Design, Fabrication, and Properties of High Damping Metal Matrix Composites—A Review
Abstract
:1. Introduction
2. Design of High Damping Metal Matrix Composites
2.1. Discontinuously reinforced high damping MMCs

2.2. Nano-scaled dispersoids reinforced high damping MMCs
| Wt.% of Al2O3 | Loss factor η | Dynamic modulus (GPa) | Hardness (HV) |
|---|---|---|---|
| 0 | 0.0085 | 39.52 | 39.6 ± 2.1 |
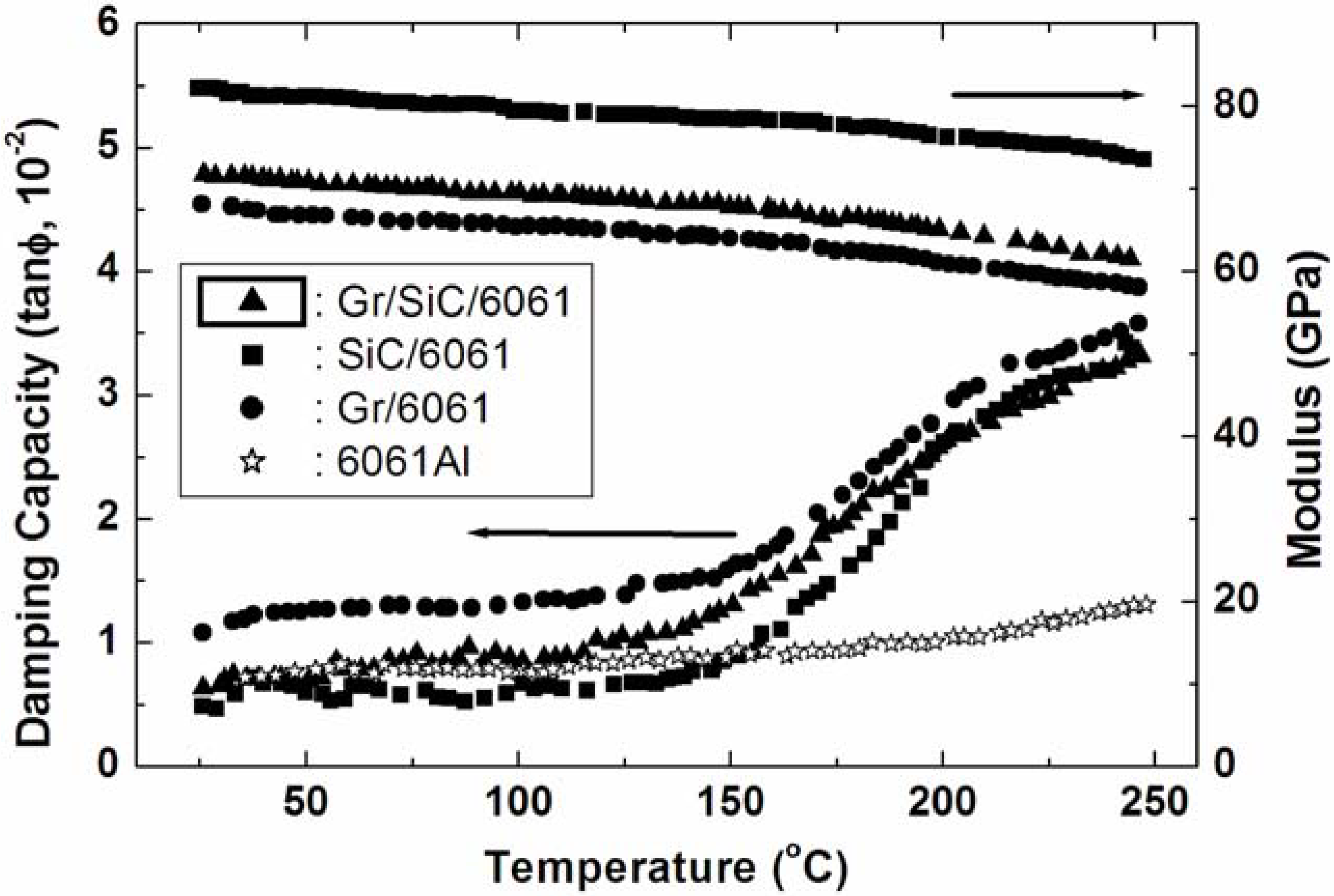
2.3. Fiber reinforced high damping MMCs
| Reinforcements in MMC | Design concepts (aim at reinforcements) | Targets | Deficiencies |
|---|---|---|---|
| SiC, Al2O3 | Make use of the high stiffness and strength | Improved specific stiffness and strength | Whether the damping capacity can be improved is ambiguous |
| Graphite | Make use of the high damping capacity | Improved damping capacity | Deteriorated stiffness |
| Fly ash | Make use of the hollow ceramic structure | Improved ambient temperature damping, hardness, stiffness | Deteriorated tensibility |
| SMAs | Make use of the high damping capacity and mechanical properties | Improved damping capacity and some functions as SMA has | High damping capacity only occurs at the phase transformation temperature and decreases dramatically with increasing frequency |
| Piezoelectric ceramics | Make use of piezoelectric effects | Improved damping capacity | Related research is deficient |
| Nano-scaled dispersoids | Make use of the effect of particulate size | Improved mechanical properties | Whether the damping capacity can be improved is ambiguous |
| Li5La3Ta2O12 | Make use of the damping mechanism of point defects, and the hardness of the ceramics | Improved damping capacity and mechanical performance at room temperature | Further study is underway |
3. Fabrication of High Damping MMCs
3.1. Solid state processes
3.2. Liquid phase processes
3.3. Two-phase processes
4. Damping Behavior of Al, Mg Based MMCs
4.1. Damping behavior and mechanisms in Al, Al alloy and Al based MMCs
| Material | Test | T (°C) | f (Hz) | Maximum loss factor | Ref. |
|---|---|---|---|---|---|
| Graphite | Bending | 30-250 | 0.1-10 | 0.013 | [68] |
| Material | tanφ | |
|---|---|---|
| 50 °C | 250 °C | |
| As received 2519 | 0.005 | 0.008 |

4.2. Damping behavior and mechanisms in Mg, Mg alloy and Mg based MMCs
| Material | Reinforcement volume fraction | Loss tangent tanφ | f (Hz) | Test | Mechanical property | Ref. | |
|---|---|---|---|---|---|---|---|
| Fly ash/A356 | 0 | 0.018 | 10 | DMA | Dynamic Young’s modulus (GPa) | 69 | [31] |
| 6 vol.% | 0.03 | 70 | |||||
| 12 vol.% | 0.04 | 74 | |||||
| TiAl3/Al | 0 | 0.004 | 1-10 | DMA | - | [79] | |
| 5 wt.% | 0.008 | ||||||
| 10 wt.% | 0.012 | ||||||
| FeAl3/Al | 0 | 0.005 | 0.5 | DMA | - | [80] | |
| 5 wt.% | 0.01 | ||||||
| TiC/AZ91 | 0 | 0.012 | 0.1 | DMA | Young’s modulus (GPa) | 45 | [81] |
| 8 wt.% | 0.020 | 49.1 | |||||
| Cfiber/Mg-2 wt.%Si | - | 0.01 | 1 | torsion pendulum | Shear modulus (GPa) | 18.8 | [82] |
