Preparation and Corrosion Resistance Study of Electrodeposited Ni-TiN Coatings Obtained at Different Magnetic Intensities
Abstract
1. Introduction
2. Materials and Methods
2.1. Preparation
2.2. Characterization
3. Results and Discussion
3.1. Characterization of TiN Nanoparticles
3.2. Surface Morphology and TiN Content Observation
3.3. Adhesion Strength Examination
3.4. Hardness Investigation
3.5. XRD Pattern Analysis
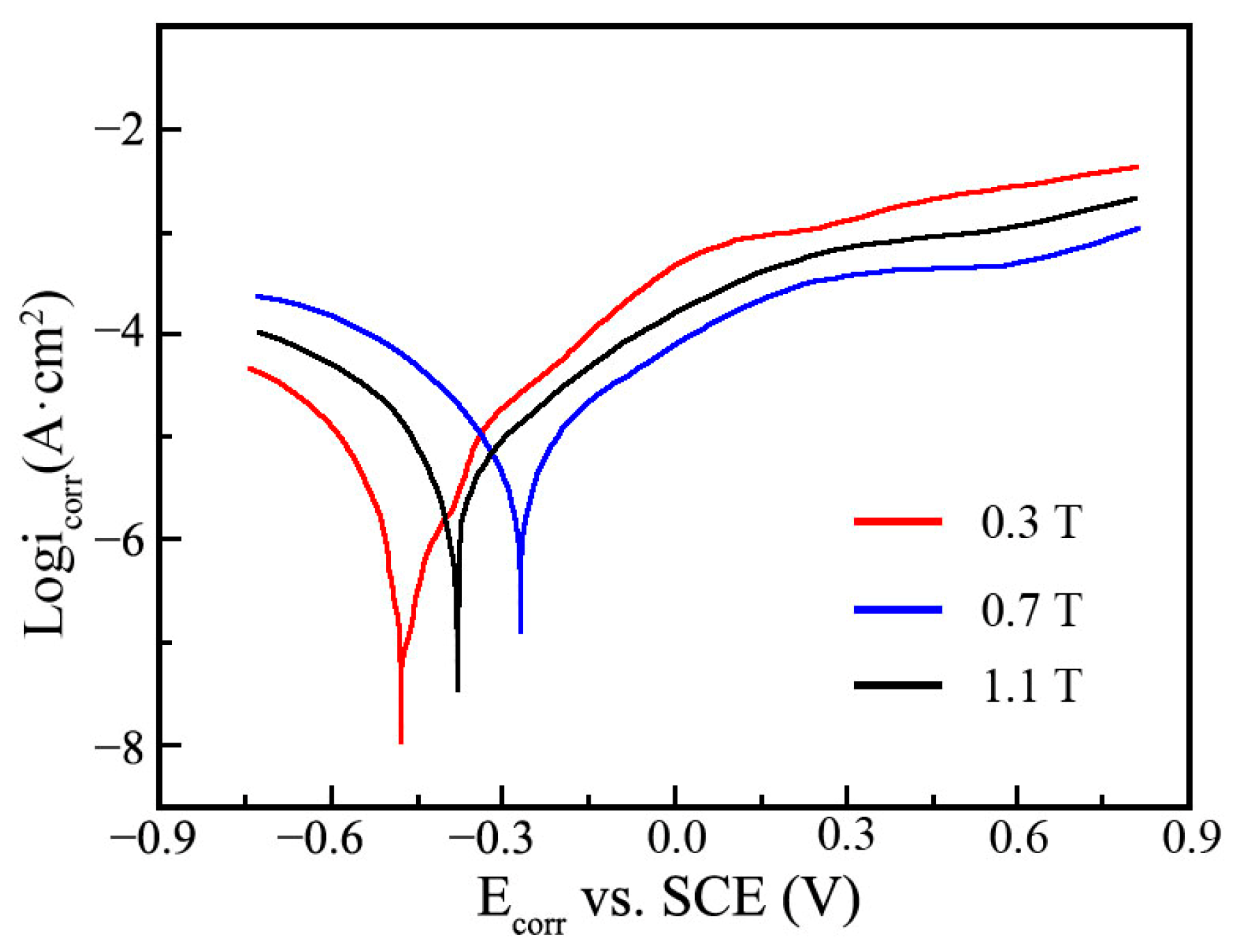
3.6. Corrosion Resistance Measurement
4. Conclusions
Author Contributions
Funding
Institutional Review Board Statement
Informed Consent Statement
Data Availability Statement
Conflicts of Interest
References
- Ru, J.; Jia, Y.; Jiang, Y.; Feng, J.; Zhou, R.; Hua, Y.; Wang, D. Modification of ZTA particles with Ni coating by electroless deposition. Surf. Eng. 2017, 33, 353–361. [Google Scholar] [CrossRef]
- Li, Q.S.; Cui, J.; Yang, Y.F.; Li, J.; Zhao, Y.H.; Yu, C.Y.; Wang, Q.W.; Zhang, P. Enhanced surface wettability modification of Al2O3 for laser cladding ceramic-metal composite coatings. Mater. Today Commun. 2024, 40, 109746. [Google Scholar] [CrossRef]
- Babbar, A.; Singh, G.; Singh, V.; Walia, R.S. Progress and recent developments in carbon nanotube (CNT) based composite coatings for tribological and bio-tribological applications. J. Ind. Eng. Chem. 2025, 148, 196–229. [Google Scholar] [CrossRef]
- Gao, M.Y.; Pei, Z.J.; Song, G.H.; Liu, Z.Y.; Gu, W.S.; Gong, J. Wear resistance of electro-brush plated Ni/diamond nanocomposite coatings. Diam. Relat. Mater. 2025, 153, 111992. [Google Scholar] [CrossRef]
- Zhao, Y.T.; Liu, S.Q.; Guo, H.; Li, H.X.; Zhang, J.N.; Ma, Z.; Zhong, N.; Li, W.G.; Ji, V. Mechanistic insights on the microstructural evolution and tribological performance of the Ni-MoS2 composite coatings electrodeposited under different current densities. J. Mater. Res. Technol. 2025, 36, 8325–8336. [Google Scholar] [CrossRef]
- Razak, M.B.A.; Liza, S.; Fukuda, K.; Tahir, N.A.M.; Khairunnisa, M.P.; Yaakob, Y. Investigation of surface morphology, wettability and tribological properties of Ni composite coating added with graphite. Surf. Topogr.-Metrol. 2025, 13, 015016. [Google Scholar] [CrossRef]
- Xu, L.T.; Li, Y.F.; Zheng, L. Preparation and mechanical properties of Ni-P-Al2O3-SiO2 composite coatings by pulsed electrodeposition. Bull. Mater. Sci. 2025, 48, 73. [Google Scholar] [CrossRef]
- Harsha, S.; Dwivedi, D.K.; Agarwal, A. Performance of flame sprayed Ni-WC coating under abrasive wear conditions. J. Mater. Eng. Perform. 2008, 17, 104–110. [Google Scholar] [CrossRef]
