Desert Sand in Alkali-Activated Fly Ash–Slag Mortar: Fluidity, Mechanical Properties, and Microstructure
Abstract
1. Introduction
2. Experimental Program
2.1. Raw Materials
2.2. Alkali Solution
2.3. Sample Preparation
2.4. Methods
2.4.1. Fluidity Test
2.4.2. Mechanical Properties Test
2.4.3. Drying Shrinkage Test
2.4.4. Elastic Modulus Test
2.4.5. Microstructure Characterization
3. Results and Discussion
3.1. Fluidity
3.2. Mechanical Properties
3.2.1. Compressive Strength
3.2.2. Flexural Strength
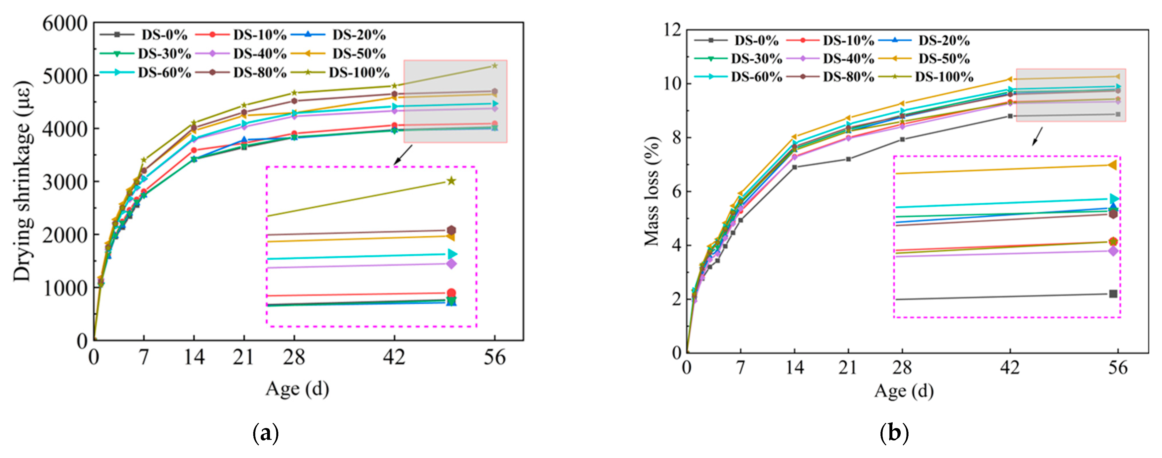
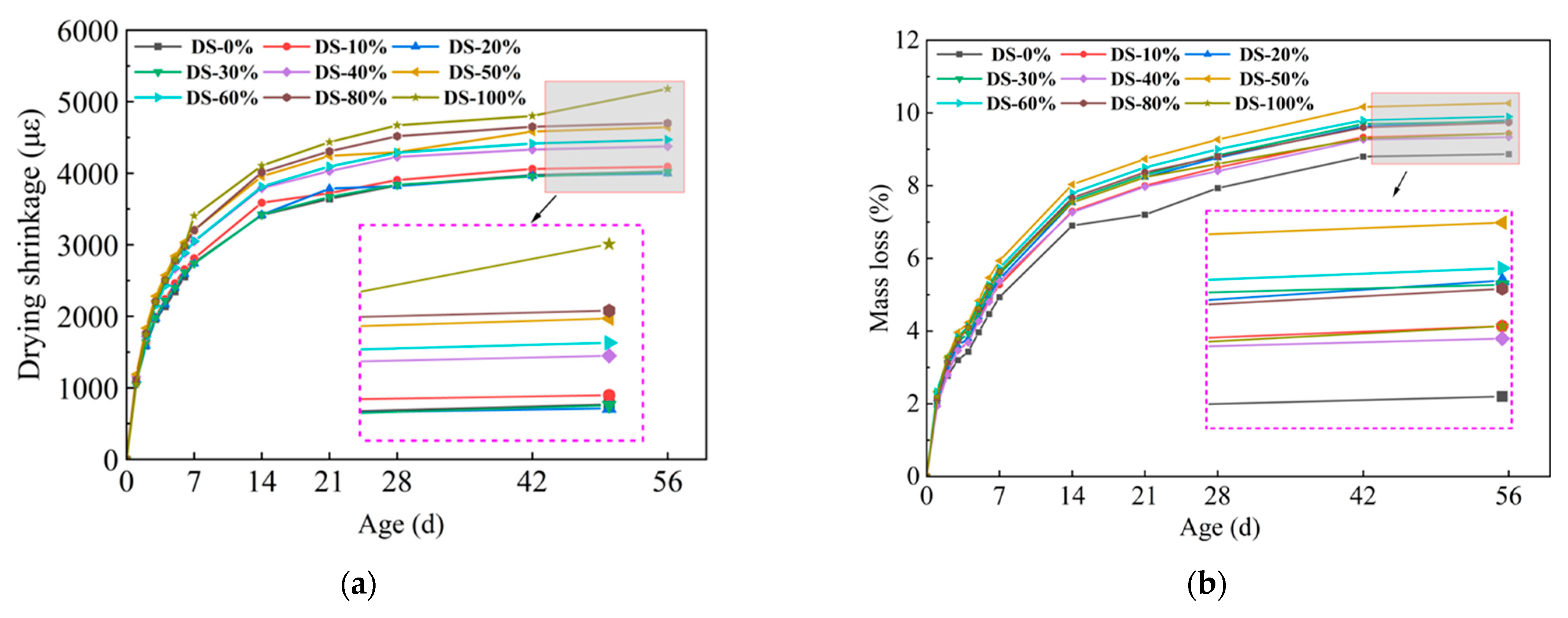
3.3. Drying Shrinkage
3.4. Elastic Modulus
3.5. Microscopic Analysis
3.5.1. XRD
3.5.2. SEM
3.5.3. MIP
3.5.4. TG-DSC
3.6. Reaction Mechanism
4. Conclusions
- (1)
- When the DSRR is 10%~20%, the fluidity and dry shrinkage performance of alkali-activated mortar can be improved. However, when the DSRR is greater than 20%, the fluidity gradually decreases, and the drying shrinkage increases. When the dry shrinkage ratio is 100%, the fluidity of the mortar is the smallest, and the dry shrinkage ratio is the largest.