| Li5La3Ta2O12/Al | 0 | 0.0027 | 2 | torsion pendulum | Compressive strength (MPa) | 95.4 | [83] |
| 20 wt.% | 0.0098 | 136.2 | |||||
| 25 wt.% | 0.018 | - | |||||
5. A New Design Concept of High Damping MMCs


6. Conclusions
Acknowledgements
References and Notes
- Zhang, J.M.; Perez, R.J.; Wong, C.R.; Lavernia, E.J. Effects of secondary phases on the damping behavior of metals, alloys and metal-matrix composites. Mater. Sci. Eng. R Rep. 1994, 13, 325–389. [Google Scholar] [CrossRef]
- James, D.W. High damping metals for engineering applications. Mater. Sci. Eng. 1969, 4, 1–8. [Google Scholar] [CrossRef]
- Zhang, J.; Perez, R.J.; Lavernia, E.J. Documentation of damping capacity of metallic, ceramic and metal-matrix composite-materials. J. Mater. Sci. 1993, 28, 2395–2404. [Google Scholar] [CrossRef]
- Srikanth, N.; Zhong, X.L.; Gupta, M. Enhancing damping of pure magnesium using nano-size alumina particulates. Mater. Lett. 2005, 59, 3851–3855. [Google Scholar] [CrossRef]
- Schaller, R. Metal matrix composites, a smart choice for high damping materials. J. Alloys Compd. 2003, 355, 131–135. [Google Scholar] [CrossRef]
- Lavernia, E.J.; Perez, R.J.; Zhang, J. Damping behavior of discontinuously reinforced Al-alloy metal-matrix composites. Metall. Mater. Trans. A 1995, 26, 2803–2818. [Google Scholar] [CrossRef]
- Mitra, R.; Mahajan, Y.R. Interfaces in discontinuously reinforced metal-matrix composites: An overview. Bull. Mater. Sci. 1995, 18, 405–434. [Google Scholar] [CrossRef]
- Ibrahim, I.A.; Mohamed, F.A.; Lavernia, E.J. Particulate reinforced metal matrix composites- a review. J. Mater. Sci. 1991, 26, 1137–1156. [Google Scholar] [CrossRef]
- Chawla, N.; Shen, Y.L. Mechanical behavior of particle reinforced metal matrix composites. Adv. Eng. Mater. 2001, 3, 357–370. [Google Scholar] [CrossRef]
- Sinclair, I.; Gregson, P.J. Structural performance of discontinuous metal matrix composites. Mater. Sci. Technol. 1997, 13, 709–726. [Google Scholar] [CrossRef]
- Llorca, J. Fatigue of particle- and whisker-reinforced metal-matrix composites. Prog. Mater. Sci. 2002, 47, 283–353. [Google Scholar] [CrossRef]
- Zhang, J.; Perez, R.J.; Lavernia, E.J. Effect of SiC and graphite particulates on the damping behavior of metal-matrix composites. Acta Metall. Mater. 1994, 42, 395–409. [Google Scholar] [CrossRef]
- Kang, C.S.; Maeda, K.; Wang, K.J.; Wakashima, K. Dynamic Young’s modulus and internal friction in particulate SiC/Al composites. Acta Mater. 1998, 46, 1209–1220. [Google Scholar] [CrossRef]
- Srikanth, N.; Gupta, M. Damping characterization of Mg-SiC composites using an integrated suspended beam method and new circle-fit approach. Mater. Res. Bull. 2002, 37, 1149–1162. [Google Scholar] [CrossRef]
- Gu, J.H.; Zhang, X.N.; Gu, M.Y. Mechanical properties and damping capacity of (SiCp+Al2O3 center dot SiO2f)/Mg hybrid metal matrix composite. J. Alloys Compd. 2004, 385, 104–108. [Google Scholar] [CrossRef]
