Temperature-Responsive Transmission Switching in Smart Glass Comprising a Biphasic Liquid Crystal
Abstract
1. Introduction
2. Materials and Methods
2.1. Materials
2.2. Sample Preparations
2.3. Dielectric Measurement
2.4. Measurement of Optical and Electrooptical Characteristics
2.4.1. Optical Texture Observation
2.4.2. Electrooptical Properties
2.4.3. Transmission Spectra Measurement
2.4.4. Haze Measurement
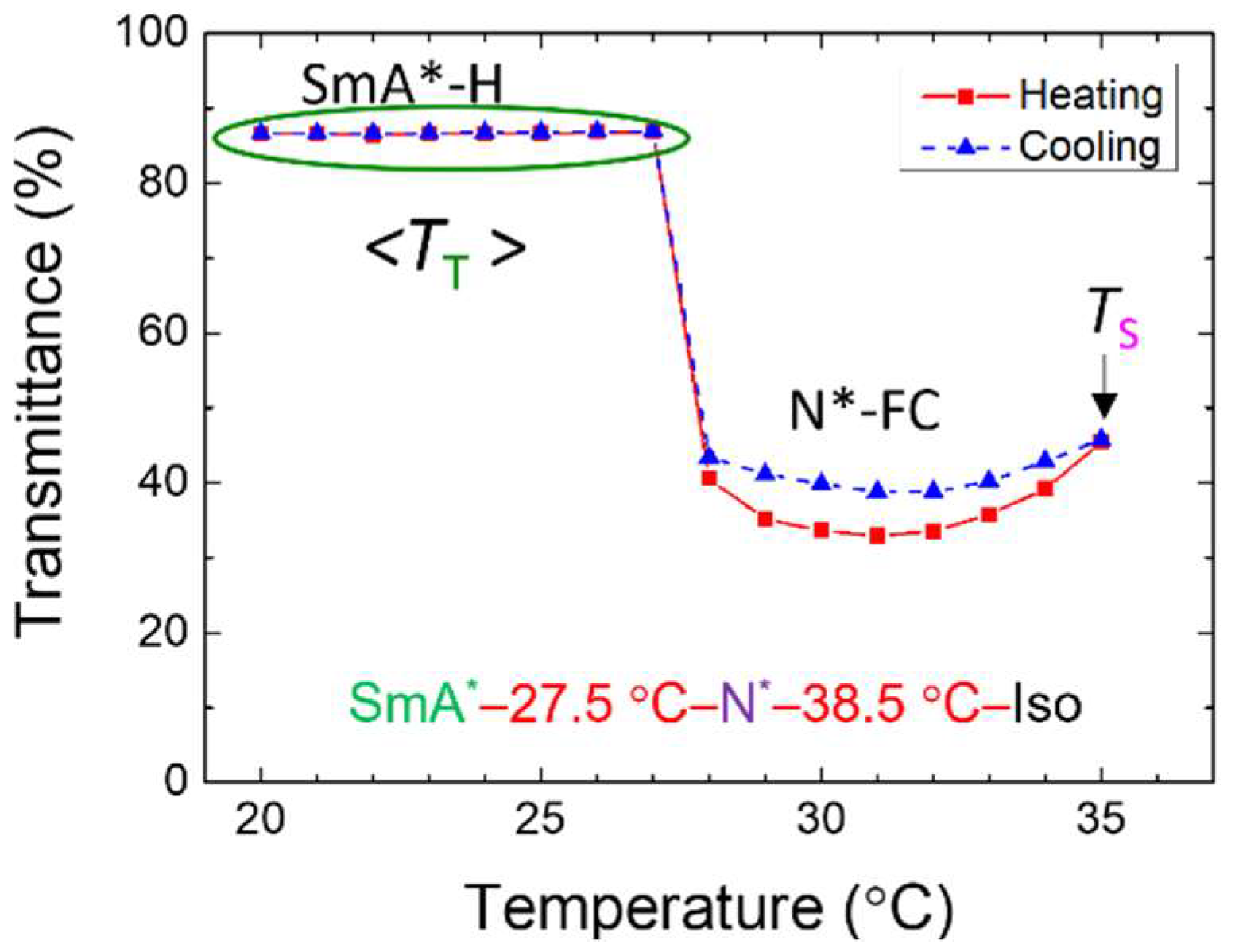
3. Results and Discussions
3.1. Birefringence in the LC Material E7
3.2. Contrast Ratio and Haze Values
3.3. Improvement and Optimization of Experimental Framework
4. Conclusions
Author Contributions
Funding
Data Availability Statement
Acknowledgments
Conflicts of Interest
References
- Karabey, O.H.; Gaebler, A.; Strunck, S.; Jakoby, R. A 2-D electronically steered phased-array antenna with 2 × 2 elements in LC display technology. IEEE Trans. Microw. Theory Tech. 2012, 60, 1297–1306. [Google Scholar] [CrossRef]
 - Duan, W.; Chen, P.; Wei, B.-Y.; Ge, S.-J.; Liang, X.; Hu, W.; Lu, Y.-Q. Fast-response and high-efficiency optical switch based on dual-frequency liquid crystal polarization grating. Opt. Mater. Express 2016, 6, 597–602. [Google Scholar] [CrossRef]
 - Jiang, Y.; Zhou, Y.; Wang, M.; Yang, D.-K. Smart thermally switchable liquid crystal window. Adv. Photon. Res. 2021, 2, 2000156. [Google Scholar] [CrossRef]
 - Oh, S.-W.; Kim, S.-H.; Yoon, T.-H. Control of transmittance by thermally induced phase transition in guest–host liquid crystals. Adv. Sustain. Syst. 2018, 2, 1800066. [Google Scholar] [CrossRef]
 - Jo, Y.-S.; Choi, T.-H.; Ji, S.-M.; Yoon, T.-H. Control of haze value by dynamic scattering in a liquid crystal mixture without ion dopants. AIP Adv. 2018, 8, 085004. [Google Scholar] [CrossRef]
 - Yang, H.; Kikuchi, H.; Kajiyama, T. Temperature dependent light transmission-light scattering switching of (homeotropic liquid crystalline polymer network/liquid crystals/chiral dopant) composite film. Liq. Cryst. 2000, 27, 1695–1699. [Google Scholar] [CrossRef]
 - Coates, D.; Crossland, W.A.; Morrisy, J.H.; Needham, B. Electrically induced scattering textures in smectic a phases and their electrical reversal. J. Phys. D Appl. Phys. 1978, 11, 2025–2034. [Google Scholar] [CrossRef]
