Non-Destructive Evaluation of HTV’s Thermal-Oxidative Aging Using Terahertz Dielectric Spectroscopy
Abstract
1. Introduction
2. Materials and Methods
2.1. Materials
2.2. Terahertz Time Domain Spectrum Detection Platform
2.2.1. Terahertz Detection Platform
2.2.2. THz Dielectric Spectrum Extraction Methods
2.3. Chemical Property Detection
3. Results and Discussion
3.1. THz Dielectric Spectrum
3.2. HTV Infrared Spectrum Analysis
3.3. Aging Mechanism of HTV
3.4. Evaluation of HTV Aging Degree
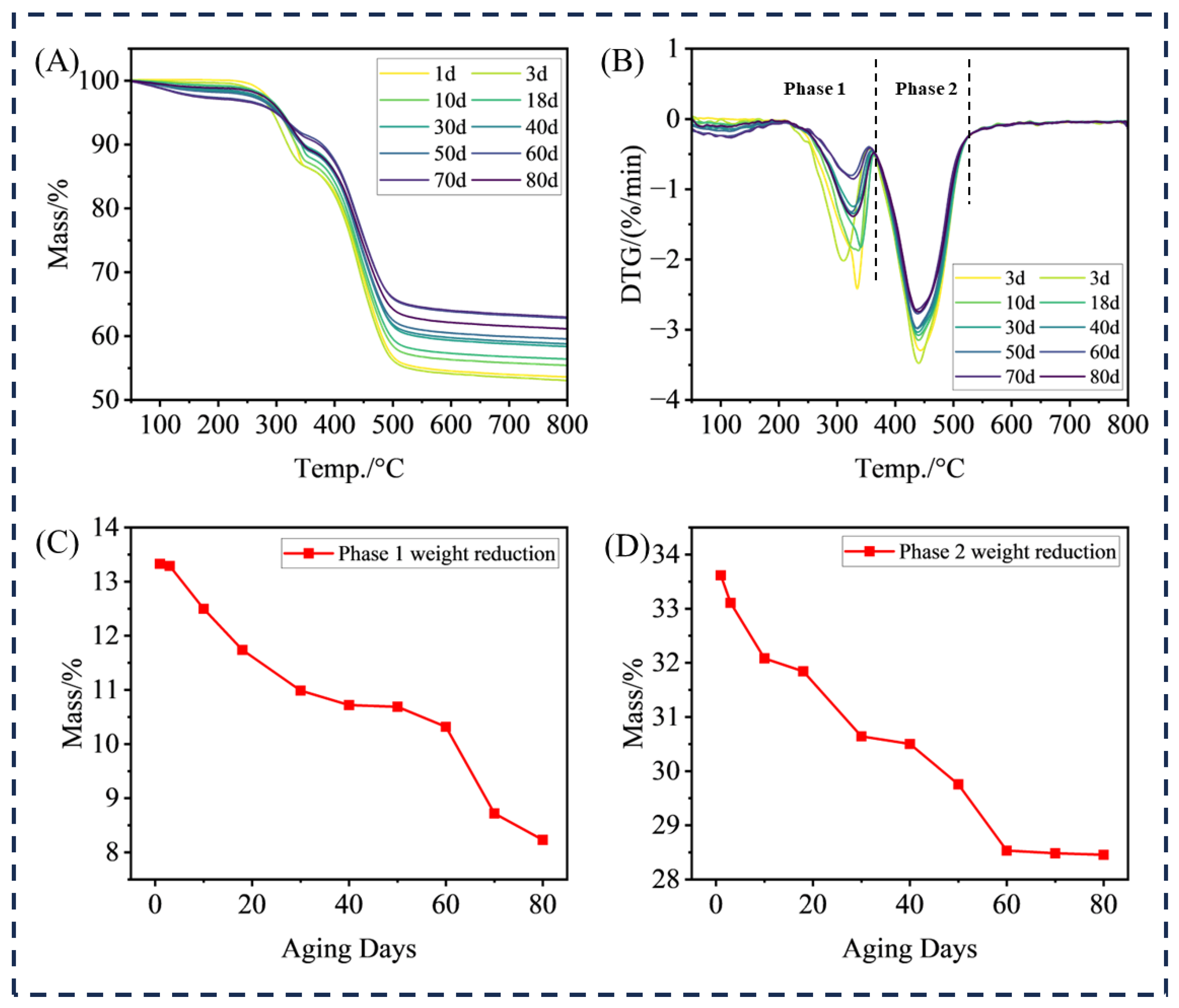
3.4.1. TGA of HTV Aging
3.4.2. Aging State Model of HTV
4. Conclusions
Author Contributions
Funding
Institutional Review Board Statement
Informed Consent Statement
Data Availability Statement
Conflicts of Interest
References
- Su, H.; Jia, Z.; Sun, Z.; Guan, Z.; Li, L. Field and Laboratory Tests of Insulator Flashovers under Conditions of Light Ice Accumulation and Contamination. IEEE Trans. Dielectr. Electr. Insul. 2012, 19, 1681–1689. [Google Scholar] [CrossRef]
 - Han, R.; Li, Y.; Zhu, Q.; Niu, K. Research on the preparation and thermal stability of silicone rubber composites: A review. Compos. Part C Open Access 2022, 8, 100249. [Google Scholar] [CrossRef]
 - Zeng, Z.; Guo, P.; Zhang, R.; Zhao, Z.; Bao, J.; Wang, Q.; Xu, Z. Review of Aging Evaluation Methods for Silicone Rubber Composite Insulators. Polymers 2023, 15, 1141. [Google Scholar] [CrossRef] [PubMed]
 - Gao, C.; Peng, Y.; Zhang, S.; Zhang, B.; Li, W.; Li, L. Mechanism Analysis of Composite Insulators Deterioration and Decay-like Aging Caused by Internal Discharge in Transmission Lines. IEEE Access 2023, 11, 114582–114589. [Google Scholar] [CrossRef]
 - Ahmad, S.; Ahmed, R.; Rahman, R.A.; Ullah, A.; Jamal, A.; Akram, R. A comprehensive study of nano/micro fillers on silicone rubber insulators: Electrical, mechanical, and thermal characterization. Results Eng. 2025, 25, 103654. [Google Scholar] [CrossRef]
 - Lin, Y.; Yin, F.; Liu, Y.; Wang, L.; Zhao, Y.; Farzaneh, M. Effect of ultraviolet-A radiation on surface structure, thermal, and mechanical and electrical properties of liquid silicone rubber. J. Appl. Polym. Sci. 2019, 136, 47652. [Google Scholar] [CrossRef]
