Temporal and Spatial Coupling Methods for the Efficient Modelling of Dynamic Solids
Abstract
1. Introduction
2. Governing Equations of Dynamic Solids
3. Multi-Time-Step Integration
3.1. Salient Multi-Time-Stepping Features
3.2. Summary of Temporal Algorithm
| Algorithm 1 Summary of Algorithm for Coupling in Time from N to |
|
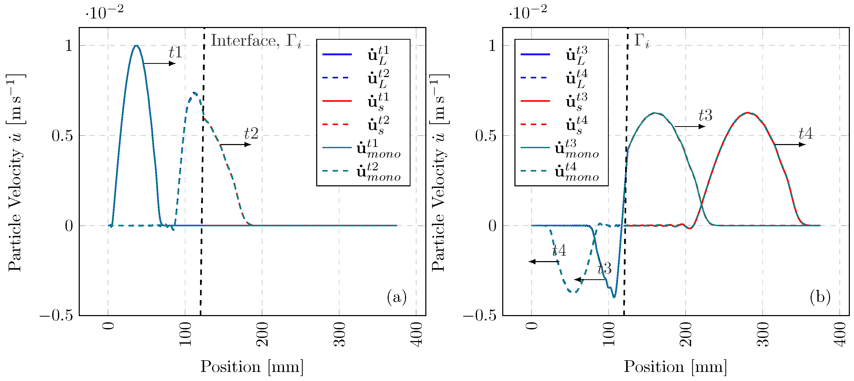
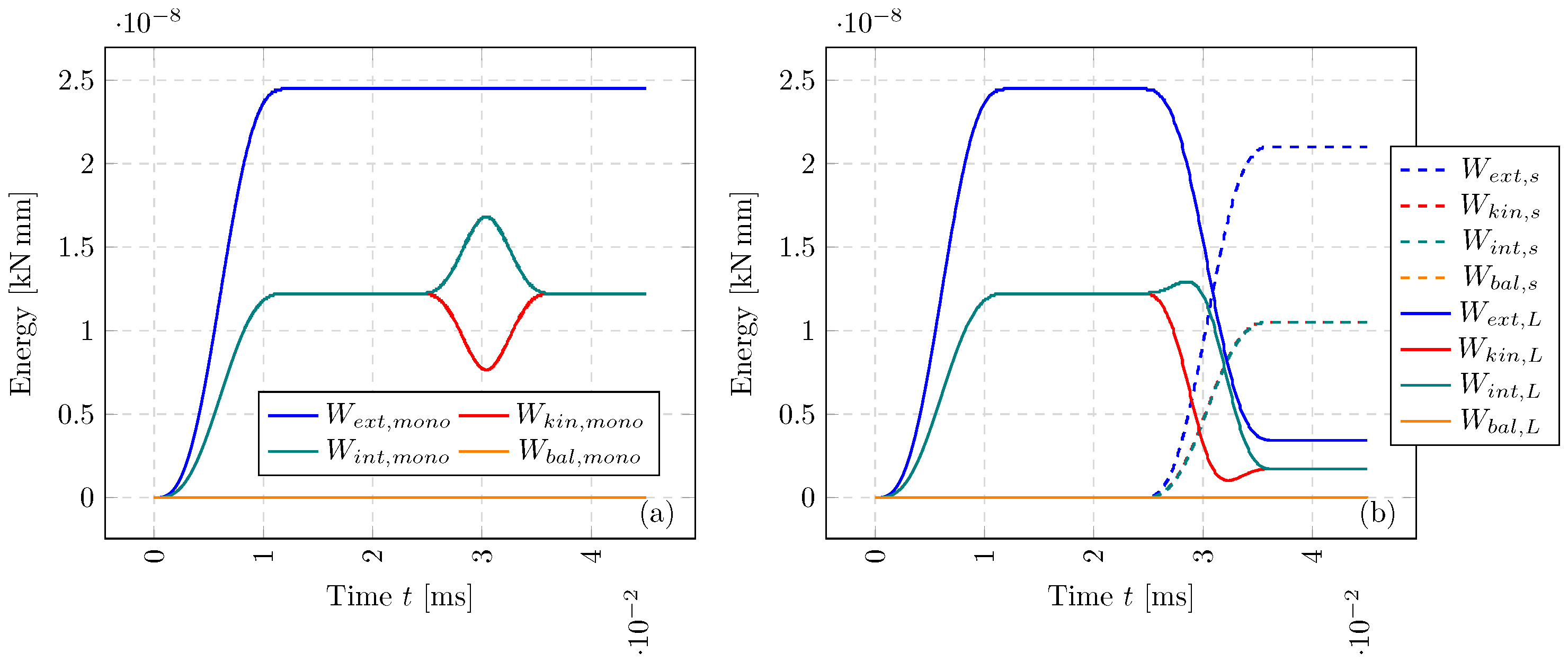
3.3. Numerical Examples in Time
4. Solving Non-Matching Meshes
4.1. Combined Spatial and Temporal Coupling
| Algorithm 2 Summary of Non-Matching Mesh Algorithm with Multi-Time Stepping |
|
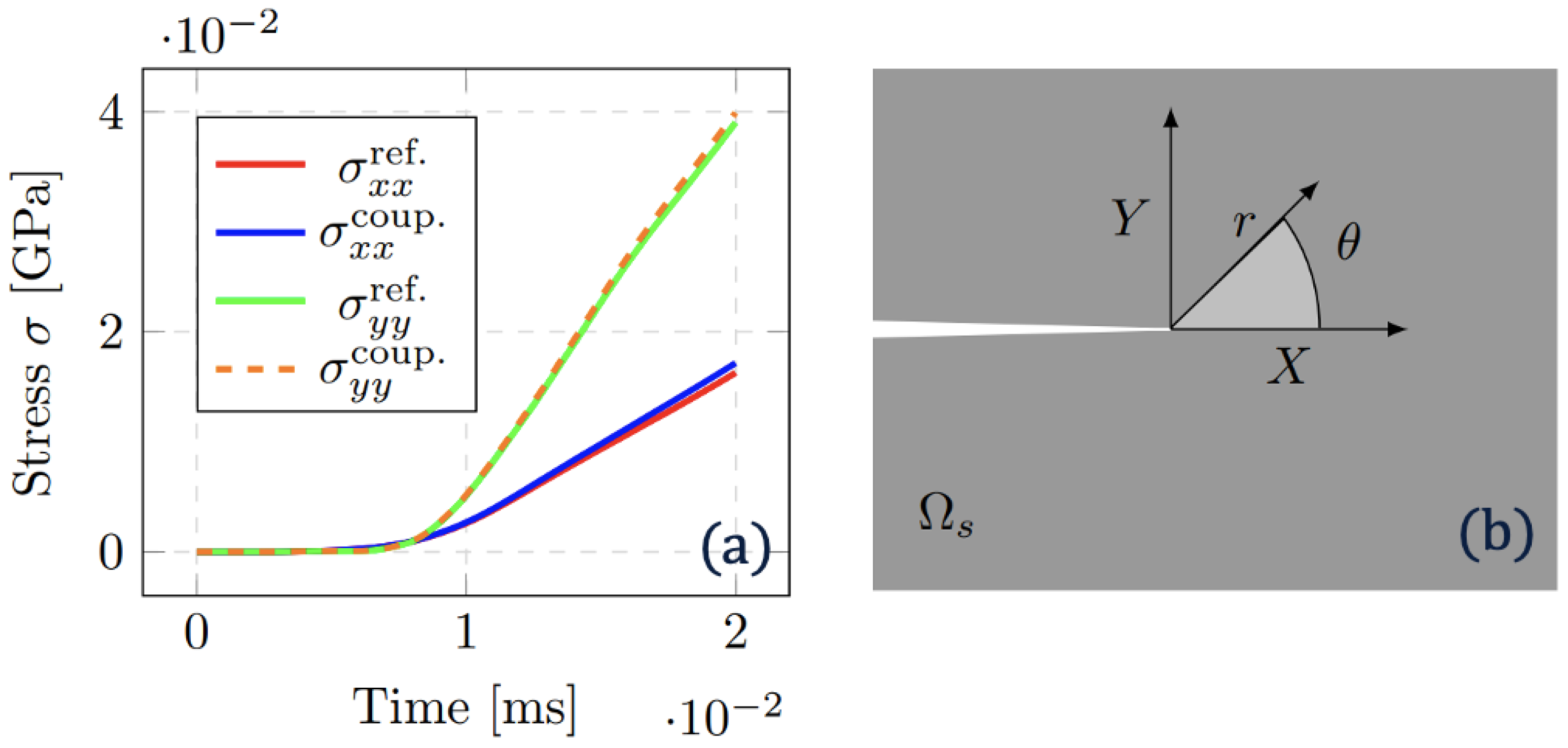
4.2. Numerical Examples in Space and Time
5. Conclusions
Author Contributions
Funding
Institutional Review Board Statement
Informed Consent Statement
Data Availability Statement
Acknowledgments
Conflicts of Interest
References
- Courant, R.; Friedrichs, K.; Lewy, H. On the partial difference equations of mathematical physics. IBM J. Res. Dev. 1967, 11, 215–234. [Google Scholar] [CrossRef]
- Hughes, T.J.; Liu, W.K. Implicit-explicit finite elements in transient analysis: Implementation and numerical examples. J. Appl. Mech. Trans. ASME 1978, 45, 375–378. [Google Scholar] [CrossRef]
- Neal, M.O.; Belytschko, T. Explicit-explicit subcycling with non-integer time step ratios for structural dynamic systems. Comput. Struct. 1989, 31, 871–880. [Google Scholar] [CrossRef]
- Daniel, W.J.T. Analysis and implementation of a new constant acceleration subcycling algorithm. Int. J. Numer. Methods Eng. 1997, 40, 2841–2855. [Google Scholar] [CrossRef]
- Daniel, W.J.T. A partial velocity approach to subcycling structural dynamics. Comput. Methods Appl. Mech. Eng. 2003, 192, 375–394. [Google Scholar] [CrossRef]
- Lew, A.; Marsden, J.E.; Ortiz, M.; West, M. Variational time integrators. Int. J. Numer. Methods Eng. 2004, 60, 153–212. [Google Scholar] [CrossRef]
- Combescure, A.; Gravouil, A. A numerical scheme to couple subdomains with different time-steps for predominantly linear transient analysis. Comput. Methods Appl. Mech. Eng. 2002, 191, 1129–1157. [Google Scholar] [CrossRef]
- Gravouil, A.; Combescure, A.; Brun, M. Heterogeneous asynchronous time integrators for computational structural dynamics. Int. J. Numer. Methods Eng. 2015, 102, 202–232. [Google Scholar] [CrossRef]
