Effects of Thermal Cycles on Mechanical Properties of RPECC: Static and Dynamic Splitting Tensile Performance
Abstract
1. Introduction
2. Experimental Program
2.1. Raw Materials and Mix Proportion
2.2. Specimen Preparation
2.3. Test Instruments and Procedure
2.3.1. Thermal Cycle Program
2.3.2. Static Loading Method
2.3.3. Dynamic Loading Method
2.3.4. Scanning Electron Microscopy
3. Results and Discussion
3.1. Static Split Behavior
3.1.1. Failure Pattern of Static Split Samples
3.1.2. Static Splitting Tensile Properties
3.2. Dynamic Split Behavior
3.2.1. Failure Pattern of Dynamic Split Samples
3.2.2. Dynamic Splitting Tensile Properties
3.2.3. Dynamic Failure Strain Analysis
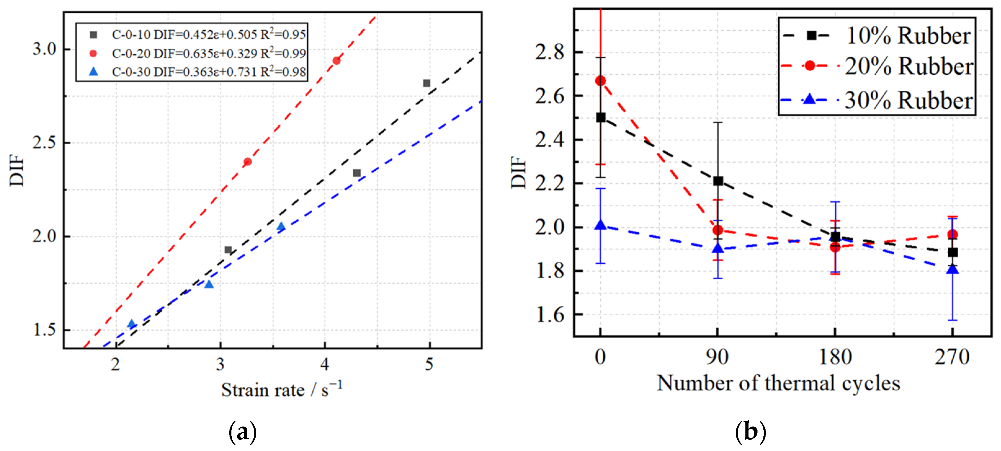
3.2.4. Dynamic Increase Factor
4. Microstructural Evolution
4.1. Micromorphological Analysis of RP-ECC
4.2. Microstructure Analyses of Energy-Dispersive X-Ray Spectroscopy
5. Conclusions
- The static and dynamic damage modes of RPECC differ significantly. Under dynamic loading, the damage is more severe, characterized by a central fracture and the formation of crushed triangular regions at both ends. In contrast, static loading results in the specimen breaking in half along the central axis.
- Increasing the rubber powder content in RPECC decreases its split tensile strength, with reductions of 15.2% and 16.8% observed for static strength and 24.4% and 28.9% for dynamic strength for C-0-20 and C-0-30, respectively, compared to the C-0-10. However, due to rubber’s excellent deformability, higher rubber content enhances the ductility and deformability of RPECC, as evidenced by flatter dynamic splitting tensile stress–time curves and greater breaking strains.
- Thermal cycling negatively affects the splitting tensile properties of RPECC. For instance, after 270 thermal cycles, the static splitting tensile strength of RPECC with 10% rubber content decreased by 20.6%, while those samples with 20% and 30% rubber content decreased by 14.1% and 17.1%, respectively, compared to specimens not subjected to thermal cycling. This indicates that thermal cycling increases the internal porosity of the sample and progressively deteriorates the interface transition zones between the different material phases within RPECC, which leads to the degradation of the splitting tensile properties of RPECC.