- Srikanth, N.; Gupta, M. Determination of energy dissipation in Mg/SiC formulations using a new method of suspended beam coupled with circle fit approach. Scr. Mater. 2001, 45, 1031–1037. [Google Scholar] [CrossRef]
- Bauri, R.; Surappa, M. Damping behavior of Al-Li-SiCp composites processed by stir casting technique. Metall. Mater. Trans. A 2005, 36, 667–673. [Google Scholar] [CrossRef]
- Srikanth, N.; Saravanaranganathan, D.; Gupta, M. Effect of presence of SiC and operating frequency on the damping behaviour of pure magnesium. Mater. Sci. Technol. 2004, 20, 1389–1396. [Google Scholar] [CrossRef]
- Zhang, H.; Gu, M. Internal friction behavior in SiC particulate reinforced aluminum metal matrix composite in thermal cycling. J. Alloys Compd. 2006, 426, 247–252. [Google Scholar] [CrossRef]
- Ludwigson, M.N.; Lakes, R.S.; Swan, C.C. Damping and stiffness of particulate SiC-InSn composite. J. Compos Mater. 2002, 36, 2245–2254. [Google Scholar] [CrossRef]
- Carreno-Morelli, E.; Urreta, S.E.; Schaller, R. Mechanical spectroscopy of thermal stress relaxation at metal-ceramic interfaces in aluminum-based composites. Acta Mater. 2000, 48, 4725–4733. [Google Scholar] [CrossRef]
- Elomari, S.; Boukhili, R.; Skibo, M.D.; Masounave, J. Dynamic-mechanical analysis of prestrained Al2O3/Al metal-matrix composite. J. Mater. Sci. 1995, 30, 3037–3044. [Google Scholar] [CrossRef]
- Mielczarek, A.; Trojanova, Z.; Riehemann, W.; Lukac, P. Influence of mechanical cycling on damping behaviour of short fibre-reinforced magnesium alloy QE22. Mater. Sci. Eng. A Struct. Mater. 2006, 442, 484–487. [Google Scholar] [CrossRef]
- Wei, J.N.; Cheng, H.F.; Zhang, Y.F.; Han, F.S.; Zhou, Z.C.; Shui, J.P. Effects of macroscopic graphite particulates on the damping behavior of commercially pure aluminum. Mater. Sci. Eng. A Struct. Mater. 2002, 325, 444–453. [Google Scholar] [CrossRef]
- Gu, J.H.; Zhang, X.N.; Gu, M.Y.; Gu, M.; Wang, X.K. Internal friction peak and damping mechanism in high damping 6061Al/SiCp/Gr hybrid metal matrix composite. J. Alloys Compd. 2004, 372, 304–308. [Google Scholar] [CrossRef]
- Chu, H.S.; Liu, K.S.; Yeh, J.W. Damping behavior of in situ Al-(graphite, Al4C3) composites produced by reciprocating extrusion. J. Mater. Res. 2001, 16, 1372–1380. [Google Scholar] [CrossRef]
- Wei, J.N.; Wang, D.Y.; Xie, W.J.; Luo, J.L.; Han, F.S. Effects of macroscopic graphite particulates on the damping behavior of Zn-Al eutectoid alloy. Phys. Lett. A 2007, 366, 134–136. [Google Scholar] [CrossRef]
- Mohamed, F.A.; Park, K.T.; Lavernia, E.J. Creep-behavior of discontinuous SiC-Al composites. Mater. Sci. Eng. A Struct. Mater. 1992, 150, 21–35. [Google Scholar] [CrossRef]
- Rohatgi, P.K.; Nath, D.; Singh, S.S.; Keshavaram, B.N. Factors affecting the damping capacity of cast aluminum-matrix composites. J. Mater. Sci. 1994, 29, 5975–5984. [Google Scholar] [CrossRef]
- Wu, G.H.; Dou, Z.Y.; Jiang, L.T.; Cao, J.H. Damping properties of aluminum matrix-fly ash composites. Mater. Lett. 2006, 60, 2945–2948. [Google Scholar] [CrossRef]
