Pharmaceutical Co-Crystal Formulation of Rivaroxaban with Niacinamide: Preparation, Characterization, and In Vitro Release Evaluation
Abstract
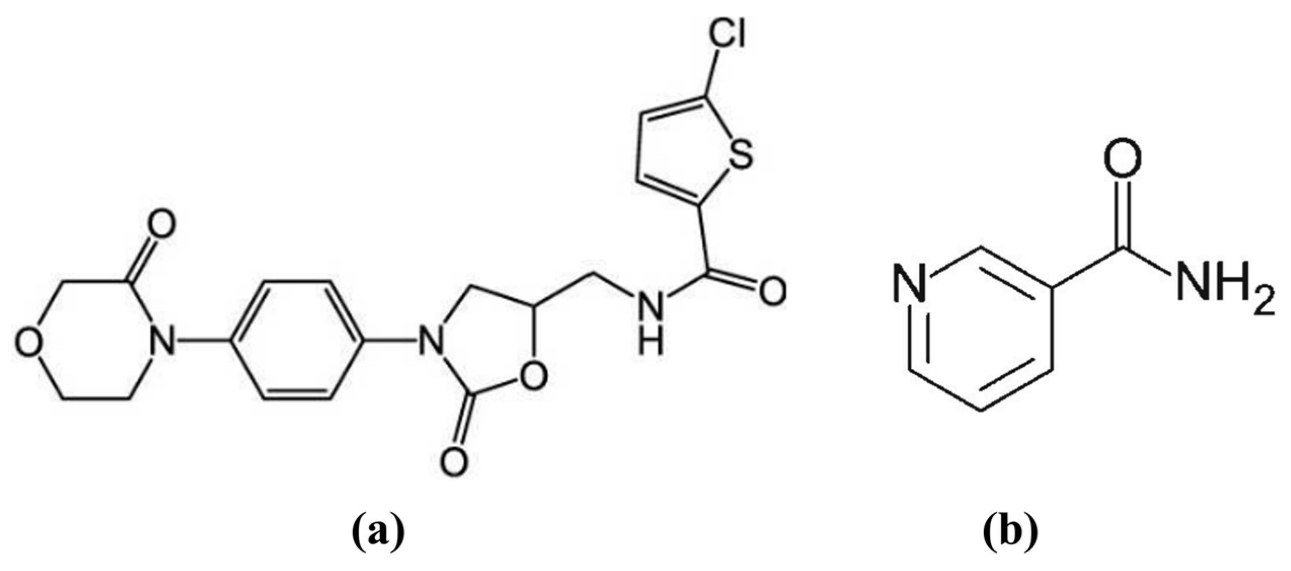
1. Introduction
2. Materials and Methods
2.1. Materials
2.2. Methods
2.2.1. Preparation of the RIV-NIA Samples
Preparation of the RIV-NIA Co-Crystal
Preparation of the RIV-NIA Physical Mixtures
2.2.2. Physicochemical Characterization of the RIV-NIA Systems
2.2.3. Development and Manufacturing of the Oral Tablets
Formulation of the Tablets
Manufacturing Process
2.2.4. Quality Attributes of the Tablets
Organoleptic Properties
Dimensions (Diameter and Thickness)
Mass Uniformity
Hardness
Friability
In Vitro Disintegration Time
In Vitro Release Study
HPLC Analysis
3. Results and Discussion
3.1. Physicochemical Characterization
3.1.1. FTIR Analysis
3.1.2. SEM Analysis
3.1.3. X-Ray Diffraction Analysis
3.1.4. Thermal Analysis
- (i)
- (ii)
- The first endothermal event, close to the melting peak of pure NIA, may be attributed to minor amorphous content within the multicomponent system, as XRD analysis confirms. There is more pronounced effect for co-crystal 1:2 molar ratio compared with co-crystal with 1:1 molar ratio; This is evidence for the higher content of niacinamide.
- (iii)
- The second endothermic event, occurring at around 209 °C, corresponds to the melting of the newly formed multicomponent crystalline phase, indicating that a distinct solid phase has formed. These thermal observations are consistent with the XRD patterns, as well as with FTIR and SEM analyses, which further confirm the formation of a new co-crystalline system.