- (2)
- Compressive strength is positively correlated with the elastic modulus. When the content is 100%, the compressive strength of the mortar reaches 76 MPa. When the DSRR is between 0%~60%, the effect on the flexural strength of the mortar is not significant, and when it exceeds 60%, the effect on the flexural strength of the mortar is significant.
- (3)
- The XRD results showed that desert sand was involved in alkali activation. With the increase in the DSRR, on the one hand, more gels were formed, which hindered the dissolution of silicon–aluminum substances. On the other hand, the amount of desert sand increased, which led to the intensification of the diffraction peaks of orthoclase and albite. Ca2+ can promote the transformation of amorphous N-A-S-H gels to crystalline C-A-S-H gels, thereby improving the mechanical properties of mortars.
- (4)
- The results of scanning electron microscopy (SEM) showed that the desert sand was tightly bound to the matrix. In addition, a layer of gel was attached to the surface of the desert sand, which enhanced the interface bond between the two. The increase in DSRR accelerated the rate of the alkali activation reaction.
- (5)
- The MIP test results show that when the DSRR is 100%, the sample has a reasonable pore size distribution. This is because more VFPs are involved in the hydration reaction, while Ca2+ promotes gel formation. However, there are a large number of capillaries in the matrix, which is not conducive to the drying and shrinkage of the mortar.
- (6)
- Through this study, we can have a more comprehensive understanding of the macroscopic properties and microscopic morphology of alkali-activated mortar under different DSRRs, and it is clear that VFPs in desert sand can not only participate in alkali activation reaction but also promote gel transformation. However, at present, the specific response degree of desert sand under alkali activation is still relatively vague, and more microscopic methods are needed for in-depth research.
- (7)
- This study can provide a theoretical basis for promoting the application of alkali activation materials in areas with abundant desert sand resources, but whether the regional characteristics of desert sand, the system composition of precursor materials, and the selection of alkali activators will have an impact on the alkali activation reaction of desert sand remains to be explored. In addition, there is no research on durability in this paper, so the variation in the material’s properties in extreme environments is not clear.
Author Contributions
Funding
Institutional Review Board Statement
Informed Consent Statement
Data Availability Statement
Conflicts of Interest
References
- Tayebani, B.; Said, A.; Memari, A. Less carbon producing sustainable concrete from environmental and performance perspectives: A review. Constr. Build. Mater. 2023, 404, 133234. [Google Scholar] [CrossRef]
- Luukkonen, T.; Abdollahnejad, Z.; Yliniemi, J.; Kinnunen, P.; Illikainen, M. One-part alkali-activated materials: A review. Cem. Concr. Res. 2018, 103, 21–34. [Google Scholar] [CrossRef]
- Zhang, M.; Zhu, X.; Shi, J.; Liu, B.; He, Z.; Liang, C. Utilization of desert sand in the production of sustainable cementitious materials: A critical review. Constr. Build. Mater. 2023, 327, 127014. [Google Scholar] [CrossRef]
- Zhao, J.; Trindade, A.C.C.; Liebscher, M.; Silva, F.d.A.; Mechtcherine, V. A review of the role of elevated temperatures on the mechanical properties of fiber-reinforced geopolymer (FRG) composites. Cem. Concr. Compos. 2022, 137, 104885. [Google Scholar] [CrossRef]
- Provis, J.L. Geopolymers and other alkali activated materials: Why, how, and what? Mater. Struct. 2014, 47, 11–25. [Google Scholar] [CrossRef]
- Shi, C.; Roy, D. Alkali-Activated Cements and Concretes; CRC Press: Boca Raton, FL, USA, 2006. [Google Scholar]