- Cho, S.S.; Kolman, R.; González, J.A.; Park, K.C. Explicit multistep time integration for discontinuous elastic stress wave propagation in heterogeneous solids. Int. J. Numer. Methods Eng. 2019, 118, 276–302. [Google Scholar] [CrossRef]
- Dvořák, R.; Kolman, R.; Mračko, M.; Kopačka, J.; Fíla, T.; Jiroušek, O.; Falta, J.; Neuhäuserová, M.; Rada, V.; Adámek, V.; et al. Energy-conserving interface dynamics with asynchronous direct time integration employing arbitrary time steps. Comput. Methods Appl. Mech. Eng. 2023, 413, 116110. [Google Scholar] [CrossRef]
- de Boer, A.; van Zuijlen, A.H.; Bijl, H. Review of coupling methods for non-matching meshes. Comput. Methods Appl. Mech. Eng. 2007, 196, 1515–1525. [Google Scholar] [CrossRef]
- Hansbo, A.; Hansbo, P. An unfitted finite element method, based on Nitsche’s method, for elliptic interface problems. Comput. Methods Appl. Mech. Eng. 2002, 191, 5537–5552. [Google Scholar] [CrossRef]
- Hansbo, A.; Hansbo, P. Nitsche’s method for coupling non-matching meshes in fluid-structure vibration problems. Comput. Mech. 2002, 32, 134–139. [Google Scholar] [CrossRef]
- Wriggers, P.; Zavarise, G. A formulation for frictionless contact problems using a weak form introduced by Nitsche. Comput. Mech. 2017, 41, 407–420. [Google Scholar] [CrossRef]
- Sanders, J.D.; Laursen, T.A.; Puso, M.A. A Nitsche embedded mesh method. Comput. Mech. 2010, 49, 243–257. [Google Scholar] [CrossRef]
- Puso, M.A.; Laursen, T.A. A mortar segment-to-segment contact method for large deformation solid mechanics. Comput. Methods Appl. Mech. Eng. 2004, 193, 601–629. [Google Scholar] [CrossRef]
- Faucher, V.; Combescure, A. A time and space mortar method for coupling linear modal subdomains and non-linear subdomains in explicit structural dynamics. Comput. Methods Appl. Mech. Eng. 2003, 192, 509–533. [Google Scholar] [CrossRef]
- Steinbrecher, I.; Mayr, M.; Grill, M.J.; Kremheller, J.; Meier, C.; Popp, A. A mortar-type finite element approach for embedding 1D beams into 3D solid volumes. Comput. Mech. 2020, 66, 1377–1398. [Google Scholar] [CrossRef]