- (iv)
- The shifting of the endothermal events in the co-crystallization compounds is a thermodynamic property of those, which indicates that the RIV-NIA should be in a new solid crystalline phase instead of a mixture.
- (v)
- The co-crystals start to lose their weight after 250 °C, at a temperature higher than the individual components, in a complex decomposition step. The final residue at 600 °C is 17% for RIV-NIA (1:1 co-crystallization compound) and 13.2% for RIV-NIA (1:2 co-crystallization compound).
3.2. Quality Attributes of the Tablets
3.3. In Vitro Dissolution Profiles
4. Conclusions
Author Contributions
Funding
Institutional Review Board Statement
Informed Consent Statement
Data Availability Statement
Acknowledgments
Conflicts of Interest
References
- Cheney, M.L.; Weyna, D.R.; Shan, N.; Hanna, M.; Wojtas, L.; Zaworotko, M.J. Coformer Selection in Pharmaceutical Co-crystal Development: A Case Study of a Meloxicam Aspirin Co-crystal That Exhibits Enhanced Solubility and Pharmacokinetics. J. Pharm. Sci. 2011, 100, 2172–2181. [Google Scholar] [CrossRef]
- Vioglio, P.C.; Chierotti, M.R.; Gobetto, R. Pharmaceutical aspects of salt and co-crystal forms of APIs and characterization challenges. Adv. Drug Deliv. Rev. 2017, 117, 86–110. [Google Scholar] [CrossRef]
- Guo, M.; Sun, X.; Chen, J.; Cai, T. Pharmaceutical co-crystals: A review of preparations, physicochemical properties and applications. Acta Pharm. Sin. B 2021, 11, 2537–2564. [Google Scholar] [CrossRef] [PubMed]
- Huang, S.; Xu, J.; Peng, Y.; Guo, M.; Cai, T. Facile tuning of the photoluminescence and dissolution properties of phloretin through co-crystallization. Cryst. Growth Des. 2019, 19, 6837–6844. [Google Scholar] [CrossRef]
- Ranjan, S.; Devarapalli, R.; Kundu, S.; Vangala, V.R.; Ghosh, A.; Reddy, C.M. Three new hydrochlorothiazide co-crystals: Structural analyses and solubility studies. J. Mol. Struct. 2017, 1133, 405–410. [Google Scholar] [CrossRef]
- Liu, F.; Li, J.-Y.; Han, C.-B.; Wang, J.-H.; Tong, S.-Y.; Wang, X.-K.; Li, Y.-T.; Sun, W.-J. First co-crystal of esculetin: Simultaneously optimized in vitro/vivo properties and antioxidant effect. Eur. J. Pharm. Sci. 2023, 187, 106469. [Google Scholar] [CrossRef]
- Chaves Júnior, J.V.; dos Santos, J.A.B.; Lins, T.B.; de Araújo Batista, R.S.; de Lima Neto, S.A.; de Santana Oliveira, A.; Nogueira, F.H.A.; Gomes, A.P.B.; de Sousa, D.P.; de Souza, F.S.; et al. A New Ferulic Acid–Nicotinamide Co-crystal with Improved Solubility and Dissolution Performance. J. Pharm. Sci. 2020, 109, 1330–1337. [Google Scholar] [CrossRef]
- Chettri, A.; Subba, A.; Singh, G.P.; Bag, P.P. Pharmaceutical co-crystals: A green way to enhance drug stability and solubility for improved therapeutic efficacy. J. Pharm. Pharmacol. 2024, 76, 1–12. [Google Scholar] [CrossRef]
- Dobesh, P.P.; Volkl, A.A.; Pap, Á.F.; Damaraju, C.V.; Levitan, B.; Yuan, Z.; Amin, A.N. Benefit–Risk Assessment of Rivaroxaban in Older Patients with Nonvalvular Atrial Fibrillation or Venous Thromboembolism. Drugs Aging 2025, 42, 469–484. [Google Scholar] [CrossRef]
