356. [Google Scholar] [CrossRef]
- Harris, J. Rheology and Non-Newtonian Flow; Longman: New York, NY, USA, 1977; pp. 28–33. [Google Scholar]
- Markovitz, H. A property of bressel functions and its application to the theory of two rheometers. J. Appl. Phys. 1952, 23, 1070–1077. [Google Scholar] [CrossRef]
- Perez, S.; Vergelati, C. Solid state and solution features of amylose and amylosic fragments. Polym. Bull. 1987, 17, 141–148. [Google Scholar] [CrossRef]
- Tako, M. Structural principles of polysaccharide gels. J. Appl. Glycosci. 2000, 47, 49–53. [Google Scholar] [CrossRef]
© 2011 by the authors; licensee MDPI, Basel, Switzerland. This article is an open access article distributed under the terms and conditions of the Creative Commons Attribution license (http://creativecommons.org/licenses/by/3.0/).
Share and Cite
Tamaki, Y.; Konishi, T.; Tako, M. Gelation and Retrogradation Mechanism of Wheat Amylose. Materials 2011, 4, 1763-1775. https://doi.org/10.3390/ma4101763
Tamaki Y, Konishi T, Tako M. Gelation and Retrogradation Mechanism of Wheat Amylose. Materials. 2011; 4(10):1763-1775. https://doi.org/10.3390/ma4101763
Chicago/Turabian StyleTamaki, Yukihiro, Teruko Konishi, and Masakuni Tako. 2011. "Gelation and Retrogradation Mechanism of Wheat Amylose" Materials 4, no. 10: 1763-1775. https://doi.org/10.3390/ma4101763
APA StyleTamaki, Y., Konishi, T., & Tako, M. (2011). Gelation and Retrogradation Mechanism of Wheat Amylose. Materials, 4(10), 1763-1775. https://doi.org/10.3390/ma4101763