- Zhou, M.; Zhang, B.; Chen, T.; Peng, C.; Fang, H. A three-field dual mortar method for elastic problems with nonconforming mesh. Comput. Methods Appl. Mech. Eng. 2020, 362, 112870. [Google Scholar] [CrossRef]
- Wilson, P.; Teschemacher, T.; Bucher, P.; Wüchner, R. Non-conforming FEM-FEM coupling approaches and their application to dynamic structural analysis. Eng. Struct. 2021, 241, 112342. [Google Scholar] [CrossRef]
- Singer, V.; Teschemacher, T.; Larese, A.; Wüchner, R.; Bletzinger, K.U. Lagrange multiplier imposition of non-conforming essential boundary conditions in implicit material point method. Comput. Mech. 2024, 73, 1311–1333. [Google Scholar] [CrossRef]
- Puso, M.A.; Laursen, T.A. A simple algorithm for localized construction of non-matching structural interfaces. Int. J. Numer. Methods Eng. 2002, 53, 2117–2142. [Google Scholar]
- Herry, B.; Di Valentin, L.; Combescure, A. An approach to the connection between subdomains with non-matching meshes for transient mechanical analysis. Int. J. Numer. Methods Eng. 2002, 55, 973–1003. [Google Scholar] [CrossRef]
- Subber, W.; Matouš, K. Asynchronous space–time algorithm based on a domain decomposition method for structural dynamics problems on non-matching meshes. Comput. Mech. 2016, 57, 211–235. [Google Scholar]
- González, J.A.; Kolman, R.; Cho, S.S.; Felippa, C.A.; Park, K.C. Inverse mass matrix via the method of localized Lagrange multipliers. Int. J. Numer. Methods Eng. 2018, 113, 277–295. [Google Scholar] [CrossRef]
- Jeong, G.E.; Song, Y.U.; Youn, S.K.; Park, K.C. A new approach for nonmatching interface construction by the method of localized Lagrange multipliers. Comput. Methods Appl. Mech. Eng. 2020, 361, 112728. [Google Scholar] [CrossRef]
- González, J.A.; Park, K.C. Three-field partitioned analysis of fluid–structure interaction problems with a consistent interface model. Comput. Methods Appl. Mech. Eng. 2023, 414, 116134. [Google Scholar] [CrossRef]
- Cho, Y.S.; Jun, S.; Im, S.; Kim, H.G. An improved interface element with variable nodes for non-matching finite element meshes. Comput. Methods Appl. Mech. Eng. 2005, 194, 3022–3046. [Google Scholar] [CrossRef]
- Kim, H.G. Development of three-dimensional interface elements for coupling of non-matching hexahedral meshes. Comput. Methods Appl. Mech. Eng. 2005, 197, 3870–3882. [Google Scholar] [CrossRef]