- Hriňová, E.; Skořepová, E.; Čerňa, I.; Královičová, J.; Kozlík, P.; Křížek, T.; Roušarová, J.; Ryšánek, P.; Šíma, M.; Slanař, O.; et al. Explaining dissolution properties of rivaroxaban co-crystals. Int. J. Pharm. 2022, 622, 121854. [Google Scholar] [CrossRef]
- Shayanfar, A.; Velaga, S.; Jouyban, A. Solubility of carbamazepine, nicotinamide and carbamazepine–nicotinamide co-crystal in ethanol–water mixtures. Fluid Phase Equilibria 2014, 363, 97–105. [Google Scholar] [CrossRef]
- Wang, L.-Y.; Zhao, M.-Y.; Bu, F.-Z.; Niu, Y.-Y.; Yu, Y.-M.; Li, Y.-T.; Yan, C.-W.; Wu, Z.-Y.; Ramalingam, S.; Periandy, S.; et al. FT-IR and FT-Raman vibrational spectra and molecular structure investigation of nicotinamide: A combined experimental and theoretical study. Spectrochim. Acta Part A Mol. Biomol. Spectrosc. 2010, 75, 1552–1558. [Google Scholar]
- Solomon, C.; Sârbu, I.; Anuța, V.; Ozon, E.A.; Mușuc, A.M.; Fița, A.C.; Mitu, M.A. Preformulation studies of tablets containing rivaroxaban—Niacinamide co-crystallization compounds. Farmacia 2025, 73, 706–712. [Google Scholar] [CrossRef]
- Rietveld, H.M. A profile refinement method for nuclear and magnetic structures. J. Appl. Cryst. 1969, 2, 65–71. [Google Scholar] [CrossRef]
- Council of Europe. European Pharmacopoeia, 10th ed.; EDQM, Council of Europe: Strasbourg, France, 2019. [Google Scholar]
- USP. Rivarovaban Tablets Monograph. In USP-NF; United States Pharmacopeia: Rockville, MD, USA, 2023. [Google Scholar] [CrossRef]
- Nica, M.-A.; Anuța, V.; Nicolae, C.A.; Popa, L.; Ghica, M.V.; Cocoș, F.-I.; Dinu-Pîrvu, C.-E. Exploring Deep Eutectic Solvents as Pharmaceutical Excipients: Enhancing the Solubility of Ibuprofen and Mefenamic Acid. Pharmaceuticals 2024, 17, 1316. [Google Scholar] [CrossRef] [PubMed]
- ICH. International Conference on Harmonisation of Technical Requirements for Registration of Pharmaceuticals for Human Use. ICH Harmonised Tripartite Guideline: Validation of Analytical Procedures: Text and Methodology Q2(R2) Step 5 Version 1.0. 2024. Available online: https://www.ema.europa.eu/en/documents/scientific-guideline/ich-q2r2-guideline-validation-analytical-procedures-step-5-revision-1_en.pdf (accessed on 12 March 2025).
- Kapourani, A.; Valkanioti, V.; Kontogiannopoulos, K.N.; Barmpalexis, P. Determination of the physical state of a drug in amorphous solid dispersions using artificial neural networks and ATR-FTIR spectroscopy. Intern. J. Pharm. X 2020, 2, 100064. [Google Scholar] [CrossRef] [PubMed]
- Xu, Y.; Wu, S.-P.; Liu, X.-J.; Zhang, L.-J.; Lu, J. Crystal characterization and transformation of the forms I and II of anticoagulant drug rivaroxaban. Cryst. Res. Technol. 2017, 52, 1600379. [Google Scholar] [CrossRef]
- Gao, Y.; Gao, J.; Liu, Z.; Kan, H.; Zu, H.; Sun, W.; Zhang, J.; Qian, S. Coformer selection based on degradation pathway of drugs: A case study of adefovir dipivoxil–saccharin and adefovir dipivoxil–nicotinamide co-crystals. Int. J. Pharm. 2012, 438, 327–335. [Google Scholar] [CrossRef]
- Xiao, Y.; Jin, T.; Geng, X.; Zhu, X. Azilsartan-nicotinamide co-crystal: Preparation, characterization and in vitro/vivo evaluation. Eur. J. Pharm. Sci. 2022, 176, 106241. [Google Scholar] [CrossRef]