- The dynamic increase factor (DIF) confirmed that RPECC with 20% rubber content exhibits excellent heat resistance, maintaining stable strength even after prolonged thermal cycling. This suggests that rubber, as a heat-resistant material, can effectively enhance the heat resistance of ECC, making its incorporation a promising approach.
- SEM analysis of RPECC revealed that an increase in rubber content promotes the formation of porosity and additional defects, which, in turn, leads to a reduction in the strength of RPECC. EDS analysis of RPECC revealed that thermal cycling induces a hydration reaction within the material, producing an excess of calcium hydroxide (CH), contributing to a reduction in strength after cycling.
Author Contributions
Funding
Institutional Review Board Statement
Informed Consent Statement
Data Availability Statement
Acknowledgments
Conflicts of Interest
References
- Yao, W.; Li, J.; Wu, K. Mechanical properties of hybrid fiber-reinforced concrete at low fiber volume fraction. Cem. Concr. Res. 2003, 33, 27–30. [Google Scholar] [CrossRef]
- Yang, G.; Yu, J.T.; Luo, Y. Development and mechanical performance of fire-resistive engineered cementitious composites. J. Mater. Civ. Eng. 2019, 31, 04019035. [Google Scholar] [CrossRef]
- Lepech, M.D.; Li, V.C. Application of ECC for bridge deck link slabs. Mater. Struct. 2009, 42, 1185–1195. [Google Scholar] [CrossRef]
- Steffen, M.; Viktor, M. Use of Strain-Hardening Cement-Based Composites(SHCC)in Real Scale Applications. In Strain-Hardening Cement-Based Composites: SHCC4 4; Springer: Dordrecht, The Netherlands, 18 September 2017. [Google Scholar]
- He, S.H.; Zhou, D.F.; Bai, B.S.; Liu, C.X.; Dong, Y. Experimental study on shear performance of prefabricated HSS-UHPC composite beam with perfobond strip connectors. Eng. Struct. 2025, 324, 119318. [Google Scholar] [CrossRef]
- Zhang, Z.; Yuvaraj, A.; Di, J.; Qian, S. Matrix design of light weight, high strength, high ductility ECC. Constr. Build. Mater. 2019, 210, 188–197. [Google Scholar] [CrossRef]
- Al-Fakih, A.; Mohammed, B.S.; Liew, M.S. On rubberized engineered cementitious composites (R-ECC): A review of the constituent material. Case Stud. Constr. Mater. 2021, 14, e00536. [Google Scholar] [CrossRef]
- Ye, H.Z.; He, Q.P.; Pan, J.L.; Zhu, B.R. Dynamic compressive properties and constitutive model of waste crumb rubber (CR) modified ultra-high performance engineered cementitious composites (UHP-ECC). J. Build. Eng. 2024, 98, 111453. [Google Scholar] [CrossRef]
- Zhu, B.R.; Wei, Y.; Chu, H.Y.; Ye, H.Z.; Cai, J.M.; Pan, J.L. Dynamic response of ultra-high performance engineered cementitious composites (UHP-ECC) under low-velocity impact: Effect of waste rubber incorporation and low temperatures. Cem. Concr. Compos. 2024, 151, 105576. [Google Scholar] [CrossRef]
- Su, J.Y.; Chen, G.; Pan, H.S.; Lin, J.X.; Zhang, J.; Zhuo, K.X.; Chen, Z.B.; Guo, Y.C. Rubber modified high strength-high ductility concrete: Effect of rubber replacement ratio and fiber length. Constr. Build. Mater. 2023, 404, 133243. [Google Scholar] [CrossRef]
- Moghadam, M.A.; Izadifard, R.A. Effects of steel and glass fibers on mechanical and durability properties of concrete exposed to high temperatures. Fire Saf. J. 2020, 113, 102978. [Google Scholar] [CrossRef]
- Su, Q.; Xu, J.M. Durability and mechanical properties of rubber concrete incorporating basalt and polypropylene fibers: Experimental evaluation at elevated temperatures. Constr. Build. Mater. 2023, 368, 130445. [Google Scholar] [CrossRef]
- GB175-2007; Common Portland Cement. MOHURD (Ministry of Housing and Urban-Rural Development of the People’s Republic of China); Standards Press of China: Beijing, China, 2007.