 - Li, G.C.; Guo, K.Y.; Zhang, J.H.; Sun, W.X. Stress-thermal aging properties of silicone rubber used for cable accessories and electric-thermal-stress multiple fields coupling simulation. Acta Phys. Sin. 2024, 73, 070701. [Google Scholar] [CrossRef]
 - Fan, S.; Zhang, X.; Lu, Y.; Gao, Y. Characterization of HTV Silicone Rubber with Different Content of ATH Filler by Mechanical Measurements, FTIR and XPS Analyzes. In Proceedings of the 2018 12th International Conference on the Properties and Applications of Dielectric Materials (Icpadm 2018), Xi’an, China, 20–24 May 2018; pp. 888–891. [Google Scholar]
 - Wang, S.; Hou, M.; Ma, K.; Li, Z.; Geng, H.; Zhang, W.; Li, N. Research on the Influence of Extremely Cold Environment on the Performance of Silicone Rubber and Fluorinated Silicone Rubber. Polymers 2022, 14, 1898. [Google Scholar] [CrossRef] [PubMed]
 - Ning, K.; Lu, J.; Jiang, Z.; Xie, P.; Feng, T.; Hu, J.; Fu, Z.; Tang, Z. Aging characteristics and lifespan prediction for composite insulator silicone rubber in a mountainous region environment. Polym. Test. 2023, 122, 108023. [Google Scholar] [CrossRef]
 - Ullah, R.; Akbar, M.; Ullah, N.; Al Otaibi, S.; Althobaiti, A. Understanding Variations in the Tracking and Erosion Performance of HTV-SR-Based Composites due to AC-Stressed Aging. Polymers 2021, 13, 3634. [Google Scholar] [CrossRef] [PubMed]
 - Zhang, Z.; Zhao, J.; Wan, X.; Jiang, X.; Hu, J. Mechanical Properties of High Temperature Vulcanized Silicone Rubber Aged in the Natural Environment. Polymers 2022, 14, 4439. [Google Scholar] [CrossRef] [PubMed]
 - Li, J.J.; Wu, H.R.; Zhang, X.D.; Yu, L. Study on X-Ray Photoelectron Spectroscopy of High-Temperature Vulcanized Silicone Rubber Accelerated Aging by Ultraviolet Radiation. Spectrosc. Spectr. Anal. 2021, 41, 720–726. [Google Scholar]
 - IEC 60825-1:2014; Safety of Laser Products—Part 1: Equipment Classification and Requirements. International Electrotechnical Commission (IEC): Geneva, Switzerland, 2014. Available online: https://webstore.iec.ch/publication/5369 (accessed on 31 August 2025).