- Bitencourt, L.A., Jr.; Manzoli, O.L.; Prazeres, P.G.; Rodrigues, E.A.; Bittencourt, T.N. A coupling technique for non-matching finite element meshes. Comput. Methods Appl. Mech. Eng. 2015, 290, 19–44. [Google Scholar] [CrossRef]
- Rodrigues, E.A.; Manzoli, O.L.; Bitencourt, L.A., Jr.; Bittencourt, T.N.; Sánchez, M. An adaptive concurrent multiscale model for concrete based on coupling finite elements. Comput. Methods Appl. Mech. Eng. 2018, 328, 26–46. [Google Scholar] [CrossRef]
- Dunne, F.; Petrinic, N. Introduction to Computational Plasticity; OUP: Oxford, UK, 2005. [Google Scholar]
- de Souza Neto, E.A.; Peric, D.; Owen, D.R. Computational Methods for Plasticity: Theory and Applications; John Wiley & Sons: Hoboken, NJ, USA, 2011. [Google Scholar]
- Belytschko, T.; Liu, W.K.; Moran, B.; Elkhodary, K. Nonlinear Finite Elements for Continua and Structures; John Wiley & Sons: Hoboken, NJ, USA, 2014. [Google Scholar]
- Chan, K.F.; Bombace, N.; Sap, D.; Wason, D.; Falco, S.; Petrinic, N. A Multi-Time Stepping Algorithm for the Modelling of Heterogeneous Structures With Explicit Time Integration. Int. J. Numer. Methods Eng. 2025, 126, e7638. [Google Scholar] [CrossRef]
- Biotteau, E.; Gravouil, A.; Lubrecht, A.A.; Combescure, A. Multigrid solver with automatic mesh refinement for transient elastoplastic dynamic problems. Int. J. Numer. Methods Eng. 2010, 84, 947–971. [Google Scholar] [CrossRef]
- Dvořák, R.; Kolman, R.; González, J.A. On the automatic construction of interface coupling operators for non-matching meshes by optimization methods. Comput. Methods Appl. Mech. Eng. 2024, 432, 117336. [Google Scholar] [CrossRef]
- Pinho, S.T.; Robinson, P.; Iannucci, L. Fracture toughness of the tensile and compressive fibre failure modes in laminated composites. Compos. Sci. Technol. 2006, 66, 2069–2079. [Google Scholar]
- Sommer, D.E.; Thomson, D.; Hoffmann, J.; Petrinic, N. Numerical modelling of quasi-static and dynamic compact tension tests for obtaining the translaminar fracture toughness of CFRP. Compos. Sci. Technol. 2023, 237, 109997. [Google Scholar] [CrossRef]