- Sudarshan; Surappa, M.K. Synthesis of fly ash particle reinforced A356 Al composites and their characterization. Mater. Sci. Eng. A Struct. Mater. 2008, 480, 117–124. [Google Scholar] [CrossRef]
- Van Humbeeck, J. Non-medical applications of shape memory alloys. Mater. Sci. Eng. A Struct. Mater. 1999, 273, 134–148. [Google Scholar] [CrossRef]
- Yamada, Y.; Taya, M.; Watanabe, R. Strengthening of metal-matrix composite by shape-memory effect. Mater. Trans., JIM 1993, 34, 254–260. [Google Scholar]
- Boyd, J.G.; Lagoudas, D.C. A thermodynamical constitute model for shape memory materials. Part I. The monolithic shape memory alloy. Int. J. Plast. 1996, 12, 805–842. [Google Scholar] [CrossRef]
- Boyd, J.G.; Lagoudas, D.C. A thermodynamical constitutive model for shape memory materials. Part Ⅱ. The SMA composite material. Int. J. Plast. 1996, 12, 843–873. [Google Scholar] [CrossRef]
- Wei, Z.G.; Sandstroröm, R.; Miyazaki, S. Shape-memory materials and hybrid composites for smart systems: Part I Shape-memory materials. J. Mater. Sci. 1998, 33, 3743–3762. [Google Scholar] [CrossRef]
- Wei, Z.G.; Sandstrom, R.; Miyazaki, S. Shape memory materials and hybrid composites for smart systems: Part II Shape-memory hybrid composites. J. Mater. Sci. 1998, 33, 3763–3783. [Google Scholar] [CrossRef]
- Chung, D.D.L. Materials for vibration damping. J. Mater. Sci. 2001, 36, 5733–5737. [Google Scholar] [CrossRef]
- Thorat, R.R.; Risanti, D.D.; Martin, D.S.; Garces, G.; del Castilloa, P.; van der Zwaag, S. On the transformation behaviour of NiTi particulate reinforced AA2124 composites. J. Alloys Compd. 2009, 477, 307–315. [Google Scholar] [CrossRef]
- San Juan, J.; No, M.L. Internal friction in a new kind of metal matrix composites. Mater. Sci. Eng. A Struct. Mater. 2006, 442, 429–432. [Google Scholar] [CrossRef]
- Lopez, G.A.; Barrado, M.; Bocanegra, E.H.; Juan, J.M.S.; No, M.L. Influence of the matrix and of the thermal treatment on the martensitic transformation in metal matrix composites. Mater. Sci. Eng. A Struct. Mater. 2008, 481, 546–550. [Google Scholar] [CrossRef]
- Yoshida, I.; Yokosuka, M.; Monma, D.; Ono, T.; Sakurai, M. Damping properties of metal-piezoelectric composites. J. Alloys Compd. 2003, 355, 136–141. [Google Scholar] [CrossRef]
- Sun, W.; Wang, Q.Z.; Han, F.S. The internal friction related to dislocation peak in a graphite particulate CuAlMn shape memory alloy composite. Acta Phys. Sin. 2007, 56, 1020–1026. [Google Scholar]
- Shin, K.; Wong, C.R.; Whang, S.H. Fabrication and damping capacity of Cu-Zn-Al matrix composites processed by powder-metallurgy route. Mater. Sci. Eng. A Struct. Mater. 1993, 165, 35–43. [Google Scholar] [CrossRef]
- Sannino, A.P.; Rack, H.J. Dry sliding wear of discontinuously reinforced aluminum composites-review and discussion. Wear 1995, 189, 1–19. [Google Scholar] [CrossRef]
- Tjong, S.C. Novel nanoparticle-reinforced metal matrix composites with enhanced mechanical properties. Adv. Eng. Mater. 2007, 9, 639–652. [Google Scholar] [CrossRef]
