Optimising β-Ti21S Alloy Lattice Structures for Enhanced Femoral Implants: A Study on Mechanical and Biological Performance
Abstract
1. Introduction
2. Materials and Methods
2.1. Specimen Design and Preparation
2.1.1. FGPS Specimens
2.1.2. Single Density Specimens
2.2. Metrological Characterization
2.3. Microstructural and Mechanical Characterizations
2.4. Biological Assessment
2.4.1. Cytotoxicity Assessment
2.4.2. Cell Viability and Morphology
2.4.3. Statistical Analysis
3. Results
3.1. 3D Metrological Characteristics
3.2. Microstructural and Mechanical Characterizations
3.3. Biological Assessment
3.3.1. Cytotoxicity
3.3.2. Cell Viability
4. Discussion
4.1. Three-Dimensional Metrological Characteristics
4.2. Microstructural and Mechanical Characterisations
4.3. Biological Assessment
5. Conclusions
- Micro-CT scan analysis highlights the worst printability of TPMS 1.5, with an under sizing of the pore size around 30%, and a good correlation between CAD and as-manufactured samples in the case of TPMS 2.5, AUX 3.5, and AUX 2.5 with a maximum under-sizing of around 18%, considering all three relative density levels.
- The elastic modulus of all four lattice structures, under both single and functionally graded porous structures (FGPS) conditions, closely approximates that of human bone. Specifically, the single and FGPS TPMS structures exhibit stiffness within the range of cortical bone, while the single density and FGPS auxetic re-entrant bow-tie structures display values akin to cancellous bone. Notably, the AUX 3.5 stands out with the lowest elastic modulus, coupled with yield stress deemed insufficient for withstanding biomechanical loads. When comparing single density with FGPS mechanical responses, the dominance of less stiff levels in the structures’ mechanical behaviour is evident. An enhancement in strength, resulting in an increase in elastic modulus, is achieved by incorporating a porosity gradient within the TPMS geometries. However, this improvement is not observed in auxetic re-entrant bow-tie structures, where the same low-yielding stress is obtained with or without the porosity gradient. Additionally, a slight increase in the elastic modulus is noted, attributed to the excessively high compliance of the selected auxetic re-entrant bow-tie structures.
- The TPMS 1.5 exhibits the lowest maximum fatigue resistance, reaching 107 cycles with a notable scatter deviation (33.9 ± 34.2 MPa), in contrast to the TPMS 2.5 (42.8 ± 6.1 MPa). This disparity is attributed to the TPMS 1.5’s challenging printability, leading to a higher incidence of defects within the structure. The pronounced difference is further highlighted when considering the normalised fatigue resistance, where the TPMS 1.5 registers a value of 0.3 at 107 cycles compared to the TPMS 2.5, which is closer to 0.4. This emphasises the impact of printability issues on structural integrity and fatigue performance, particularly evident in the higher defect prevalence within the TPMS 1.5.
- Even with a high normalised fatigue resistance at 107 cycles, the extremely low fatigue of 1.5 MPa renders the AUX 3.5 unsuitable for use in femoral implants, despite its low stiffness approaching that of cancellous bone (0.08 GPa). In contrast, the AUX 2.5 demonstrates a maximum compression fatigue resistance of approximately 5 MPa at 107 cycles and an elastic modulus close to 1 GPa comparable with the mechanical response of the cancellous bone. This positions the AUX 2.5 as a favourable choice for reducing stiffness while maintaining strength levels aligned with those of human bone.
- The release of LDH from MRC-5 fibroblast cells, measured after 24 and 48 h of exposure to sample extractions, remained within the non-toxic range. This indicates that additively manufactured β-Ti21S samples featuring auxetic re-entrant bow-tie and TPMS lattice structures are non-toxic to human cells.
- Confocal microscopy analysis revealed robust cell adhesion and spreading across all samples. On the initial day, TPMS samples displayed a more elongated cytoskeleton compared to auxetic re-entrant bow-tie structures. By day 7, all samples exhibited complete coverage by cells, with well-spread cellular morphology indicating favourable cell–surface interaction and proliferation.