- Thomas, R.; Lezama, D.; Peethamparan, S. On drying shrinkage in alkali-activated concrete: Improving dimensional stability by aging or heat-curing. Cem. Concr. Res. 2017, 91, 13–23. [Google Scholar] [CrossRef]
- Liu, S.; Hao, H.; Hao, Y.; Li, J. Mechanical properties of alkali-activated concrete exposed to cryogenic temperature. Cem. Concr. Compos. 2023, 141, 105112. [Google Scholar] [CrossRef]
- Sinha, A.K.; Talukdar, S. Mechanical and bond behaviour of high volume Ultrafine-slag blended fly ash based alkali activated concrete. Constr. Build. Mater. 2023, 383, 131368. [Google Scholar] [CrossRef]
- Tu, W.; Zhang, M. Behaviour of alkali-activated concrete at elevated temperatures: A critical review. Cem. Concr. Compos. 2023, 138, 104961. [Google Scholar] [CrossRef]
- Pan, Z.; Tao, Z.; Cao, Y.; Wuhrer, R.; Murphy, T. Compressive strength and microstructure of alkali-activated fly ash/slag binders at high temperature. Cem. Concr. Compos. 2018, 86, 9–18. [Google Scholar] [CrossRef]
- Liu, Q.-F.; Cai, Y.; Peng, H.; Meng, Z.; Mundra, S.; Castel, A. A numerical study on chloride transport in alkali-activated fly ash/slag concretes. Cem. Concr. Res. 2023, 166, 107094. [Google Scholar] [CrossRef]
- Aiken, T.A.; Sha, W.; Kwasny, J.; Soutsos, M.N. Resistance of geopolymer and Portland cement based systems to silage effluent attack. Cem. Concr. Res. 2017, 92, 56–65. [Google Scholar] [CrossRef]
- Ariyadasa, P.W.; Manalo, A.C.; Lokuge, W.; Aravienthan, V.; Gerdes, A.; Kaltenbach, J. Degradation mechanisms of low-calcium fly ash-based geopolymer mortar in simulated aggressive sewer conditions. Cem. Concr. Res. 2025, 194, 107882. [Google Scholar] [CrossRef]
- Goudarzi, M.; Moodi, F.; Hajimohammadi, A.; Ramezanianpour, A.M. Evaluating the risk of ASR in alkali-activated slag-calcined clay materials. Constr. Build. Mater. 2025, 482, 141710. [Google Scholar] [CrossRef]
- Jiao, Z.; Zhang, S.; Wang, Y.; Dong, Z.; Lu, Z. Influence of fly ash content on pore structure regulation in alkali-activated slag under alkaline conditions. Constr. Build. Mater. 2025, 485, 141863. [Google Scholar] [CrossRef]
- Min, Y.; Burris, L.E. The dissolution of fly ashes in undersaturated alkaline solutions. Cem. Concr. Res. 2025, 197, 107967. [Google Scholar] [CrossRef]
- Mishra, S.; Rajabipour, F.; Olek, J.; Peethamparan, S. Characterizing the mechanisms and alkali-silica reaction behavior of novel and non-traditional alkali-activated materials. Cem. Concr. Res. 2025, 195, 107914. [Google Scholar] [CrossRef]
- Niu, X.; Elakneswaran, Y.; Li, A.; Seralathan, S.; Kikuchi, R.; Hiraki, Y.; Sato, J.; Osugi, T.; Walkley, B. Incorporation of boron into metakaolin-based geopolymers for radionuclide immobilisation and neutron capture potential. Cem. Concr. Res. 2025, 190, 107814. [Google Scholar] [CrossRef]
- Rudić, O.; Grengg, C.; Seyrek, Y.; Steindl, F.; Müller, B.; Zögl, I.; Wohlmuth, D.; Ukrainczyk, N.; Mittermayr, F. Drying shrinkage and carbonation of steel slag-metakaolin alkali-activated composites: Effect of vegetable oil addition and slag aggregates. Cem. Concr. Res. 2025, 189, 107764. [Google Scholar] [CrossRef]
- Wen, N.; Yu, Z.; Hallet, V.; Peys, A.; Sakellariou, D.; Pontikes, Y. Degradation of alkali-activated Fe-rich slag in acetic acid. Cem. Concr. Res. 2025, 187, 107715. [Google Scholar] [CrossRef]
- Yu, Z.; Douvalis, A.P.; de Oliveira-Silva, R.; Shu, Q.; Pontikes, Y.; Sakellariou, D. Unravelling the role of iron oxidation states in alkali-activated slags: A multinuclear solid-state NMR study on polymerization and structural evolution. Cem. Concr. Res. 2025, 195, 107897. [Google Scholar] [CrossRef]
- Zhang, X.; Tan, Y.; Liu, Z.; Wang, F.; Hu, S. Kinetics and mechanism of ground granulated blast furnace slag alkali-activated material activated by red mud and calcium carbide slag. Constr. Build. Mater. 2025, 489, 142328. [Google Scholar] [CrossRef]
- Wang, W.; Noguchi, T.; Maruyama, I. Mechanism understanding of alkali-silica reaction in alkali-activated materials system. Cem. Concr. Res. 2022, 156, 106768. [Google Scholar] [CrossRef]