- Khan, F.M.; Ahmad, M.; Idrees, H.A. Simvastatin-Nicotinamide Co-crystals: Formation, Pharmaceutical Characterization and in vivo Profile. Drug Des. Dev. Ther. 2020, 14, 4303–4313. [Google Scholar] [CrossRef]
- Wang, L.; Tan, B.; Zhang, H.; Deng, Z. Pharmaceutical Co-crystals of Diflunisal with Nicotinamide or Isonicotinamide. Org. Process Res. Dev. 2013, 17, 1413–1418. [Google Scholar] [CrossRef]
- Zhang, M.; Wu, B.; Zhang, S.; Wang, L.; Hu, Q.; Liu, D.; Chen, X. Characterizing the Physicochemical Properties of Two Weakly Basic Drugs and the Precipitates Obtained from Biorelevant Media. Pharmaceutics 2022, 14, 330. [Google Scholar] [CrossRef] [PubMed]
- Rahman, Z.; Agarabi, C.; Zidan, A.S.; Khan, S.R.; Khan, M.A. Physico-mechanical and Stability Evaluation of Carbamazepine Co-crystal with Nicotinamide. AAPS PharmSciTech 2011, 12, 693–704. [Google Scholar] [CrossRef] [PubMed]
- Shen, J.; Tang, G.P.; Hu, X.R. Crystal structure of (S)-5-chloro-N-({2-oxo-3-[4-(3-oxomorpholin-4-yl) phenyl] oxazolidin-5-yl} methyl) thiophene-2-carboxamide. Struct. Rep. 2018, 74, 51–54. [Google Scholar] [CrossRef] [PubMed]
- Miwa, Y.; Mizuno, T.; Tsuchida, K.; Taga, T.; Iwata, Y. Experimental charge density and electrostatic potential in nicotinamide. Struct. Sci. 1999, 55, 78–84. [Google Scholar] [CrossRef]
- Meng, Y.; Tan, F.; Yao, J.; Cui, Y.; Feng, Y.; Li, Z.; Wang, Y.; Yang, Y.; Gong, W.; Yang, M.; et al. Preparation, characterization, and pharmacokinetics of rivaroxaban cocrystals with enhanced in vitro and in vivo properties in beagle dogs. Int. J. Pharm. X 2022, 4, 100119. [Google Scholar] [CrossRef]
- Schultheiss, N.; Newman, A. Pharmaceutical co-crystals and their physicochemical properties. Cryst. Growth Des. 2009, 9, 2950–2967. [Google Scholar] [CrossRef]
- Solomon, C. Studies Regarding the Manufacturing and Evaluation of Some Innovative Pharmaceutical Systems for Ensuring an Optimal Release of Rivaroxaban from Tablets. Ph.D. Thesis, “Carol Davila” University of Medicine and Pharmacy, Bucharest, Romania, September 2025. [Google Scholar]
- Kushner, J., 4th; Langdon, B.A.; Hiller, J.I.; Carlson, G.T. Examining the impact of excipient material property variation on drug product quality attributes: A quality-by-design study for a roller compacted, immediate release tablet. J. Pharm. Sci. 2011, 100, 2222–2239. [Google Scholar] [CrossRef]
- Bolhuis, G.K.; Armstrong, N.A. Excipients for direct compaction—An update. Pharm. Dev. Technol. 2006, 11, 111–124. [Google Scholar] [CrossRef]
- Krivokapić, J.; Ivanović, J.; Djuriš, J.; Medarević, D.; Potpara, Z.; Maksimović, Z.; Ibrić, S. Tableting properties of microcrystalline cellulose obtained from wheat straw measured with a single punch bench top tablet press. Saudi Pharm. J. 2020, 28, 710–718. [Google Scholar] [CrossRef]
- Mostafa, H.F.; Ibrahim, M.A.; Sakr, A. Development and optimization of dextromethorphan hydrobromide oral disintegrating tablets: Effect of formulation and process variables. Pharm. Dev. Technol. 2013, 18, 454–463. [Google Scholar] [CrossRef]