- Zhou, C.; Li, M.; Chi, J.; Wang, S.F.; Zhang, M.Y.; Fang, M.; Ren, L.S. Influence of ball milling process on microstructure and properties of Ni-based coating by laser cladding. Appl. Phys. A-Mater. 2020, 126, 955. [Google Scholar] [CrossRef]
- Mi, P.B.; Liu, J.L.; Zhou, Z.P.; Zhao, H.J.; Qi, C.J.; He, J.N. The dynamic compressive properties of B4C ceramic by plasma spraying multilayer Co/Ni-TiCN coatings. Ceram. Int. 2023, 49, 6708–6712. [Google Scholar] [CrossRef]
- Gyawali, G.; Dhakal, D.R.; Joshi, B.; Choi, J.H.; Lee, S.W. Evaluation of scratch resistant properties of electroless Ni-P-Al2O3 composite coatings. J. Ceram. Process. Res. 2019, 20, 84–89. [Google Scholar] [CrossRef]
- Wen, Y.X.; Zhao, Y.; Zhang, Z.Y.; Wu, Y.C.; Zhu, H.; Xu, K.; Liu, Y. Electrodeposition of Ni-Mo alloys and composite coatings: A review and future directions. J. Manuf. Process. 2024, 119, 929–951. [Google Scholar] [CrossRef]
- Xu, Y.K.; Fan, M.Y.; Luo, Y.Q.; Zhao, Q.Y.; Chen, Y.N.; Hao, J.M. SiC/TiN Particles Reinforced Ni-Mo Nanocomposite Coating Prepared by Pulse Electrodeposition. Rare Metal Mater. Eng. 2021, 50, 1656–1664. [Google Scholar]
- Gao, M.Y.; Liu, L.L.; Huang, Z.X.; Jiang, C.; Wang, X.; Huang, F.; Li, X.X.; Zhang, X.H. Electrodeposition and properties of Ni-W-Ti2AlC composite coatings. Ceram. Int. 2024, 50, 18832–18842. [Google Scholar] [CrossRef]
- Ren, A.H.; Fu, X.Q.; Chen, X.X.; Lin, J.R.; Cao, H.B. Effect of Current Density on the Properties of Ni-CeO2 Composite Coatings prepared using Magnetic Field-Assisted Jet Electrodeposition. Int. J. Electrochem. Sci. 2021, 16, 210658. [Google Scholar]
- Liu, J.G.; Tong, S.L.; Wang, S.H.; Wan, Z.Y.; Xing, X.; Cui, G. The Preparation and Properties of a Ni-SiO2 Superamphiphobic Coating Obtained by Electrodeposition. Metals 2024, 14, 1047. [Google Scholar] [CrossRef]
- Guo, S.J.; Yang, Z.G.; Deng, S.H.; Wang, S.; Wang, X. Effect of Pulse Electrical Parameters on the Microstructure and Performance of Ni-TiN Nanocoatings Prepared by Pulse Electrodeposition Technique. Trans. Indian. Inst. Metals 2022, 75, 691–698. [Google Scholar] [CrossRef]
- Wang, J.; Cai, C.; Ma, S.L.; Cao, F.H.; Zhang, Z.; Zhang, J.Q. Preparation and Characterization of Nanostructured Ni-TiN Composite Films. Chin. J. Chem. Phys. 2010, 23, 347–350. [Google Scholar] [CrossRef]
- Li, X.Y.; Zhu, Y.Y.; Xiao, G.R.; Feng, J.; Zhou, R.; Hua, Y.; Wang, D. Application of artificial neural networks to predict sliding wear resistance of Ni-TiN nanocomposite coatings deposited by pulse electrodeposition. Ceram. Int. 2014, 40, 11767–11772. [Google Scholar] [CrossRef]