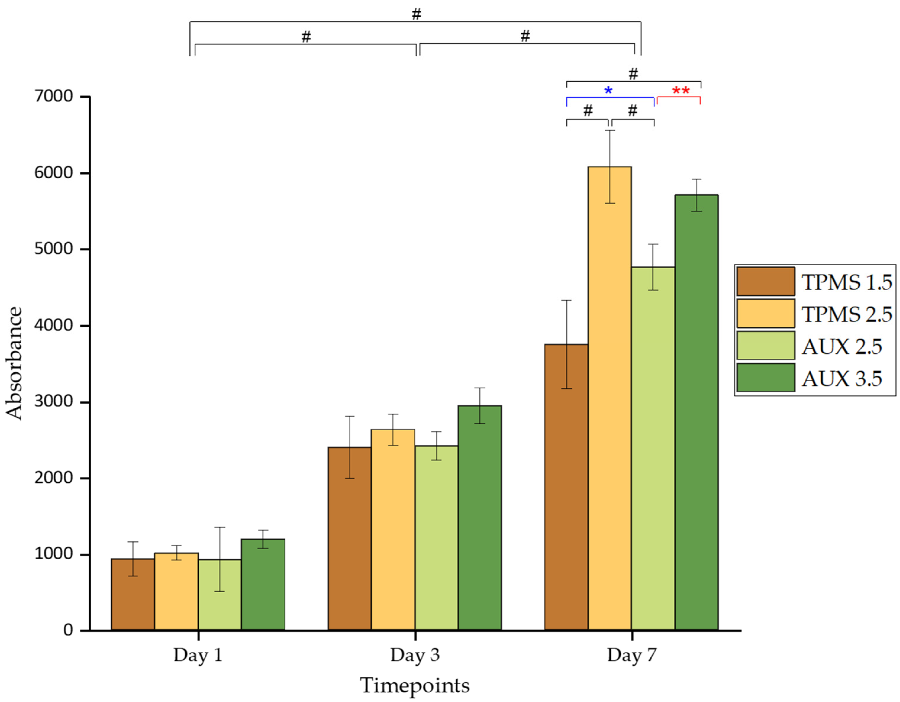
- Alamar Blue assay revealed a consistent upward trend in metabolic activity from Day 1 to Day 7, aligned with cell morphology findings. The majority of samples demonstrated an approximately five-fold increase in metabolic activity after 7 days, with the notable exception of TPMS 1.5, which exhibited a less than four-fold increase compared to the initial day. This difference can be attributed to TPMS 1.5’s smaller pore size range in comparison to the other samples, as well as a notable deviation between the real and designed pore size. This outcome is likely the result of pore size under-sizing and diminishing interconnectivity between pores in TPMS 1.5 due to the poor printability and less accurate manufacturing of specimens. Given the critical importance of efficient fluid permeability for cell viability, TPMS 1.5 did not demonstrate this factor as effectively as the other samples.
- Compared to the AUX samples, TPMS 2.5 exhibited higher metabolic activity in the AlamarBlue assay. This can be attributed to its continuous, large surface area, and favourable curvature that closely mimics trabecular bone. These features create an optimal environment for cells to adhere, grow, and migrate effectively.