- Bala, R.; Khanna, S.; Pawar, P.K. Formulation and optimization of fast dissolving intraoral drug delivery system for clobazam using response surface methodology. J. Adv. Pharm. Technol. Res. 2013, 4, 151–159. [Google Scholar] [CrossRef]
- Kushner, J., 4th. Utilizing quantitative certificate of analysis data to assess the amount of excipient lot-to-lot variability sampled during drug product development. Pharm. Dev. Technol. 2013, 18, 333–342. [Google Scholar] [CrossRef] [PubMed]
- Ilić, I.; Govedarica, B.; Šibanc, R.; Dreu, R.; Srčič, S. Deformation properties of pharmaceutical excipients determined using an in-die and out-die method. Int. J. Pharm. 2013, 446, 6–15. [Google Scholar] [CrossRef] [PubMed]
- Cabiscol, R.; Finke, J.H.; Zetzener, H.; Kwade, A. Characterization of Mechanical Property Distributions on Tablet Surfaces. Pharmaceutics 2018, 10, 184. [Google Scholar] [CrossRef]
- Wang, J.; Wen, H.; Desai, D. Lubrication in tablet formulations. Eur. J. Pharm. Biopharma. 2010, 75, 1–15. [Google Scholar] [CrossRef] [PubMed]
- Etzler, F.M.; Pisano, S. Tablet tensile strength: Role of surface free energy. Adv. Contact Angle Wettability Adhes. 2015, 2, 397–418. [Google Scholar]
- Mills, L.A.; Sinka, I.C. Effect of particle size and density on the die fill of powders. Eur. J. Pharm. Biopharm. 2013, 84, 642–652. [Google Scholar] [CrossRef]
- Busignies, V.; Leclerc, B.; Truchon, S.; Tchoreloff, P. Changes in the specific surface area of tablets composed of pharmaceutical materials with various deformation behaviors. Drug Dev. Ind. Pharm. 2011, 37, 225–233. [Google Scholar] [CrossRef]
- von Orelli, J.; Leuenberger, H. Search for technological reasons to develop a capsule or a tablet formulation with respect to wettability and dissolution. Int. J. Pharm. 2004, 287, 135–145. [Google Scholar] [CrossRef]
- Mircioiu, I.; Anuta, V.; Purcaru, S.O.; Radulescu, F.; Miron, D.; Dumitrescu, I.B.; Ibrahim, N.; Mircioiu, C. In vitro dissolution of poorly soluble drugs in the presence of surface active agents—In vivo pharmacokinetics correlations. II. Nimesulide. Farmacia 2013, 61, 88–102. [Google Scholar]
- Kang, J.H.; Lee, J.E.; Jeong, S.J.; Park, C.W.; Kim, D.W.; Weon, K.Y. Design and Optimization of Rivaroxaban-Cyclodextrin-Polymer Triple Complex Formulation with Improved Solubility. Drug Des. Devel Ther. 2022, 16, 4279–4289. [Google Scholar] [CrossRef] [PubMed]
- Zakowiecki, D.; Edinger, P.; Papaioannou, M.; Wagner, M.; Hess, T.; Paszkowska, J.; Staniszewska, M.; Myslitska, D.; Smolenski, M.; Dobosz, J.; et al. Development and Evaluation of Lactose-Free Single-Unit and Multiple-Unit Preparations of a BCS Class II Drug, Rivaroxaban. Pharmaceutics 2024, 16, 1485. [Google Scholar] [CrossRef] [PubMed]
- Khan, W.H.; Asghar, S.; Khan, I.U.; Irfan, M.; Alshammari, A.; Riaz Rajoka, M.S.; Munir, R.; Shah, P.A.; Khalid, I.; Razzaq, F.A.; et al. Effect of hydrophilic polymers on the solubility and dissolution enhancement of rivaroxaban/beta-cyclodextrin inclusion complexes. Heliyon 2023, 9, e19658. [Google Scholar] [CrossRef] [PubMed]