- Azizi-Nour, J.; Nasirpouri, F. Exploiting magnetic sediment co-electrodeposition mechanism in Ni-Al2O3 nanocomposite coatings. Electroanal. Chem. 2022, 907, 116052. [Google Scholar] [CrossRef]
- Jiang, W.; Shen, L.D.; Qiu, M.B.; Xu, M.Y.; Tian, Z.J. Microhardness, wear, and corrosion resistance of Ni-SiC composite coating with magnetic-field-assisted jet electrodeposition. Mater. Res. Express 2018, 5, 096407. [Google Scholar] [CrossRef]
- Reddah, I.; Ghelani, L.; Touati, S.; Lekmine, F.; Hvizdos, P.; Devesa, S.; Boumediri, H. Experimental Investigation and Optimization of the Electrodeposition Parameters of Ni-Al2O3 Composite Coating Using the Taguchi Method. Coatings 2025, 15, 482. [Google Scholar] [CrossRef]
- Zhang, W.W.; Du, S.S.; Li, B.S.; Mei, T.Y.; Miao, Y.C.; Chu, H.Q.; Wang, J.J. Synthesis and characterization of TiN nanoparticle reinforced binary Ni-Co alloy coatings. J. Alloy Compd. 2021, 865, 158722. [Google Scholar] [CrossRef]
- Ji, R.J.; Han, K.; Jin, H.; Li, X.P.; Liu, Y.H.; Liu, S.G.; Dong, T.C.; Cai, B.P.; Cheng, W.H. Preparation of Ni-SiC nano-composite coating by rotating magnetic field-assisted electrodeposition. J. Manuf. Process. 2020, 57, 787–797. [Google Scholar] [CrossRef]
- Li, B.S.; Mei, T.Y.; Chu, H.Q.; Wang, J.J.; Du, S.S.; Miao, Y.C.; Zhang, W.W. Ultrasonic-assisted electrodeposition of Ni/diamond composite coatings and its structure and electrochemical properties. Ultrason. Sonochem. 2021, 73, 105475. [Google Scholar] [CrossRef] [PubMed]
- Yan, H.B.; Shen, Y.J.; Zhao, Z.C.; Cai, R.; Chen, Q.C.; Dong, G.F. Study on Properties of Ni-ZrO2 Nanocomposite Coatings Prepared by Pulsed Electrocasting Under the Coupling Effect of Ultrasonic and Magnetic Field. JOM-US 2025, 77, 6781–6791. [Google Scholar] [CrossRef]
- Dong, X.W.; Yin, B.; Zhu, C.Y.; Wang, M.; Li, W.K.; Li, Q.D. Effect of magnetic field intensity on the microstructure and abrasion resistance of magnetic electrodeposited Ni-Co-SiC thin films. Ceram. Int. 2023, 49, 1479–1486. [Google Scholar] [CrossRef]
- Ma, C.Y.; He, H.X.; Zhang, H.B.; Li, Z.P.; Wei, L.X.; Xia, F.F. Impact of Magnetic Field Direction on Performance and Structure of Ni-Co-SiC Coatings Fabricated via Magnetic-Field-Induced Electrodeposition. Coatings 2024, 14, 672. [Google Scholar] [CrossRef]
- Chaudhari, A.K.; Singh, V.B. Studies on Electrodeposition, Microstructure and Physical Properties of Ni-Fe/In2O3 Nanocomposite. J. Electrochem. Soc. 2015, 162, D341–D349. [Google Scholar] [CrossRef]
- Zhang, H.B.; Li, Z.P.; Wei, L.X.; Xia, F.F. The Influence of Magnetic Field Orientation on the Efficacy and Structure of Ni-W-SiC Coatings Produced by Magnetic Field-Assisted Electrodeposition. Coatings 2024, 14, 1272. [Google Scholar] [CrossRef]