Author Contributions
Funding
Institutional Review Board Statement
Informed Consent Statement
Data Availability Statement
Acknowledgments
Conflicts of Interest
References
- Festas, A.J.; Ramos, A.; Davim, J.P. Medical devices biomaterials—A review. Proc. Inst. Mech. Eng. Part L J. Mater. Des. Appl. 2020, 234, 218–228. [Google Scholar] [CrossRef]
- Sarraf, M.; Ghomi, E.R.; Alipour, S.; Ramakrishna, S.; Sukiman, N.L. A state-of-the-art review of the fabrication and characteristics of titanium and its alloys for biomedical applications. Bio-Des. Manuf. 2022, 5, 371–395. [Google Scholar] [CrossRef]
- Tyagi, S.A.; Manjaiah, M. Additive manufacturing of titanium-based lattice structures for medical applications—A review. Bioprinting 2023, 30, e00267. [Google Scholar] [CrossRef]
- Wang, X.; Xu, S.; Zhou, S.; Xu, W.; Leary, M.; Choong, P.; Qian, M.; Brandt, M.; Xie, Y.M. Topological design and additive manufacturing of porous metals for bone scaffolds and orthopaedic implants: A review. Biomaterials 2016, 83, 127–141. [Google Scholar] [CrossRef] [PubMed]
- Gepreel, M.A.-H.; Niinomi, M. Biocompatibility of Ti-alloys for long-term implantation. J. Mech. Behav. Biomed. Mater. 2013, 20, 407–415. [Google Scholar] [CrossRef] [PubMed]
- Kumar, A.; Nune, K.C.; Misra, R.D.K. Biological functionality and mechanistic contribution of extracellular matrix-ornamented three dimensional Ti-6Al-4V mesh scaffolds. J. Biomed. Mater. Res. Part A 2016, 104, 2751–2763. [Google Scholar] [CrossRef] [PubMed]
- Geetha, M.; Singh, A.K.; Asokamani, R.; Gogia, A.K. Ti based biomaterials, the ultimate choice for orthopaedic implants—A review. Prog. Mater. Sci. 2009, 54, 397–425. [Google Scholar] [CrossRef]
- Macias-Sifuentes, M.A.; Xu, C.; Sanchez-Mata, O.; Kwon, S.Y.; Atabay, S.E.; Muñiz-Lerma, J.A.; Brochu, M. Microstructure and mechanical properties of β-21S Ti alloy fabricated through laser powder bed fusion. Prog. Addit. Manuf. 2021, 6, 417–430. [Google Scholar] [CrossRef]
- Pellizzari, M.; Jam, A.; Tschon, M.; Fini, M.; Lora, C.; Benedetti, M. A 3D-printed ultra-low young’s modulus β-Ti alloy for biomedical applications. Materials 2020, 13, 2792. [Google Scholar] [CrossRef]
- Jam, A.; du Plessis, A.; Lora, C.; Raghavendra, S.; Pellizzari, M.; Benedetti, M. Manufacturability of lattice structures fabricated by laser powder bed fusion: A novel biomedical application of the beta Ti-21S alloy. Addit. Manuf. 2022, 50, 102556. [Google Scholar] [CrossRef]
- Koju, N.; Niraula, S.; Fotovvati, B. Additively Manufactured Porous Ti6Al4V for Bone Implants: A Review. Metals 2022, 12, 687. [Google Scholar] [CrossRef]
- Senopati, G.; Rashid, R.A.R.; Kartika, I.; Palanisamy, S. Recent Development of Low-Cost β-Ti Alloys for Biomedical Applications: A Review. Metals 2023, 13, 194. [Google Scholar] [CrossRef]
- Gibson, L.J.; Ashby, M.F.; Harley, B.A. Cellular Materials in Nature and Medicine; Cambridge University Press: Cambridge, UK, 2010; p. 309. [Google Scholar]
- Ashby, M.F. The properties of foams and lattices. Philos. Trans. R. Soc. A Math. Phys. Eng. Sci. 2006, 364, 15–30. [Google Scholar] [CrossRef] [PubMed]
- King, W.E.; Anderson, A.T.; Ferencz, R.M.; Hodge, N.E.; Kamath, C.; Khairallah, S.A.; Rubenchik, A.M. Laser powder bed fusion additive manufacturing of metals; physics, computational, and materials challenges. Appl. Phys. Rev. 2015, 2, 041304. [Google Scholar] [CrossRef]