 - Hu, X.; Zhang, X.; Yang, W.; Jiang, X.-F.; Jiang, X.; de Haan, L.-T.; Yuan, D.; Zhao, W.; Zheng, N.; Jin, M.; et al. Stable and scalable smart window based on polymer stabilized liquid crystals. J. Appl. Polym. Sci. 2020, 137, 48917. [Google Scholar] [CrossRef]
 - Oh, S.-W.; Kim, S.-H.; Baek, J.-M.; Yoon, T.-H. Optical and thermal switching of liquid crystals for self-shading windows. Adv. Sustain. Syst. 2018, 2, 1700164. [Google Scholar] [CrossRef]
 - Li, C.-C.; Tseng, H.-Y.; Chen, C.-W.; Wang, C.-T.; Jau, H.-C.; Wu, Y.-C.; Hsu, W.-H.; Lin, T.-H. Versatile energy-saving smart glass based on tristable cholesteric liquid crystals. ACS Appl. Energy Mater. 2020, 3, 7601–7609. [Google Scholar] [CrossRef]
 - Huh, J.-W.; Kim, J.-H.; Oh, S.-W.; Ji, S.-M.; Yoon, T.-H. Ion-doped liquid-crystal cell with low opaque-state specular transmittance based on electrohydrodynamic effect. Dye. Pigment. 2018, 150, 16–20. [Google Scholar] [CrossRef]
 - Hsiao, Y.-C.; Tang, C.-Y.; Lee, W. Fast-switching bistable cholesteric intensity modulator. Opt. Express 2011, 19, 9744–9749. [Google Scholar] [CrossRef]
 - Liu, Y.-J.; Wu, P.-C.; Lee, W. Spectral variations in selective reflection in cholesteric liquid crystals containing opposite-handed chiral dopants. Mol. Cryst. Liq. Cryst. 2014, 596, 37–44. [Google Scholar] [CrossRef]
 - Choi, G.-J.; Jung, H.-M.; Lee, S.-H.; Gwag, J.-S. Infrared shutter using cholesteric liquid crystal. Appl. Opt. 2016, 55, 4436–4440. [Google Scholar] [CrossRef] [PubMed]
 - Wu, W.; Wu, P.-C.; Lee, W. All-electrical switching and electrothermo-optical response of a tristable smectic-A liquid crystal. J. Mol. Liq. 2020, 325, 114566. [Google Scholar] [CrossRef]
 - Meng, W.; Gao, Y.; Hu, X.; Tan, L.; Li, L.; Zhou, G.; Yang, H.; Wang, J.; Jiang, L. Photothermal dual passively driven liquid crystal smart window. ACS Appl. Mater. Interfaces 2022, 14, 28301–28309. [Google Scholar] [CrossRef]
 - Tseng, H.-Y.; Chang, L.-M.; Lin, K.-W.; Li, C.-C.; Lin, W.-H.; Wang, C.-T.; Lin, C.-W.; Liu, S.-H.; Lin, T.-H. Smart window with active-passive hybrid control. Materials 2020, 13, 4137. [Google Scholar] [CrossRef] [PubMed]