- Xia, F.F.; Li, C.Y.; Ma, C.Y.; Li, Q. Effect of pulse current density on microstructure and wear property of Ni-TiN nanocoatings deposited via pulse electrodeposition. Appl. Surf. Sci. 2021, 538, 148139. [Google Scholar] [CrossRef]
- Li, Q.; Xia, F.F.; Liu, G.F.; Yao, L.M. Microstructure and Properties of Jet Pulse Electrodeposited Ni-TiN Nanocoatings. J. Mater. Eng. Perform. 2022, 31, 8823–8829. [Google Scholar] [CrossRef]
- Xia, F.F.; Li, Q.; Ma, C.Y.; Liu, W.Q.; Ma, Z.P. Preparation and wear properties of Ni/TiN-SiC nanocoatings obtained by pulse current electrodeposition. Ceram. Int. 2020, 46, 7961–7969. [Google Scholar] [CrossRef]
- Li, C.Y.; Xia, F.F.; Yao, L.M.; Li, H.X.; Jia, X. Investigation of the mechanical properties and corrosion behaviors of Ni-BN-TiC layers constructed via laser cladding technique. Ceram. Int. 2023, 49, 6671–6677. [Google Scholar] [CrossRef]
- Chen, Y.L.; Li, H.G.; Zhu, J.C.; Fang, C.; Li, Z.Q.; Jiang, W. Fabrication of Ni-TiN nanocomposite coatings by ultrasonic assisted jet electrodeposition. Part B J. Eng. Manuf. 2024, 238, 1507–1518. [Google Scholar] [CrossRef]
- Arghavanian, R.; Bostani, B.; Parvini-Ahmadi, N. Characterisation of coelectrodeposited Ni-Al composite coating. Surf. Eng. 2015, 31, 189–193. [Google Scholar] [CrossRef]
- Hu, X.Y.; Qu, N.S. Improved Corrosion Resistance of Ni-Co Coatings Prepared by Electrodeposition with Large Centrifugal Acceleration. J. Mater. Eng. Perform. 2019, 28, 2104–2114. [Google Scholar] [CrossRef]
- Nasri, K.; Ahmed, N.A.; Issaasi, H.K.; Hamzaoui, A.H.; Aliouane, N.; Djermoune, A.; Chassigneux, C.; Eyraud, M. Modification of ZTA particles with Ni coating by electroless deposition. J. Indian Chem. Soc. 2025, 102, 101544. [Google Scholar] [CrossRef]
- Zhu, Y.S.; Gu, C.Q.; Wang, J.L.; Xi, X.H.; Qin, Z.B. Characterization and corrosion behavior of Ni-Cr coatings by using pulse current electrodeposition. Anti-Corros. Methods Mater. 2023, 70, 236–242. [Google Scholar] [CrossRef]
- Li, C.Y.; Xia, F.F.; Ma, C.Y.; Li, Q. Research on the Corrosion Behavior of Ni-SiC Nanocoating Prepared Using a Jet Electrodeposition Technique. J. Mater. Eng. Perform. 2021, 30, 6336–6344. [Google Scholar] [CrossRef]
- Xia, F.F.; Li, Q.; Ma, C.Y.; Gun, X. Preparation and characterization of Ni-AlN nanocoatings deposited by magnetic field assisted electrodeposition technique. Ceram. Int. 2020, 46, 2500–2509. [Google Scholar] [CrossRef]
- Sun, J.; Du, D.X.; Lv, H.F.; Zhou, L.; Wang, Y.G.; Qi, C.G. Microstructure and corrosion resistance of pulse electrodeposited Ni-Cr coatings. Surf. Eng. 2015, 31, 406–411. [Google Scholar] [CrossRef]