- Li, Z.; Thomas, R.J.; Peethamparan, S. Alkali-silica reactivity of alkali-activated concrete subjected to ASTM C 1293 and 1567 alkali-silica reactivity tests. Cem. Concr. Res. 2019, 123, 105796. [Google Scholar] [CrossRef]
- Mobili, A.; Belli, A.; Giosuè, C.; Bellezze, T.; Tittarelli, F. Metakaolin and fly ash alkali-activated mortars compared with cementitious mortars at the same strength class. Cem. Concr. Res. 2016, 88, 198–210. [Google Scholar] [CrossRef]
- Helmy, A. Intermittent curing of fly ash geopolymer mortar. Constr. Build. Mater 2016, 110, 54–64. [Google Scholar] [CrossRef]
- Williamson, T.; Juenger, M.C. The role of activating solution concentration on alkali–silica reaction in alkali-activated fly ash concrete. Cem. Concr. Res. 2016, 83, 124–130. [Google Scholar] [CrossRef]
- Duxson, P.; Provis, J.L.; Lukey, G.C.; Van Deventer, J.S.J. The role of inorganic polymer technology in the development of ‘green concrete’. Cem. Concr. Res. 2007, 37, 1590–1597. [Google Scholar] [CrossRef]
- Provis, J.L. Alkali-activated materials. Cem. Concr. Res. 2018, 114, 40–48. [Google Scholar] [CrossRef]
- Zhang, S.; He, S.; Ghiassi, B.; van Breugel, K.; Ye, G. Interface bonding properties of polyvinyl alcohol (PVA) fiber in alkali-activated slag/fly ash. Cem. Concr. Res. 2023, 173, 107308. [Google Scholar] [CrossRef]
- Oh, J.E.; Moon, J.; Oh, S.G.; Clark, S.M.; Monteiro, P.J. Microstructural and compositional change of NaOH-activated high calcium fly ash by incorpo-rating Na-aluminate and co-existence of geopolymeric gel and C-S-H(I). Cem. Concr. Res. 2012, 42, 673–685. [Google Scholar] [CrossRef]
- Saptamongkol, A.; Sata, V.; Wongsa, A.; Kroehong, W.; Ekprasert, J.; Chindaprasirt, P. Hybrid geopolymer paste from high calcium fly ash and glass wool: Mechanical, microstructure, and sulfuric acid and magnesium sulfate resistance characteristics. J. Build. Eng. 2023, 76, 107245. [Google Scholar] [CrossRef]
- Longhi, M.A.; Rodríguez, E.D.; Bernal, S.A.; Provis, J.L.; Kirchheim, A.P. Binary alkali-activated systems obtained by the valorisation of calcined kaolin sludge and bottom ash. Adv. Cem. Res. 2021, 34, 67–79. [Google Scholar] [CrossRef]
- Silva, T.H.; Lara, L.F.; Silva, G.J.; Provis, J.L.; Bezerra, A.C. Alkali-activated materials produced using high-calcium, high-carbon biomass ash. Cem. Concr. Compos. 2022, 132, 104646. [Google Scholar] [CrossRef]
- Jiang, T.; Jin, Y. Phase Analysis of Alkali-Activated Slag Hybridized with Low-Calcium and High-Calcium Fly Ash. Sustainability 2022, 14, 3767. [Google Scholar] [CrossRef]
- Hanjitsuwan, S.; Phoo-Ngernkham, T.; Li, L.-Y.; Damrongwiriyanupap, N.; Chindaprasirt, P. Strength development and durability of alkali-activated fly ash mortar with calcium carbide residue as additive. Constr. Build. Mater. 2018, 162, 714–723. [Google Scholar] [CrossRef]
- Jang, J.; Lee, N.; Lee, H. Fresh and hardened properties of alkali-activated fly ash/slag pastes with superplasticizers. Constr. Build. Mater. 2014, 50, 169–176. [Google Scholar] [CrossRef]
- Chindaprasirt, P.; Sriopas, B.; Phosri, P.; Yoddumrong, P.; Anantakarn, K.; Kroehong, W. Hybrid high calcium fly ash alkali-activated repair material for concrete exposed to sulfate environment. J. Build. Eng. 2021, 45, 103590. [Google Scholar] [CrossRef]
- Huseien, G.F.; Tahir, M.M.; Mirza, J.; Ismail, M.; Shah, K.W.; Asaad, M.A. Effects of POFA replaced with FA on durability properties of GBFS included alkali activated mortars. Constr. Build. Mater. 2018, 175, 174–186. [Google Scholar] [CrossRef]
- Keulen, A.; Yu, Q.; Zhang, S.; Grünewald, S. Effect of admixture on the pore structure refinement and enhanced performance of alkali-activated fly ash-slag concrete. Constr. Build. Mater. 2018, 162, 27–36. [Google Scholar] [CrossRef]
- Liu, H.; Li, Q.; Wang, P. Assessment of the engineering properties and economic advantage of recycled aggregate concrete developed from waste clay bricks and coconut shells. J. Build. Eng. 2023, 68, 106071. [Google Scholar] [CrossRef]