 - Chen, H.; Tan, G.; Huang, Y.; Weng, Y.; Choi, T.-H.; Yoon, T.-H.; Wu, S.-T. A low voltage liquid crystal phase grating with switchable diffraction angles. Sci. Rep. 2017, 7, 39923. [Google Scholar] [CrossRef]
 - Oh, S.-W.; Baek, J.-M.; Kim, S.-H.; Yoon, T.-H. P Optical and electrical switching of cholesteric liquid crystals containing azo dye. RSC Adv. 2017, 7, 19497–19501. [Google Scholar] [CrossRef]
 - Talukder, J.R.; Lee, Y.-H.; Wu, S.-T. Photo-responsive dye-doped liquid crystals for smart windows. Opt. Express 2019, 27, 4480–4487. [Google Scholar] [CrossRef]
 - Oh, S.-W.; Baek, J.-M.; Yoon, T.-H. Sunlight-switchable light shutter fabricated using liquid crystals doped with push-pull azobenzene. Opt. Express 2016, 24, 26575–26582. [Google Scholar] [CrossRef]
 - Oh, S.-W.; Kim, S.-H.; Yoon, T.-H. Thermal control of transmission property by phase transition in cholesteric liquid crystals. J. Mater. Chem. C 2018, 6, 6520–6525. [Google Scholar] [CrossRef]
 - Sun, J.; Wang, H.; Wang, L.; Cao, H.; Xie, H.; Luo, X.; Xiao, J.; Ding, H.; Yang, Z.; Yang, H. Preparation and thermo-optical characteristics of a smart polymer-stabilized liquid crystal thin film based on smectic A–chiral nematic phase transition. Smart Mater. Struct. 2014, 23, 125038. [Google Scholar]
 - Yeh, M.-C.; Yang, S.-H.; Lee, W. Color tuning in thermo-sensitive chiral photonic liquid crystals based on the pseudo-dielectric heating effect. J. Mol. Liq. 2019, 296, 112082. [Google Scholar]
 - Tzeng, S.-Y.; Chen, C.-N.; Tzeng, Y. Thermal tuning band gap in cholesteric liquid crystals. Liq. Cryst. 2010, 37, 1221–1224. [Google Scholar] [CrossRef]
 - Kasian, N.A.; Lisetski, L.N.; Ivanchenko, S.E.; Chornous, V.O.; Bogatyryova, H.V.; Gvozdovskyy, I.A. Induced smectic ordering and blue phase formation in mixtures of cyanobiphenyls and cholesterol esters. arXiv 2024, arXiv:2408.00650. [Google Scholar] [CrossRef]
 - Chen, D.; Nakata, M.; Shao, R.; Tuchband, M.R.; Shuai, M.; Baumeister, U.; Weissflog, W.; Walba, D.M.; Glaser, M.A.; Maclennan, J.E. Twist-bend heliconical chiral nematic liquid crystal phase of an achiral rigid bent-core mesogen. Phys. Rev. 2014, 89, 022506. [Google Scholar] [CrossRef]