- Triclot, J.; Corre, T.; Gravouil, A.; Lazarus, V. Key role of boundary conditions for the 2D modeling of crack propagation in linear elastic Compact Tension tests. Eng. Fract. Mech. 2023, 277, 109012. [Google Scholar] [CrossRef]
- Han, Q.; Wang, Y.; Yin, Y.; Wang, D. Determination of stress intensity factor for mode I fatigue crack based on finite element analysis. Eng. Fract. Mech. 2015, 138, 118–126. [Google Scholar] [CrossRef]
- Qian, G.; González-Albuixech, V.F.; Niffenegger, M.; Giner, E. Comparison of KI calculation methods. Eng. Fract. Mech. 2016, 156, 52–67. [Google Scholar] [CrossRef]
- Zhao, X.; Mo, Z.L.; Guo, Z.Y.; Li, J. A modified three-dimensional virtual crack closure technique for calculating stress intensity factors with arbitrarily shaped finite element mesh arrangements across the crack front. Theor. Appl. Fract. Mech. 2020, 109, 102695. [Google Scholar] [CrossRef]
- Courtin, S.; Gardin, C.; Bezine, G.; Hamouda, H.B.H. Advantages of the J-integral approach for calculating stress intensity factors when using the commercial finite element software ABAQUS. Eng. Fract. Mech. 2005, 72, 2174–2185. [Google Scholar] [CrossRef]
- Sahu, I. Bilinear-Inverse-Mapper: Analytical Solution and Algorithm for Inverse Mapping of Bilinear Interpolation of Quadrilaterals. SSRN 2024, 4790071. Available online: https://ssrn.com/abstract=4790071 (accessed on 9 December 2024). [CrossRef]
- Falco, S.; Fogell, N.; Iannucci, L.; Petrinic, N.; Eakins, D. A method for the generation of 3D representative models of granular based materials. Int. J. Numer. Methods Eng. 2017, 112, 338–359. [Google Scholar] [CrossRef]
- Wason, D. A Multi-Scale Approach to the Development of High-Rate-Based Microstructure-Aware Constitutive Models for Magnesium Alloys. Ph.D. Thesis, University of Oxford, Oxford, UK, 2023. [Google Scholar]
- Falco, S.; Fogell, N.; Iannucci, L.; Petrinic, N.; Eakins, D. Raster approach to modelling the failure of arbitrarily inclined interfaces with structured meshes. Comput. Mech. 2024, 74, 805–818. [Google Scholar] [CrossRef]
- Bombace, N. Dynamic Adaptive Concurrent Multi-Scale Simulation of Wave Propagation in 3D Media. Doctoral dissertation. Ph.D. Thesis, University of Oxford, Oxford, UK, 2018. [Google Scholar]