- Liao, T.C.; Huang, X.; Yuan, J.; Ren, S.Q.; Cai, H.; Chen, X. Effects of Desert Sand Substitution on Concrete Properties Using Desert Sand-Doped Artificial Sand as the Fine Aggregate. Ceram-Silik 2022, 66, 540–554. [Google Scholar] [CrossRef]
- Shi, Z. Green manufacturing of silicate materials using desert sand as a raw-material resource. Constr. Build. Mater. 2022, 338, 127539. [Google Scholar] [CrossRef]
- Mohamed, A.-M.O.; El Gamal, M. Hydro-mechanical behavior of a newly developed sulfur polymer concrete. Cem. Concr. Compos. 2009, 31, 186–194. [Google Scholar] [CrossRef]
- Revilla-Cuesta, V.; Skaf, M.; Faleschini, F.; Manso, J.M.; Ortega-López, V. Self-compacting concrete manufactured with recycled concrete aggregate: An overview. J. Clean. Prod. 2020, 262, 121362. [Google Scholar] [CrossRef]
- Wang, L.; Xiao, W.; Wang, Q.; Jiang, H.; Ma, G. Freeze-thaw resistance of 3D-printed composites with desert sand. Cem. Concr. Compos. 2022, 133, 104693. [Google Scholar] [CrossRef]
- Dong, W.; Shen, X.-D.; Xue, H.-J.; He, J.; Liu, Y. Research on the freeze-thaw cyclic test and damage model of Aeolian sand lightweight aggregate concrete. Constr. Build. Mater. 2016, 123, 792–799. [Google Scholar] [CrossRef]
- Shen, Y.; Peng, C.; Hao, J.; Bai, Z.; Li, Y.; Yang, B. High temperature resistance of desert sand concrete: Strength change and intrinsic mechanism. Constr. Build. Mater. 2022, 327, 126948. [Google Scholar] [CrossRef]
- Qu, G.; Zheng, M.; Zhang, W.; Jing, H.; Ou, Z. Preparation and acceleration mechanism of a ternary hardening accelerator for high-performance concrete with full aeolian sand. Constr. Build. Mater. 2023, 369, 130629. [Google Scholar] [CrossRef]
- Li, S.; Jensen, O.M.; Wang, Z.; Yu, Q. Influence of micromechanical property on the rate-dependent flexural strength of ultra-high performance concrete containing coarse aggregates (UHPC-CA). Compos. Part B Eng. 2021, 227, 109394. [Google Scholar] [CrossRef]
- Chu, H.; Wang, F.; Wang, L.; Feng, T.; Wang, D. Mechanical Properties and Environmental Evaluation of Ultra-High-Performance Concrete with Aeolian Sand. Materials 2020, 13, 3148. [Google Scholar] [CrossRef] [PubMed]
- Zhang, W.; Zheng, M.; Zhu, L.; Lv, Y. Mix design and characteristics evaluation of high-performance concrete with full aeolian sand based on the packing density theory. Constr. Build. Mater. 2022, 349, 128814. [Google Scholar] [CrossRef]
- Peng, D.; Wang, Y.; Liu, X.; Tang, B.; Zhang, N. Preparation, characterization, and application of an eco-friendly sand-fixing material largely utilizing coal-based solid waste. J. Hazard. Mater. 2019, 373, 294–302. [Google Scholar] [CrossRef] [PubMed]
- El-Hassan, H.; Ismail, N. Effect of process parameters on the performance of fly ash/GGBS blended geopolymer composites. J. Sustain. Cem. Mater. 2017, 7, 122–140. [Google Scholar] [CrossRef]
- Chokkalingam, P.; El-Hassan, H.; El-Dieb, A.; El-Mir, A. Multi-response optimization of ceramic waste geopolymer concrete using BWM and TOPSIS-based taguchi methods. J. Mater. Res. Technol. 2022, 21, 4824–4845. [Google Scholar] [CrossRef]
- Chuah, S.; Duan, W.; Pan, Z.; Hunter, E.; Korayem, A.; Zhao, X.; Collins, F.; Sanjayan, J. The properties of fly ash based geopolymer mortars made with dune sand. Mater. Des. 2016, 92, 571–578. [Google Scholar] [CrossRef]
- El-Mir, A.; El-Hassan, H.; El-Dieb, A.; Alsallamin, A. Development and Optimization of Geopolymers Made with Desert Dune Sand and Blast Furnace Slag. Sustainability 2022, 14, 7845. [Google Scholar] [CrossRef]
- Xia, D.; Chen, R.; Cheng, J.; Tang, Y.; Xiao, C.; Li, Z. Desert sand-high calcium fly ash-based alkali-activated mortar: Flowability, mechanical proper-ties, and microscopic analysis. Constr. Build. Mater 2023, 398, 131729. [Google Scholar] [CrossRef]
- GB/T 2419-2005; Test Method for Fluidity of Cement Mortar. National Standards of People’s Republic of China: Beijing, China, 2005.