 - Varanytsia, A.; Chien, L.-C. Giant flexoelectro-optic effect with liquid crystal dimer CB7CB. Sci. Rep. 2017, 7, 41333. [Google Scholar] [CrossRef]
 - Chen, S.-C.; Wu, P.-C.; Lee, W. Dielectric and phase behaviors of blue-phase liquid crystals. Opt. Mater. Express 2014, 4, 2392–2400. [Google Scholar] [CrossRef]
 - Lin, Y.-C.; Wu, P.-C.; Lee, W. Frequency-modulated textural formation and optical properties of a binary rod-like/bent-core cholesteric liquid crystal. Photonics Res. 2019, 7, 1258–1265. [Google Scholar] [CrossRef]
 - Li, Y.; Sun, G.; Zhang, Y.; Gai, W.; Han, Y.; Zhang, H.; Zhu, J. Flexoelectro-optic properties of liquid crystal dimer CB7CB in the uniform standing helix structure under planar anchoring boundary conditions. Mol. Phys. 2023, 121, 2168469. [Google Scholar] [CrossRef]
 - Debye, P. Polar Molecules; Dover Publications: Mineola, NY, USA, 1929. [Google Scholar]
 - Schadt, M. Dielectric heating and relaxations in nematic liquid crystals. Mol. Cryst. Liq. Cryst. 1981, 66, 319–336. [Google Scholar] [CrossRef]
 











| Sample | E7 (wt.%) | R811 (wt.%) | S811 (wt.%) | S428 (wt.%) | 
|---|---|---|---|---|
| S1-1 | 70.0 | 20.0 | 10.0 | 0.0 | 
| S1-2 | 69.3 | 19.8 | 9.9 | 1.0 | 
| Sample | E7 (wt.%) | CB7CB (wt.%) | R5011 (wt.%) | S428 (wt.%) | 
|---|---|---|---|---|
| S2-1 | 49.5 | 49.5 | 1.0 | 0.0 | 
| S2-2 | 49.0 | 49.0 | 1.0 | 1.0 | 
| Temperature (°C) | Tt (%) | Td (%) | Haze (%) | 
|---|---|---|---|
| 24 | 89.23 | 0.93 | 1.05 | 
| 26 | 89.23 | 0.93 | 1.05 | 
| 28 | 89.23 | 0.92 | 1.04 | 
| 30 | 89.24 | 0.97 | 1.04 | 
| 32 | 89.24 | 0.94 | 1.05 | 
| 34 | 77.08 | 57.49 | 74.58 | 
| 36 | 77.07 | 57.30 | 74.34 | 
| 38 | 77.06 | 57.09 | 74.09 | 
| 40 | 77.11 | 56.53 | 73.31 | 
| 42 | 77.14 | 56.14 | 72.78 | 
| 44 | 77.17 | 55.88 | 72.42 | 
| Temperature (°C) | Tt (%) | Td (%) | Haze (%) | 
|---|---|---|---|
| 24 | 64.35 | 0.98 | 1.54 | 
| 26 | 64.36 | 0.98 | 1.55 | 
| 28 | 64.36 | 1.00 | 1.54 | 
| 30 | 64.35 | 0.99 | 1.54 | 
| 32 | 64.35 | 0.98 | 1.54 | 
| 34 | 30.42 | 24.30 | 79.86 | 
| 36 | 31.18 | 24.55 | 78.72 | 
| 38 | 31.19 | 24.47 | 78.45 | 
| 40 | 31.16 | 24.40 | 78.29 | 
| 42 | 31.15 | 24.35 | 78.19 | 
| 44 | 31.18 | 24.29 | 77.90 | 
| Temperature (°C) | Tt (%) | Td (%) | Haze (%) | 
|---|---|---|---|