- Zhang, R.Y.; Yang, K.; Zhang, Y.P.; Tao, B.; Wang, S.Q.; Cheng, Q.L. Long-term anticorrosion performance of a modifier-free Ni-graphene superhydrophobic coating. Mater. Today Commun. 2024, 41, 111053. [Google Scholar] [CrossRef]













| Composition | Specific |
|---|---|
| NiSO4 (g/L) | 190 |
| NiCl2 (g/L) | 40 |
| H3BO3 (g/L) | 30 |
| TiN concentration (g/L) | 6 |
| Cetyltrimethyl ammonium bromide (mg/L) | 60 |
| Current density (A/dm2) | 3 |
| Magnetic intensity (T) | 0.3, 0.7 and 1.1 |
| pH | 4.8 |
| Electrodeposition time (min) | 40 |
| Electrolyte temperature (°C) | 45 |
| Ni-TiN Specimens | Average Size of Nickel Grains |
|---|---|
| Obtained at 0.3 T | 879.3 nm |
| Obtained at 0.7 T | 308.4 nm |
| Obtained at 1.1 T | 527.6 nm |
| Ni-TiN Specimens | Average Corrosive Weight Loss |
|---|---|
| Obtained at 0.3 T | 12.4 mg |
| Obtained at 0.7 T | 7.2 mg |
| Obtained at 1.1 T | 9.1 mg |
Disclaimer/Publisher’s Note: The statements, opinions and data contained in all publications are solely those of the individual author(s) and contributor(s) and not of MDPI and/or the editor(s). MDPI and/or the editor(s) disclaim responsibility for any injury to people or property resulting from any ideas, methods, instructions or products referred to in the content. |
© 2025 by the authors. Licensee MDPI, Basel, Switzerland. This article is an open access article distributed under the terms and conditions of the Creative Commons Attribution (CC BY) license.
Share and Cite
Li, C.; Luo, L.; Ma, H.; Qi, F.; Cao, M.; Guo, X.; Qiang, L.; Gao, H. Preparation and Corrosion Resistance Study of Electrodeposited Ni-TiN Coatings Obtained at Different Magnetic Intensities. Materials 2026, 19, 32. https://doi.org/10.3390/ma19010032
Li C, Luo L, Ma H, Qi F, Cao M, Guo X, Qiang L, Gao H. Preparation and Corrosion Resistance Study of Electrodeposited Ni-TiN Coatings Obtained at Different Magnetic Intensities. Materials. 2026; 19(1):32. https://doi.org/10.3390/ma19010032
Chicago/Turabian StyleLi, Chaoyu, Limei Luo, Hao Ma, Fei Qi, Mengyu Cao, Xue Guo, Lei Qiang, and Hao Gao. 2026. "Preparation and Corrosion Resistance Study of Electrodeposited Ni-TiN Coatings Obtained at Different Magnetic Intensities" Materials 19, no. 1: 32. https://doi.org/10.3390/ma19010032
APA StyleLi, C., Luo, L., Ma, H., Qi, F., Cao, M., Guo, X., Qiang, L., & Gao, H. (2026). Preparation and Corrosion Resistance Study of Electrodeposited Ni-TiN Coatings Obtained at Different Magnetic Intensities. Materials, 19(1), 32. https://doi.org/10.3390/ma19010032