- GB/T 17671-2021; Test Method of Cement Mortar Strength. National Standards of People’s Republic of China: Beijing, China, 2021.
- JGJ/T 70-2009; Test Method for Basic Properties Building Mortar. National Standards of People’s Republic of China: Beijing, China, 2009.
- Al-Harthy, A.; Halim, M.A.; Taha, R.; Al-Jabri, K. The properties of concrete made with fine dune sand. Constr. Build. Mater. 2007, 21, 1803–1808. [Google Scholar] [CrossRef]
- Ahmad, J.; Majdi, A.; Deifalla, A.F.; Qureshi, H.J.; Saleem, M.U.; Qaidi, S.M.A.; El-Shorbagy, M.A. Concrete Made with Dune Sand: Overview of Fresh, Mechanical and Durability Properties. Materials 2022, 15, 6152. [Google Scholar] [CrossRef] [PubMed]
- Luo, F.J.; He, L.; Pan, Z.; Duan, W.H.; Zhao, X.L.; Collins, F. Effect of very fine particles on workability and strength of concrete made with dune sand. Constr. Build. Mater. 2013, 47, 131–137. [Google Scholar] [CrossRef]
- Li, Y.; Zhang, H.; Liu, G.; Hu, D.; Ma, X. Multi-scale study on mechanical property and strength prediction of aeolian sand concrete. Constr. Build. Mater. 2020, 247, 118538. [Google Scholar] [CrossRef]
- Jiang, J.; Feng, T.; Chu, H.; Wu, Y.; Wang, F.; Zhou, W.; Wang, Z. Quasi-static and dynamic mechanical properties of eco-friendly ultra-high-performance concrete containing aeolian sand. Cem. Concr. Compos. 2019, 97, 369–378. [Google Scholar] [CrossRef]
- Li, G.; Shen, X.; Yuan, Q.; Zou, Y.; Xiong, L. Study on the Activity of Aeolian Sand Powder and Alkali Excitation Modification. JOM 2019, 71, 984–994. [Google Scholar] [CrossRef]
- Guettala, S.; Mezghiche, B. Compressive strength and hydration with age of cement pastes containing dune sand powder. Constr. Build. Mater. 2011, 25, 1263–1269. [Google Scholar] [CrossRef]
- Li, Y.; Zhang, H.; Liu, X.; Liu, G.; Hu, D.; Meng, X.; Chehab, G. Time-Varying Compressive Strength Model of Aeolian Sand Concrete considering the Harmful Pore Ratio Variation and Heterogeneous Nucleation Effect. Adv. Civ. Eng. 2019, 2019, 548563. [Google Scholar] [CrossRef]
- Yazıcı, H.; Yiğiter, H.; Karabulut, A.Ş.; Baradan, B. Utilization of fly ash and ground granulated blast furnace slag as an alternative silica source in reactive powder concrete. Fuel 2008, 87, 2401–2407. [Google Scholar] [CrossRef]
- Benabed, B.; Azzouz, L.; Kadri, E.-H.; Kenai, S.; Belaidi, A.S.E. Effect of fine aggregate replacement with desert dune sand on fresh properties and strength of self-compacting mortars. J. Adhes. Sci. Technol. 2014, 28, 2182–2195. [Google Scholar] [CrossRef]
- Lee, E.; Park, S.; Kim, Y. Drying shrinkage cracking of concrete using dune sand and crushed sand. Constr. Build. Mater. 2016, 126, 517–526. [Google Scholar] [CrossRef]
- Chen, W.; Xie, Y.; Li, B.; Li, B.; Wang, J.; Thom, N. Role of aggregate and fibre in strength and drying shrinkage of alkali-activated slag mortar. Constr. Build. Mater. 2021, 299, 124002. [Google Scholar] [CrossRef]
- Collins, F.; Sanjayan, J. Effect of pore size distribution on drying shrinking of alkali-activated slag concrete. Cem. Concr. Res. 2000, 30, 1401–1406. [Google Scholar] [CrossRef]
- Neto, A.A.M.; Cincotto, M.A.; Repette, W. Drying and autogenous shrinkage of pastes and mortars with activated slag cement. Cem. Concr. Res. 2008, 38, 565–574. [Google Scholar] [CrossRef]
- Zheng, W.; Zou, M.; Wang, Y. Literature review of alkali-activated cementitious materials. J. Build. Struct 2019, 40, 28–39. [Google Scholar]