| 24 | 89.25 | 1.06 | 1.18 | 
| 26 | 89.27 | 1.07 | 1.19 | 
| 28 | 89.23 | 1.07 | 1.21 | 
| 30 | 89.21 | 1.08 | 1.21 | 
| 32 | 89.13 | 1.19 | 1.34 | 
| 34 | 77.16 | 63.84 | 82.74 | 
| 36 | 77.54 | 63.69 | 82.14 | 
| 38 | 77.67 | 63.57 | 81.85 | 
| 40 | 77.32 | 63.34 | 81.92 | 
| 42 | 77.35 | 62.96 | 81.40 | 
| 44 | 78.87 | 63.98 | 81.12 | 
| Temperature (°C) | Tt (%) | Td (%) | Haze (%) | 
|---|---|---|---|
| 24 | 64.07 | 1.45 | 2.26 | 
| 26 | 63.33 | 2.47 | 3.90 | 
| 28 | 61.39 | 4.65 | 7.57 | 
| 30 | 59.56 | 6.37 | 10.70 | 
| 32 | 54.42 | 8.47 | 15.59 | 
| 34 | 55.13 | 12.23 | 22.18 | 
| 36 | 47.52 | 17.31 | 36.42 | 
| 38 | 35.33 | 23.29 | 65.93 | 
| 40 | 21.67 | 19.36 | 89.31 | 
| 42 | 21.64 | 19.39 | 89.61 | 
| 44 | 21.62 | 19.35 | 89.51 | 
Disclaimer/Publisher’s Note: The statements, opinions and data contained in all publications are solely those of the individual author(s) and contributor(s) and not of MDPI and/or the editor(s). MDPI and/or the editor(s) disclaim responsibility for any injury to people or property resulting from any ideas, methods, instructions or products referred to in the content.  | 
© 2025 by the authors. Licensee MDPI, Basel, Switzerland. This article is an open access article distributed under the terms and conditions of the Creative Commons Attribution (CC BY) license (https://creativecommons.org/licenses/by/4.0/).
Share and Cite
Lu, M.-H.; Chiang, Y.-C.; Lee, W. Temperature-Responsive Transmission Switching in Smart Glass Comprising a Biphasic Liquid Crystal. Materials 2025, 18, 4989. https://doi.org/10.3390/ma18214989
Lu M-H, Chiang Y-C, Lee W. Temperature-Responsive Transmission Switching in Smart Glass Comprising a Biphasic Liquid Crystal. Materials. 2025; 18(21):4989. https://doi.org/10.3390/ma18214989
Chicago/Turabian StyleLu, Min-Han, Yu-Cheng Chiang, and Wei Lee. 2025. "Temperature-Responsive Transmission Switching in Smart Glass Comprising a Biphasic Liquid Crystal" Materials 18, no. 21: 4989. https://doi.org/10.3390/ma18214989
APA StyleLu, M.-H., Chiang, Y.-C., & Lee, W. (2025). Temperature-Responsive Transmission Switching in Smart Glass Comprising a Biphasic Liquid Crystal. Materials, 18(21), 4989. https://doi.org/10.3390/ma18214989
        