- Peng, L.M.; Zhu, S.J. Creep of metal matrix composites reinforced by combining nano-sized dispersoids with micro-sized ceramic particulates or whiskers (review). Int. J. Mater. Prod. Technol. 2003, 18, 215–254. [Google Scholar]
- Kireitseu, M.; Hui, D.; Tomlinson, G. Advanced shock-resistant and vibration damping of nanoparticle-reinforced composite material. Compos. Part B Engineering 2008, 39, 128–138. [Google Scholar] [CrossRef]
- Yang, J.; Schaller, R. Mechanical spectroscopy of Mg reinforced with Al2O3 short fibers and C nanotubes. Mater. Sci. Eng. A Struct. Mater. 2004, 370, 512–515. [Google Scholar] [CrossRef]
- Deng, C.F.; Wang, D.Z.; Zhang, X.Z.; Ma, Y.X. Damping characteristics of carbon nanotube reinforced aluminum composite. Mater. Lett. 2007, 61, 3229–3231. [Google Scholar] [CrossRef]
- Furuya, Y.; Sasaki, A.; Taya, M. Enhanced mechanical-properties of TiNi shape-memory fiber/Al matrix composite. Mater. Trans., JIM 1993, 34, 224–227. [Google Scholar]
- Mayencourt, C.; Schaller, R. Development of a high-damping composite: Mg2Si/Mg. Phys. Status Solidi A 1997, 163, 357–368. [Google Scholar] [CrossRef]
- Chowdhury, A.; Mari, D.; Schaller, R. Thermal stress relaxation in magnesium matrix composites studied by mechanical spectroscopy. Phys. Status Solidi A 2008, 205, 249–254. [Google Scholar] [CrossRef]
- Wren, G.G.; Kinra, V.K. Flexural damping of a P55 graphite/magnesium composite. J. Mater. Sci. 1995, 30, 3279–3284. [Google Scholar] [CrossRef]
- Mortensen, A.; Jin, I. Solidification processing of metal matrix composites. Int. Mater. Rev. 1992, 37, 101–128. [Google Scholar] [CrossRef]
- Tjong, S.C.; Ma, Z.Y. Microstructural and mechanical characteristics of in situ metal matrix composites. Mater. Sci. Eng. R 2000, 29, 49–113. [Google Scholar] [CrossRef]
- Harrigan, W.C. Commercial processing of metal matrix composites. Mater. Sci. Eng. A Struct. Mater. 1998, 244, 75–79. [Google Scholar] [CrossRef]
- Ye, H.Z.; Liu, X.Y. Review of recent studies in magnesium matrix composites. J. Mater. Sci. 2004, 39, 6153–6171. [Google Scholar] [CrossRef]
- da Costa, C.E.; Lopez, F.V.; Castello, J.M.T. Metal matrix composites. Part 1. Types, properties, applications. Rev. Metal. 2000, 36, 179–192. [Google Scholar] [CrossRef]
- da Costa, C.E.; Lopez, F.V.; Castello, J.M.T. Metal matrix composites. Part 2. Processing and consolidation techniques for particle reinforced MMCs. Rev. Metal. 2000, 36, 193–197. [Google Scholar] [CrossRef]
- German, R.M. Powder Injection Molding Symposium. Int. J. Powder Metall. 1990, 26, 402. [Google Scholar]
- German, R.M.; Hens, K.F.; Lin, S.T.P. Key issues in powder injection-molding. Am. Ceram. Soc. Bull. 1991, 70, 1294–1302. [Google Scholar]
- Ye, H.Z.; Liu, X.Y.; Hong, H.P. Fabrication of metal matrix composites by metal injection molding - A review. J. Mater. Process. Technol. 2008, 200, 12–24. [Google Scholar] [CrossRef]
- Asthana, R. Cast metal-matrix composites. I: Fabrication techniques. J. Mater. Synth. Process. 1997, 5, 251–278. [Google Scholar]