- Machado, T.; Kuminek, G.; Cardoso, S.; Rodríguez-Hornedo, N. The role of pH and dose/solubility ratio on co-crystal dissolution, drug supersaturation and precipitation. Eur. J. Pharm. Sci. Off. J. Eur. Fed. Pharm. Sci. 2020, 152, 105422. [Google Scholar] [CrossRef]
- Kataoka, M.; Yonehara, A.; Minami, K.; Takagi, T.; Yamashita, S. Control of Dissolution and Supersaturation/Precipitation of Poorly Water-Soluble Drugs from Co-crystals Based on Solubility Products: A Case Study with a Ketoconazole Co-crystal. Mol. Pharm. 2023, 20, 4100–4107. [Google Scholar] [CrossRef]
- Wathoni, N.; Sari, W.A.; Elamin, K.M.; Mohammed, A.F.; Suharyani, I. A Review of Coformer Utilization in Multicomponent Crystal Formation. Molecules 2022, 27, 8693. [Google Scholar] [CrossRef]
- Takács-Novák, K.; Szőke, V.; Völgyi, G.; Horváth, P.; Ambrus, R.; Szabó-Révész, P. Biorelevant solubility of poorly soluble drugs: Rivaroxaban, furosemide, papaverine and niflumic acid. J. Pharm. Biomed. Anal. 2013, 83, 279–285. [Google Scholar] [CrossRef]
- Ishihara, M.; Kambayashi, A. Physiologically based biopharmaceutics modeling to predict bioequivalence of rivaroxaban formulated as conventional tablets, OD tablets, and fine granules. J. Drug Deliv. Sci. Technol. 2025, 114, 107631. [Google Scholar] [CrossRef]
- Kushwah, V.; Arora, S.; Tamás Katona, M.; Modhave, D.; Fröhlich, E.; Paudel, A. On Absorption Modeling and Food Effect Prediction of Rivaroxaban, a BCS II Drug Orally Administered as an Immediate-Release Tablet. Pharmaceutics 2021, 13, 283. [Google Scholar] [CrossRef]
- Marques, C.; Hadjab, F.; Porcello, A.; Lourenço, K.; Scaletta, C.; Abdel-Sayed, P.; Hirt-Burri, N.; Applegate, L.; Laurent, A. Mechanistic Insights into the Multiple Functions of Niacinamide: Therapeutic Implications and Cosmeceutical Applications in Functional Skincare Products. Antioxidants 2024, 13, 425. [Google Scholar] [CrossRef]







| Ingredients | Quantity (mg)/Tablet | Role in Formulation | |||
|---|---|---|---|---|---|
| F1 | F2 | F3 | F4 | ||
| RIV-NIA (1:1 co-crystallization compound) | 13 | - | - | - | Active ingredient |
| RIV-NIA (1:1 physical mixture) | - | - | 13 | - | Active ingredient |
| RIV-NIA (1:2 co-crystallization compound) | - | 16 | - | - | Active ingredient |
| RIV-NIA (1:2 physical mixture) | - | - | - | 16 | Active ingredient |
| Avicel® PH 102—microcrystalline cellulose | 91.5 | 91.5 | 90 | 90 | Filler Binder |
| Flowlac® 100—spray-dried lactose | 91.5 | 91.5 | 90 | 90 | Filler Binder |
| EXPLOTAB®—Sodium starch glycolate | 2 | 2 | 2 | 2 | Superdisintegrant |
| LIGAMED® MF-2-V—Magnesium stearate | 2 | 2 | 2 | 2 | Glidant |
| TOTAL | 200 | 200 | 200 | 200 | |
| No. |
RIV-Calculated
from COD # 2242344 | RIV-Fit |
RIV-Contribution
for RIV-NIA 1:1 |
RIV-Contribution
for RIV-NIA 1:2 |
|---|---|---|---|---|
| 1 | 22.5016 | 22.8568 | 22.7355 | 22.7271 |
| 2 | 19.928 | 20.2734 | 20.152 | 20.1445 |
| 3 | 16.5242 | 16.8682 | 16.7462 | 16.7374 |
| 4 | 19.5317 | 19.7252 | 19.7628 | 19.7563 |
| 5 | 26.6499 | 27.003 | 26.8814 | 26.8728 |
| No. |
NIA-Calculated
from COD # 2003051 | NIA-Fit |
NIA-Contribution
for RIV + NIA 1:1 |
NIA-Contribution
for RIV + NIA 1:2 |
|---|---|---|---|---|
| 1 | 14.8289 | 15.0058 | 15.0014 | 14.9919 |