- Liu, H.; Chen, X.; Che, J.; Liu, N.; Zhang, M. Mechanical Performances of Concrete Produced with Desert Sand After Elevated Temper-ature. Int. J. Concr. Struct. Mater 2020, 14, 15. [Google Scholar] [CrossRef]
- Garcia-Lodeiro, I.; Palomo, A.; Fernández-Jiménez, A.; Macphee, D. Compatibility studies between N-A-S-H and C-A-S-H gels. Study in the ternary diagram Na2O–CaO–Al2O3–SiO2–H2O. Cem. Concr. Res. 2011, 41, 923–931. [Google Scholar] [CrossRef]
- Hojati, M.; Radlińska, A. Shrinkage and strength development of alkali-activated fly ash-slag binary cements. Constr. Build. Mater. 2017, 150, 808–816. [Google Scholar] [CrossRef]
- Shi, X.; Zhang, C.; Wang, X.; Zhang, T.; Wang, Q. Response surface methodology for multi-objective optimization of fly ash-GGBS based geopolymer mortar. Constr. Build. Mater. 2021, 315, 25644. [Google Scholar] [CrossRef]
- Uğurlu, A.İ.; Karakoç, M.B.; Özcan, A. Effect of binder content and recycled concrete aggregate on freeze-thaw and sulfate resistance of GGBFS based geopolymer concretes. Constr. Build. Mater. 2021, 301, 124246. [Google Scholar] [CrossRef]
- Meng, W.N.; Khayat, K.H. Effect of graphite nanoplatelets and carbon nanofibers on rheology, hydration, shrinkage, mechan-ical properties, and microstructure of UHPC. Cem. Concr. Res 2018, 105, 64–71. [Google Scholar] [CrossRef]
- Sindhunata; van Deventer, J.S.J.; Lukey, G.C.; Xu, H. Effect of Curing Temperature and Silicate Concentration on Fly-Ash-Based Geopolymerization. Ind. Eng. Chem. Res. 2006, 45, 3559–3568. [Google Scholar] [CrossRef]



















| Sands | Bulk Density (kg/m3) | Apparent Density (kg/m3) | Fineness Modulus | Specific Surface Area (m2/g) | Clay Content (%) |
|---|---|---|---|---|---|
| DS | 1513 | 2655 | 0.7 | 0.0450 | 2.38 |
| RS | 1596 | 2685 | 2.2 | 0.0095 | 2.47 |
| Materials | Chemical Composition (%) | ||||||||||
|---|---|---|---|---|---|---|---|---|---|---|---|
| SiO2 | Al2O3 | CaO | Fe2O3 | SO3 | MgO | K2O | Na2O | MnO | TiO2 | Others | |
| HCFA | 45.68 | 16.72 | 13.37 | 10.42 | 1.73 | 4.37 | 2.10 | 3.18 | 0.16 | 1.01 | 1.26 |
| GGBS | 30.92 | 8.82 | 45.73 | 0.49 | 2.56 | 6.96 | 0.60 | 0.96 | 0.62 | 1.64 | 0.72 |
| DS | 64.21 | 12.22 | 7.43 | 5.76 | 0.19 | 2.35 | 3.20 | 2.69 | 0.13 | 1.12 | 0.70 |
| RS | 69.97 | 12.68 | 2.85 | 4.80 | 0.13 | 1.63 | 3.58 | 3.32 | 0.09 | 0.61 | 0.34 |
| Samples | DSRR | Na2O/b | Alkali Activation Solution Modulus | Component (kg/m3) | ||||||
|---|---|---|---|---|---|---|---|---|---|---|
| FA | GGBS | DS | RS | Na2SiO3 | NaOH | Water | ||||
| DS-0% | 0% | 6% | 1.3 | 438.8 | 292.5 | 0 | 1097.0 | 210.6 | 34.6 | 118.9 |
| DS-10% | 10% | 6% | 1.3 | 438.8 | 292.5 | 109.7 | 987.3 | 210.6 | 34.6 | 118.9 |
| DS-20% | 20% | 6% | 1.3 | 438.8 | 292.5 | 219.4 | 877.6 | 210.6 | 34.6 | 118.9 |
| DS-30% | 30% | 6% | 1.3 | 438.8 | 292.5 | 329.1 | 767.9 | 210.6 | 34.6 | 118.9 |
| DS-40% | 40% | 6% | 1.3 | 438.8 | 292.5 | 438.8 | 658.2 | 210.6 | 34.6 | 118.9 |
| DS-50% | 50% | 6% | 1.3 | 438.8 | 292.5 | 548.5 | 548.5 | 210.6 | 34.6 | 118.9 |
| DS-60% | 60% | 6% | 1.3 | 438.8 | 292.5 | 658.2 | 438.8 | 210.6 | 34.6 | 118.9 |
| DS-80% | 80% | 6% | 1.3 | 438.8 | 292.5 | 877.6 | 219.4 | 210.6 | 34.6 | 118.9 |
| DS-100% | 100% | 6% | 1.3 | 438.8 | 292.5 | 1097.0 | 0 | 210.6 | 34.6 | 118.9 |
| Samples | Fluidity/mm | Compressive Strength/MPa | Flexural Strength/MPa | Elastic Modulus/GPa | ||||
|---|---|---|---|---|---|---|---|---|