- Carreno-Morelli, E.; Cutard, T.; Schaller, R.; Bonjour, C. Processing and characterization of aluminium-based MMCs produced by gas pressure infiltration. Mater. Sci. Eng. A Struct. Mater. 1998, 251, 48–57. [Google Scholar] [CrossRef]
- Mayencourt, C.; Schaller, R. Mechanical-stress relaxation in magnesium-based composites. Mater. Sci. Eng. A Struct. Mater. 2002, 325, 286–291. [Google Scholar] [CrossRef]
- Couteau, O.; Schaller, R. Effect of the fiber orientation on the transient damping in metal matrix composites. Mater. Sci. Eng. A Struct. Mater. 2004, 387, 862–866. [Google Scholar] [CrossRef]
- Zhang, J.; Perez, R.J.; Gupta, M.; Lavernia, E.J. Damping behavior of particulate reinforced 2519 Al metal matrix composites. Scr. Metall. Materialia 1993, 28, 91–96. [Google Scholar] [CrossRef]
- Srikanath, N.; Saravanaranganathan, D.; Gupta, M.; Lu, L.; Lai, M.O. Modelling and determination of dynamic elastic modulus of magnesium based metal matrix composites. Mater. Sci. Technol. 2000, 16, 309–314. [Google Scholar] [CrossRef]
- Niblett, D.H.; Wilks, J. Dislocation damping in metals. Adv. Phys. 1960, 9, 1–88. [Google Scholar] [CrossRef]
- Riviere, A. Analysis of the low frequency damping observed at medium and high temperatures. Mater. Sci. Eng. A Struct. Mater. 2004, 370, 204–208. [Google Scholar] [CrossRef]
- Nishino, Y.; Murayama, T.; Asano, S. Strain-amplitude-dependent internal-friction and microplasticity in alumina with microcracks. Philos. Mag. A 1992, 65, 1187–1197. [Google Scholar] [CrossRef]
- Nishiyama, K.; Yamanaka, M.; Omori, M.; Umekawa, S. High-temperature dependence of the internal friction and modulus change of tetragonal ZrO2, Si3N4 and SiC. J. Mater. Sci. Lett. 1990, 9, 526–528. [Google Scholar] [CrossRef]
- Wang, X.P.; Wang, W.G.; Gao, Y.X.; Zhang, T.; Fang, Q.F. Low frequency internal friction study of lithium ion conductor Li5La3Ta2O12. Mater. Sci. Eng. A Struct. Mater. 2009. [Google Scholar] [CrossRef]
- Zhang, J.; Perez, R.J.; Lavernia, E.J. Damping behavior of 6061Al/SiC/Gr spray-deposited composites. In M3D Ⅲ : Mechanics and Mechanisms of Material Damping; Wolfenden, A., Kinra, V.K., Eds.; American Society for Testing and Materials: Philadelphia, PA, USA, 1997; pp. 313–330. [Google Scholar]
- Sugimoto, K. Basic and applied research on high-damping alloys for application to noise control. Mem. Inst. Sci. Ind. Res. Osaka Univ. 1978, 35, 31–44. [Google Scholar]
- Sugimoto, K.; Niiya, K.; Okamoto, T.; Kishitake, K. A study of damping capacity in magnesium alloys. Trans. Jpn. Inst. Met. 1977, 18, 277–288. [Google Scholar] [CrossRef]
- Pekguleryuz, M.O.; Kaya, A.A. Creep resistant magnesium alloys for powertrain applications. Adv. Eng. Mater. 2003, 5, 866–878. [Google Scholar] [CrossRef]
- Zhang, Y.J.; Ma, N.H.; Li, X.F.; Wang, H.W. Study on damping capacity of aluminum composite reinforced with in situ TiAl3 rod. Mater. Des. 2008, 29, 1057–1059. [Google Scholar] [CrossRef]
- Jia, C.L. Study on damping behavior of FeAl3 reinforced commercial purity aluminum. Mater. Des. 2007, 28, 1711–1713. [Google Scholar] [CrossRef]