| 2 | 27.9054 | 27.5267 | 27.5186 | 27.5135 |
| 3 | 26.3875 | 26.062 | 26.0452 | 26.0411 |
| 4 | 25.868 | 25.5993 | 25.59 | 25.5762 |
| 5 | 23.875 | 23.5736 | 23.5708 | 23.5525 |
| RIV-NIA (1:1 Cocrystallization Compound) | RIV-NIA (1:2 Cocrystallization Compound) | |||
|---|---|---|---|---|
| Compound | RIV | NIA | RIV | NIA |
| COD # | 2,242,344 | 2,003,051 | 2,242,344 | 2,003,051 |
| w (%) | 13.3 | 86.7 | 30 | 70 |
| Crystallinity (%) | 59.29 | 61.66 | ||
| Rexp | 8.6688 | 8.2865 | ||
| Rp | 9.7408 | 10.0004 | ||
| WRp | 12.1403 | 13.3551 | ||
| χ2 | 1.9613 | 2.5971 | ||
| Parameter | Formulation Code | |||
|---|---|---|---|---|
| F1 | F2 | F3 | F4 | |
| Thickness (mm) | 2.55 ± 0.06 | 2.52 ± 0.07 | 2.56 ± 0.03 | 2.59 ± 0.18 |
| Diameter (mm) | 10.00 ± 0.14 | 10.00 ± 0.21 | 10.00 ± 0.11 | 10.00 ± 0.19 |
| Mass uniformity (mg) | 200.00 ± 1.45 | 200.00 ± 2.32 | 200.00 ± 1.78 | 201.00 ± 2.94 |
| Hardness (N) | 78.00 ± 2.36 | 89.00 ± 2.88 | 71.00 ± 2.56 | 90.00 ± 2.15 |
| Friability (%) | 0.02 ± 0.01 | 0.05 ± 0.03 | 0.03 ± 0.02 | 0.06 ± 0.01 |
| In vitro disintegration time (seconds) | 40 | 36 | 58 | 41 |
Disclaimer/Publisher’s Note: The statements, opinions and data contained in all publications are solely those of the individual author(s) and contributor(s) and not of MDPI and/or the editor(s). MDPI and/or the editor(s) disclaim responsibility for any injury to people or property resulting from any ideas, methods, instructions or products referred to in the content. |
© 2026 by the authors. Licensee MDPI, Basel, Switzerland. This article is an open access article distributed under the terms and conditions of the Creative Commons Attribution (CC BY) license.
Share and Cite
Solomon, C.; Sarbu, I.; Anuța, V.; Ozon, E.A.; Musuc, A.M.; Rusu, A.; Surdu, V.-A.; Chandak, A.; Gavriloaia, R.M.; Fița, A.C.; et al. Pharmaceutical Co-Crystal Formulation of Rivaroxaban with Niacinamide: Preparation, Characterization, and In Vitro Release Evaluation. Materials 2026, 19, 1336. https://doi.org/10.3390/ma19071336
Solomon C, Sarbu I, Anuța V, Ozon EA, Musuc AM, Rusu A, Surdu V-A, Chandak A, Gavriloaia RM, Fița AC, et al. Pharmaceutical Co-Crystal Formulation of Rivaroxaban with Niacinamide: Preparation, Characterization, and In Vitro Release Evaluation. Materials. 2026; 19(7):1336. https://doi.org/10.3390/ma19071336
Chicago/Turabian StyleSolomon, Cristina, Iulian Sarbu, Valentina Anuța, Emma Adriana Ozon, Adina Magdalena Musuc, Adriana Rusu, Vasile-Adrian Surdu, Abhay Chandak, Roxana Mariuca Gavriloaia, Ancuța Cătălina Fița, and et al. 2026. "Pharmaceutical Co-Crystal Formulation of Rivaroxaban with Niacinamide: Preparation, Characterization, and In Vitro Release Evaluation" Materials 19, no. 7: 1336. https://doi.org/10.3390/ma19071336
APA StyleSolomon, C., Sarbu, I., Anuța, V., Ozon, E. A., Musuc, A. M., Rusu, A., Surdu, V.-A., Chandak, A., Gavriloaia, R. M., Fița, A. C., Nită, D. T., & Mitu, M. A. (2026). Pharmaceutical Co-Crystal Formulation of Rivaroxaban with Niacinamide: Preparation, Characterization, and In Vitro Release Evaluation. Materials, 19(7), 1336. https://doi.org/10.3390/ma19071336