- GBT 18046-2008; Ground Granulated Blast Furnace Slag Used for Cement and Concrete. MOHURD (Ministry of Housing and Urban-Rural Development of the People’s Republic of China); China Planning Press: Beijing, China, 2008.
- GBT 1596-2017; Fly Ash Used for Cement and Concrete. MOHURD (Ministry of Housing and Urban-Rural Development of the People’s Republic of China); China Planning Press: Beijing, China, 2017.
- He, S.H.; Chen, H.W.; Jiang, Z.; Yu, Z.T. Static and impact properties of polyethylene fiber-reinforced engineered cementitious composites with crumb rubber powder. J. Civ. Environ. Eng. 2024, 46, 167–174. (In Chinese) [Google Scholar]
- ASTM E831-19; Standard Test Method for Linear Thermal Expansion of Solid Materials by Thermomechanical Analysis. ASTM International: West Conshohocken, PA, USA, 2019.
- GBT 50082-2024; Standard for Test Methods of Long-Term Performance and Durability of Concrete. MOHURD (Ministry of Housing and Urban-Rural Development of the People’s Republic of China); China Planning Press: Beijing, China, 2024.
- GB/T50081-2002; Standard for Test Method of Mechanical Properties on Ordinary Concrete. MOHURD (Ministry of Housing and Urban-Rural Development of the People’s Republic of China); China Planning Press: Beijing, China, 2007.
- Wang, L. Elementary Theory of One-Dimensional Stress Waves in Bars. Foundations of Stress Waves; Elsevier: Beijing, China, 2007; pp. 7–55. [Google Scholar]
- Fang, X.F. A one-dimensional stress wave model for analytical design and optimization of oscillation-free force measurement in high-speed tensile test specimens. Int. J. Impact Eng. 2021, 149, 103770. [Google Scholar] [CrossRef]
- Wang, Q.Z.; Jia, X.M. Determination of Elastic Modulus, Tensile Strength and Fracture Toughness of Brittle Rocks Using Platform Brazilian Disc Specimens—Part I: Analytical and Numerical Results. Chin. J. Rock Mech. Eng. 2002, 21, 1285–1289. (In Chinese) [Google Scholar]
- Gomez, J.T.; Shukla, A.; Sharma, A. Static and dynamic behavior of concrete and granite in tension with damage. Theoretical and Applied Fracture Mechanics; Elsevier: Amsterdam, The Netherlands, 2001; Volume 36, pp. 37–49. [Google Scholar]
- Lambert, D.E.; Ross, C.A. Strain rate effects on dynamic fracture and strength. Int. J. Impact Eng. 2000, 24, 985–998. [Google Scholar] [CrossRef]
- Chen, M.; Wang, Y.T.; Zhang, T.; Zhang, M.Z. Behaviour of structural engineered cementitious composites under dynamic tensile loading and elevated temperatures. Eng. Struct. 2023, 280, 115739. [Google Scholar] [CrossRef]
- Mi, Y.G.; Liu, Y.H. Research on Mechanical Properties of Steel Fiber Reinforced Rubber Concrete. Chem. Eng. Trans. 2016, 55, 397–402. [Google Scholar]
- Anas, S.M.; Alam, M.; Shariq, M. Damage response of conventionally reinforced two-way spanning concrete slab under eccentric impacting drop weight loading. Def. Technol. 2023, 19, 12–34. [Google Scholar] [CrossRef]