- Martínez-Hergueta, F.; Pellegrino, A.; Ridruejo, Á.; Petrinic, N.; González, C.; LLorca, J. Dynamic tensile testing of needle-punched nonwoven fabrics. Appl. Sci. 2020, 10, 5081. [Google Scholar] [CrossRef]
- Tserpes, K.; Kormpos, P. Detailed Finite Element Models for the Simulation of the Laser Shock Wave Response of 3D Woven Composites. J. Compos. Sci. 2024, 8, 83. [Google Scholar] [CrossRef]










| Simulation | [MPa·] | [MPa·] |
|---|---|---|
| Reference (monolithic) | 0.02714 | −0.002857 |
| Spatial coupling | 0.02810 | −0.003036 |
| Simulation | Runtime [s] | Speedup |
|---|---|---|
| Reference (monolithic) | 7428 | - |
| Spatially Coupled | 2267 | 3.27× |
| Spatially and Temporally Coupled | 572 | 12.98× |
Disclaimer/Publisher’s Note: The statements, opinions and data contained in all publications are solely those of the individual author(s) and contributor(s) and not of MDPI and/or the editor(s). MDPI and/or the editor(s) disclaim responsibility for any injury to people or property resulting from any ideas, methods, instructions or products referred to in the content. |
© 2025 by the authors. Licensee MDPI, Basel, Switzerland. This article is an open access article distributed under the terms and conditions of the Creative Commons Attribution (CC BY) license (https://creativecommons.org/licenses/by/4.0/).
Share and Cite
Chan, K.F.; Bombace, N.; Sahu, I.; Falco, S.; Petrinic, N. Temporal and Spatial Coupling Methods for the Efficient Modelling of Dynamic Solids. Materials 2025, 18, 1080. https://doi.org/10.3390/ma18051080
Chan KF, Bombace N, Sahu I, Falco S, Petrinic N. Temporal and Spatial Coupling Methods for the Efficient Modelling of Dynamic Solids. Materials. 2025; 18(5):1080. https://doi.org/10.3390/ma18051080
Chicago/Turabian StyleChan, Kin Fung, Nicola Bombace, Indrajeet Sahu, Simone Falco, and Nik Petrinic. 2025. "Temporal and Spatial Coupling Methods for the Efficient Modelling of Dynamic Solids" Materials 18, no. 5: 1080. https://doi.org/10.3390/ma18051080
APA StyleChan, K. F., Bombace, N., Sahu, I., Falco, S., & Petrinic, N. (2025). Temporal and Spatial Coupling Methods for the Efficient Modelling of Dynamic Solids. Materials, 18(5), 1080. https://doi.org/10.3390/ma18051080