 - Li, Q.; Lei, M.; Li, Z.; Gan, Q.; Sun, Y.; Wei, X. Preparation and mechanism research on hydrophobic coupling modification of HTV silicone rubber. Front. Mater. 2024, 11, 1405274. [Google Scholar] [CrossRef]
 - Paul, M.; Mishra, P.; Vangapandu, D.N.; Mondal, M.; Paramane, A.; Nazir, M.T. Thermal Aging Characteristics of Silicone Rubber Exposed to Mineral Oil. IEEE Trans. Dielectr. Electr. Insul. 2023, 30, 2828–2837. [Google Scholar] [CrossRef]
 - Mwafy, E.A.; Gaafar, M.S. Dynamic mechanical characteristics of aged silicone rubber blend. Polym. Bull. 2023, 80, 9015–9032. [Google Scholar] [CrossRef]
 





| Name | CAS Numbers | Supplier | Specifications | Purity | 
|---|---|---|---|---|
| SYLGARD™ 184 Silicone Elastomer Kit | / | Dow Corning Co., Ltd. (Midland, MI, USA) | Weight-average (Mv) 25,000 | / | 
| Aluminum Hydroxide (ATH) | 21645-51-2 | Shanghai Macklin Biochemical Technology Co., Ltd. (Shanghai, China) | 5000 mesh | AR | 
| Silicon Dioxide (SiO2) | 14464-46-1 | Shanghai Macklin Biochemical Technology Co., Ltd. (Shanghai, China) | 12,500 mesh | AR | 
| No. | Pearson Correlation Coefficient | p Value | R2 | 
|---|---|---|---|
| 1 | −0.3797 | 0.279211 | 0.1441 | 
| 2 | 0.8748 | 0.000922 | 0.7653 | 
| 3 | 0.9763 | 0.000001 | 0.9533 | 
| HTV | |||||
| 2.7709 | 0.2289 | 5.31 × 10−13 | 0.1326 | 6.01 × 10−12 | 
Disclaimer/Publisher’s Note: The statements, opinions and data contained in all publications are solely those of the individual author(s) and contributor(s) and not of MDPI and/or the editor(s). MDPI and/or the editor(s) disclaim responsibility for any injury to people or property resulting from any ideas, methods, instructions or products referred to in the content.  | 
© 2025 by the authors. Licensee MDPI, Basel, Switzerland. This article is an open access article distributed under the terms and conditions of the Creative Commons Attribution (CC BY) license (https://creativecommons.org/licenses/by/4.0/).
Share and Cite
Zhang, T.; Cheng, L.; Zhang, S.; Tao, B.; Tang, Y. Non-Destructive Evaluation of HTV’s Thermal-Oxidative Aging Using Terahertz Dielectric Spectroscopy. Materials 2025, 18, 4176. https://doi.org/10.3390/ma18174176
Zhang T, Cheng L, Zhang S, Tao B, Tang Y. Non-Destructive Evaluation of HTV’s Thermal-Oxidative Aging Using Terahertz Dielectric Spectroscopy. Materials. 2025; 18(17):4176. https://doi.org/10.3390/ma18174176
Chicago/Turabian StyleZhang, Tengyi, Li Cheng, Shuo Zhang, Bo Tao, and Yipu Tang. 2025. "Non-Destructive Evaluation of HTV’s Thermal-Oxidative Aging Using Terahertz Dielectric Spectroscopy" Materials 18, no. 17: 4176. https://doi.org/10.3390/ma18174176
APA StyleZhang, T., Cheng, L., Zhang, S., Tao, B., & Tang, Y. (2025). Non-Destructive Evaluation of HTV’s Thermal-Oxidative Aging Using Terahertz Dielectric Spectroscopy. Materials, 18(17), 4176. https://doi.org/10.3390/ma18174176
        