- Feng, S.W.; Zhou, Y.; Wang, Y.; Lei, M.D. Experimental research on the dynamic mechanical properties and damage characteristics of lightweight foamed concrete under impact loading. Int. J. Impact Eng. 2020, 140, 103558. [Google Scholar] [CrossRef]
- He, S.H.; Huang, X.; Zhong, H.Q.; Wan, Z.Y.; Liu, G.; Xin, H.H.; Zhang, Y.Y. Experimental study on bond performance of UHPC-to-NC interfaces: Constitutive model and size effect. Eng. Struct. 2024, 317, 118681. [Google Scholar] [CrossRef]
- Li, L.; Zheng, X.Y.; Wu, J.; Du, X.L.; Luan, Y.H. Comparative study on the dynamic tensile properties of polypropylene and polyethylene fiber reinforced engineered cementitious composites under low to high strain rates. J. Build. Eng. 2024, 82, 108221. [Google Scholar] [CrossRef]
- He, S.H.; Zhong, H.Q.; Huang, X.; Xu, Y.M.; Mosallam, A.S. Experimental investigation on shear fatigue behavior of perfobond strip connectors made of high strength steel and ultra-high performance concrete. Eng. Struct. 2025, 114, 3684. [Google Scholar] [CrossRef]
- Xiao, J.Z.; Li, L.; Shen, L.M.; Poon, C.S. Compressive behaviour of recycled aggregate concrete under impact loading. Cem. Concr. Res. 2015, 71, 46–55. [Google Scholar] [CrossRef]
- Jonsson, B.; Wennerstrom, H.; Nonat, A.; Cabane, B. Onset of cohesion in cement paste. Langmuir 2004, 20, 6702–6709. [Google Scholar] [CrossRef] [PubMed]
















| Length/mm | Diameter/um | Elongation at Break/% | Tensile Modulus/MPa | Tensile Strength/MPa | Density/(g/cm3) |
|---|---|---|---|---|---|
| 18 | 24 | 2 | 116 × 103 | 3000 | 0.97–0.98 |
| Code | Cement/% | Fly Ash/% | Blast Furnace Slag/% | Water/% | Sand/% | Superplasticizer/% | PE Fiber/% | Thermal Cycles | Rubber Powder/% |
|---|---|---|---|---|---|---|---|---|---|
| C-0-10 | 43.68 | 5.82 | 8.74 | 14.56 | 26.21 | 1.0 | 2.0 | 0 | 10 |
| C-0-20 | 23.29 | 20 | |||||||
| C-0-30 | 20.38 | 30 | |||||||
| C-90-10 | 26.21 | 90 | 10 | ||||||
| C-90-20 | 23.29 | 20 | |||||||
| C-90-30 | 20.38 | 30 | |||||||
| C-180-10 | 26.21 | 180 | 10 | ||||||
| C-180-20 | 23.29 | 20 | |||||||
| C-180-30 | 20.38 | 30 | |||||||
| C-270-10 | 26.21 | 270 | 10 | ||||||
| C-270-20 | 23.29 | 20 | |||||||
| C-270-30 | 20.38 | 30 |
| Code | Splitting Tensile Strength/MPa | Average Value/MPa | Code | Splitting Tensile Strength/MPa | Average Value/MPa | ||
|---|---|---|---|---|---|---|---|
| C-0-10 | a | 8.75 | 8.51 | C-180-10 | a | 7.15 | 6.83 |
| b | 8.29 | b | 6.70 | ||||
| c | 8.50 | c | 6.64 | ||||
| C-0-20 | a | 6.82 | 7.22 | C-180-20 | a | 6.59 | 6.70 |
| b | 7.36 | b | 6.45 | ||||
| c | 7.47 | c | 7.07 | ||||
| C-0-30 | a | 7.24 | 7.08 | C-180-30 | a | 6.30 | 6.17 |
| b | 7.10 | b | 6.08 | ||||
| c | 6.90 | c | 6.14 | ||||