- Zhang, X.Q.; Liao, L.H.; Ma, N.H.; Wang, H.W. Mechanical properties and damping capacity of magnesium matrix composites. Composites Part A Appl. Sci. Manuf. 2006, 37, 2011–2016. [Google Scholar] [CrossRef]
- Schaller, R. Mechanical spectroscopy of interface stress relaxation in metal-matrix composites. Mater. Sci. Eng. A Struct. Mater. 2006, 442, 423–428. [Google Scholar] [CrossRef]
- Wang, W.G.; Li, C.; Li, Y.L.; Wang, X.P.; Fang, Q.F. Damping properties of Li5La3Ta2O12 particulates reinforced aluminum matrix composites. Mater. Sci. Eng. A Struct. Mater. 2009, 518, 190–193. [Google Scholar] [CrossRef]
- Yin, F.X.; Iwasaki, S.; Ping, D.; Nagai, K. Snoek-type high-damping alloys realized in beta-Ti alloys with high oxygen solid solution. Adv. Mater. 2006, 18, 1541–1544. [Google Scholar] [CrossRef]
- Cussen, E.J. The structure of lithium garnets: Cation disorder and clustering in a new family of fast Li+ conductors. Chem. Commun. 2006, 4, 412–413. [Google Scholar] [CrossRef]
- O’Callaghan, M.P.; Lynham, D.R.; Cussen, E.J.; Chen, G.Z. Structure and ionic-transport properties of lithium-containing garnets Li(3)Ln(3)Te(2)O(12) (Ln = Y, Pr, Nd, Sm-Lu). Chem. Mater. 2006, 18, 4681–4689. [Google Scholar] [CrossRef]
- Murugan, R.; Thangadurai, V.; Weppner, W. Lattice parameter and sintering temperature dependence of bulk and grain-boundary conduction of garnet-like solid Li-electrolytes. J. Electrochem. Soc. 2008, 155, A90–A101. [Google Scholar] [CrossRef]
- Fang, Q.F.; Liu, T.; Li, C.; Wang, X.P.; Zhang, G.G. Damping mechanisms in oxide materials and their potential applications. In High Damping Materials II : Key Engineering Materials; Igata, N., Takeuchi, S., Eds.; Trans Tech Publications Ltd: Laublsrutistr, Stafa-Zurich, Switzerland, 2006; Vol. 319, pp. 167–172. [Google Scholar]
© 2009 by the authors; licensee Molecular Diversity Preservation International, Basel, Switzerland. This article is an open-access article distributed under the terms and conditions of the Creative Commons Attribution license (http://creativecommons.org/licenses/by/3.0/).
Share and Cite
Lu, H.; Wang, X.; Zhang, T.; Cheng, Z.; Fang, Q. Design, Fabrication, and Properties of High Damping Metal Matrix Composites—A Review. Materials 2009, 2, 958-977. https://doi.org/10.3390/ma2030958
Lu H, Wang X, Zhang T, Cheng Z, Fang Q. Design, Fabrication, and Properties of High Damping Metal Matrix Composites—A Review. Materials. 2009; 2(3):958-977. https://doi.org/10.3390/ma2030958
Chicago/Turabian StyleLu, Hui, Xianping Wang, Tao Zhang, Zhijun Cheng, and Qianfeng Fang. 2009. "Design, Fabrication, and Properties of High Damping Metal Matrix Composites—A Review" Materials 2, no. 3: 958-977. https://doi.org/10.3390/ma2030958
APA StyleLu, H., Wang, X., Zhang, T., Cheng, Z., & Fang, Q. (2009). Design, Fabrication, and Properties of High Damping Metal Matrix Composites—A Review. Materials, 2(3), 958-977. https://doi.org/10.3390/ma2030958