| 7d | 14d | 28d | 7d | 14d | 28d | |||
| DS-0% | 256.0 | 51.48 (1.49) | 60.81 (3.61) | 72.84 (4.62) | 4.35 (0.06) | 5.01 (0.50) | 5.21 (0.28) | 19.98 |
| DS-10% | 261.0 | 47.00 (1.83) | 57.72 (3.41) | 61.52 (2.51) | 4.51 (0.17) | 5.47 (0.15) | 5.50 (0.37) | 19.55 |
| DS-20% | 260.0 | 51.53 (3.53) | 58.60 (2.01) | 62.67 (6.03) | 4.34 (0.07) | 5.23 (0.29) | 5.35 (0.25) | 17.15 |
| DS-30% | 243.5 | 45.59 (1.92) | 58.04 (0.69) | 63.08 (5.52) | 4.42 (0.08) | 5.51 (0.36) | 5.62 (0.77) | 16.82 |
| DS-40% | 231.0 | 45.53 (2.28) | 59.07 (5.28) | 63.51 (1.21) | 4.58 (0.42) | 5.10 (0.12) | 5.26 (0.07) | 15.07 |
| DS-50% | 225.0 | 49.45 (2.45) | 57.67 (1.05) | 63.80 (4.96) | 4.51 (0.15) | 5.17 (0.45) | 5.20 (0.65) | 17.47 |
| DS-60% | 217.0 | 54.54 (3.21) | 58.68 (2.87) | 64.19 (4.19) | 4.46 (0.12) | 5.01 (0.28) | 5.13 (0.15) | 18.29 |
| DS-80% | 194.0 | 52.77 (2.10) | 60.65 (2.47) | 66.90 (3.54) | 3.11 (0.04) | 5.43 (0.20) | 5.95 (0.20) | 18.28 |
| DS-100% | 167.5 | 56.20 (3.42) | 63.30 (0.94) | 76.45 (2.24) | 3.69 (0.60) | 3.56 (0.16) | 4.60 (0.23) | 19.71 |
| Property | Specimen Size | 28-Day Compressive Strength /MPa | Porosity % |
|---|---|---|---|
| this paper | 40 × 40 × 40 mm3 | 76.45 | 6.8 |
| [32] | ϕ2.54 cm × 2.54 cm | >30 | - |
| [33] | 50 × 50 × 50 mm3 | >70 | 16.28 |
| [37] | 50 × 50 × 50 mm3 | 45.8 | - |
| [38] | 50 × 50 × 50 mm3 | 60 | - |
| [39] | 50 × 50 × 50 mm3 | 48.8 | - |
| [40] | 50 × 50 × 50 mm3 | 80.43 | 13.3 |
| [41] | 40 × 40 × 160 mm3 | >40 | >25 |
| Element Share | O | Na | Al | Si | Ca | Fe | Ca/Si | Na/Si | Al/Si | |
|---|---|---|---|---|---|---|---|---|---|---|
| wt% | wt% | wt% | wt% | wt% | wt% | |||||
| DSRR | Spectrum74 | 46.09 | 14.62 | 3.54 | 10.76 | 12.63 | 1.58 | 0.85 | 1.16 | 0.28 |
| Spectrum101 | 34.96 | 5.42 | 6.99 | 17.65 | 22.09 | 1.58 | 0.80 | 0.25 | 0.32 | |
| Spectrum150 | 40.81 | 15.96 | 3.23 | 14.72 | 11.39 | 0.47 | 1.29 | 1.40 | 0.28 | |
Disclaimer/Publisher’s Note: The statements, opinions and data contained in all publications are solely those of the individual author(s) and contributor(s) and not of MDPI and/or the editor(s). MDPI and/or the editor(s) disclaim responsibility for any injury to people or property resulting from any ideas, methods, instructions or products referred to in the content. |
© 2025 by the authors. Licensee MDPI, Basel, Switzerland. This article is an open access article distributed under the terms and conditions of the Creative Commons Attribution (CC BY) license (https://creativecommons.org/licenses/by/4.0/).
Share and Cite
Wang, W.; Li, D.; Xia, D.; Chen, R.; Cheng, J. Desert Sand in Alkali-Activated Fly Ash–Slag Mortar: Fluidity, Mechanical Properties, and Microstructure. Materials 2025, 18, 3410. https://doi.org/10.3390/ma18143410
Wang W, Li D, Xia D, Chen R, Cheng J. Desert Sand in Alkali-Activated Fly Ash–Slag Mortar: Fluidity, Mechanical Properties, and Microstructure. Materials. 2025; 18(14):3410. https://doi.org/10.3390/ma18143410
Chicago/Turabian StyleWang, Wei, Di Li, Duotian Xia, Ruilin Chen, and Jianjun Cheng. 2025. "Desert Sand in Alkali-Activated Fly Ash–Slag Mortar: Fluidity, Mechanical Properties, and Microstructure" Materials 18, no. 14: 3410. https://doi.org/10.3390/ma18143410
APA StyleWang, W., Li, D., Xia, D., Chen, R., & Cheng, J. (2025). Desert Sand in Alkali-Activated Fly Ash–Slag Mortar: Fluidity, Mechanical Properties, and Microstructure. Materials, 18(14), 3410. https://doi.org/10.3390/ma18143410