| C-90-10 | a | 7.53 | 7.33 | C-270-10 | a | 6.89 | 6.76 |
| b | 6.80 | b | 6.74 | ||||
| c | 7.66 | c | 6.65 | ||||
| C-90-20 | a | 6.66 | 6.72 | C-270-20 | a | 6.33 | 6.20 |
| b | 6.42 | b | 6.06 | ||||
| c | 7.07 | c | 6.19 | ||||
| C-90-30 | a | 6.12 | 6.55 | C-270-30 | a | 6.10 | 5.87 |
| b | 6.57 | b | 5.81 | ||||
| c | 6.95 | c | 5.70 | ||||
| Code | Strain Rate/s−1 | Strength/MPa | Code | Strain Rate/s−1 | Strength/MPa | Code | Strain Rate/s−1 | Strength/MPa |
|---|---|---|---|---|---|---|---|---|
| C-0-10 | 3.07 | 16.42 | C-0-20 | 3.26 | 17.35 | C-0-30 | 2.15 | 10.80 |
| 4.30 | 19.88 | - | - | 2.89 | 12.35 | |||
| 4.97 | 24.03 | 4.11 | 21.21 | 3.58 | 14.54 | |||
| C-90-10 | 2.70 | 14.56 | C-90-20 | 2.67 | 13.25 | C-90-30 | 2.17 | 11.47 |
| 2.94 | 18.41 | 2.79 | 12.11 | 2.37 | 12.79 | |||
| 6.44 | 15.65 | 2.95 | 13.91 | 2.85 | 13.09 | |||
| C-180-10 | 2.70 | 13.34 | C-180-20 | 2.52 | 11.82 | C-180-30 | 2.31 | 11.13 |
| 2.98 | 13.65 | 2.71 | 13.67 | 3.13 | 12.01 | |||
| 3.60 | 13.14 | 3.08 | 13.18 | 3.23 | 13.05 | |||
| C-270-10 | 1.51 | 12.71 | C-270-20 | 2.26 | 12.65 | C-270-30 | 1.09 | 9.06 |
| 2.60 | 12.36 | 2.44 | 11.50 | 2.16 | 11.53 | |||
| 2.64 | 13.19 | 3.25 | 12.42 | 2.60 | 11.25 |
Disclaimer/Publisher’s Note: The statements, opinions and data contained in all publications are solely those of the individual author(s) and contributor(s) and not of MDPI and/or the editor(s). MDPI and/or the editor(s) disclaim responsibility for any injury to people or property resulting from any ideas, methods, instructions or products referred to in the content. |
© 2025 by the authors. Licensee MDPI, Basel, Switzerland. This article is an open access article distributed under the terms and conditions of the Creative Commons Attribution (CC BY) license (https://creativecommons.org/licenses/by/4.0/).
Share and Cite
He, S.; Zhong, H.; Chen, Z.; Chen, H.; Chen, J.; Yu, Z. Effects of Thermal Cycles on Mechanical Properties of RPECC: Static and Dynamic Splitting Tensile Performance. Materials 2025, 18, 994. https://doi.org/10.3390/ma18050994
He S, Zhong H, Chen Z, Chen H, Chen J, Yu Z. Effects of Thermal Cycles on Mechanical Properties of RPECC: Static and Dynamic Splitting Tensile Performance. Materials. 2025; 18(5):994. https://doi.org/10.3390/ma18050994
Chicago/Turabian StyleHe, Shaohua, Huaqian Zhong, Zhiliang Chen, Huangwei Chen, Jincai Chen, and Zhitao Yu. 2025. "Effects of Thermal Cycles on Mechanical Properties of RPECC: Static and Dynamic Splitting Tensile Performance" Materials 18, no. 5: 994. https://doi.org/10.3390/ma18050994
APA StyleHe, S., Zhong, H., Chen, Z., Chen, H., Chen, J., & Yu, Z. (2025). Effects of Thermal Cycles on Mechanical Properties of RPECC: Static and Dynamic Splitting Tensile Performance. Materials, 18(5), 994. https://doi.org/10.3390/ma18050994