- Tang, M.; Pistorius, P.C.; Beuth, J.L. Prediction of lack-of-fusion porosity for powder bed fusion. Addit. Manuf. 2017, 14, 39–48. [Google Scholar] [CrossRef]
- Alaña, M.; Cutolo, A.; Probst, G.; de Galarreta, S.R.; Van Hooreweder, B. Understanding elastic anisotropy in diamond based lattice structures produced by laser powder bed fusion: Effect of manufacturing deviations. Mater. Des. 2020, 195, 108971. [Google Scholar] [CrossRef]
- Emanuelli, L.; Jam, A.; du Plessis, A.; Lora, C.; De Biasi, R.; Benedetti, M.; Pellizzari, M. Manufacturability of functionally graded porous β-Ti21S auxetic architected biomaterials produced by laser powder bed fusion: Comparison between 2D and 3D metrological characterization. Int. J. Bioprinting 2023, 9, 728. [Google Scholar] [CrossRef]
- Dallago, M.; Raghavendra, S.; Luchin, V.; Zappini, G.; Pasini, D.; Benedetti, M. The role of node fillet, unit-cell size and strut orientation on the fatigue strength of Ti-6Al-4V lattice materials additively manufactured via laser powder bed fusion. Int. J. Fatigue 2021, 142, 105946. [Google Scholar] [CrossRef]
- Boniotti, L.; Beretta, S.; Patriarca, L.; Rigoni, L.; Foletti, S. Experimental and numerical investigation on compressive fatigue strength of lattice structures of AlSi7Mg manufactured by SLM. Int. J. Fatigue 2019, 128, 105181. [Google Scholar] [CrossRef]
- Murchio, S.; Dallago, M.; Zanini, F.; Carmignato, S.; Zappini, G.; Berto, F.; Maniglio, D.; Benedetti, M. Additively manufactured Ti–6Al–4V thin struts via laser powder bed fusion: Effect of building orientation on geometrical accuracy and mechanical properties. J. Mech. Behav. Biomed. Mater. 2021, 119, 104495. [Google Scholar] [CrossRef] [PubMed]
- Benedetti, M.; du Plessis, A.; Ritchie, R.O.; Dallago, M.; Razavi, S.M.J.; Berto, F. Architected cellular materials: A review on their mechanical properties towards fatigue-tolerant design and fabrication. Mater. Sci. Eng. R Rep. 2021, 144, 100606. [Google Scholar] [CrossRef]
- Deshpande, V.S.; Ashby, M.F.; Fleck, N.A. Foam topology: Bending versus stretching dominated architectures. Acta Mater. 2001, 49, 1035–1040. [Google Scholar] [CrossRef]
- Bai, L.; Gong, C.; Chen, X.; Zheng, J.; Xin, L.; Xiong, Y.; Wu, X.; Hu, M.; Li, K.; Sun, Y. Quasi-Static compressive responses and fatigue behaviour of Ti-6Al-4 V graded lattice structures fabricated by laser powder bed fusion. Mater. Des. 2021, 210, 110110. [Google Scholar] [CrossRef]
- Zadpoor, A.A. Mechanical performance of additively manufactured meta-biomaterials. Acta Biomater. 2019, 85, 41–59. [Google Scholar] [CrossRef]
- Kolken, H.M.A.; Janbaz, S.; Leeflang, S.M.A.; Lietaert, K.; Weinans, H.H.; Zadpoor, A.A. Rationally designed meta-implants: A combination of auxetic and conventional meta-biomaterials. Mater. Horiz. 2018, 5, 28–35. [Google Scholar] [CrossRef]
- Kolken, H.M.A.; Garcia, A.F.; du Plessis, A.; Rans, C.; Mirzaali, M.J.; Zadpoor, A.A. Fatigue performance of auxetic meta-biomaterials. Acta Biomater. 2021, 126, 511–523. [Google Scholar] [CrossRef] [PubMed]
- Kolken, H.M.A.; Lietaert, K.; van der Sloten, T.; Pouran, B.; Meynen, A.; Van Loock, G.; Weinans, H.; Scheys, L.; Zadpoor, A.A. Mechanical performance of auxetic meta-biomaterials. J. Mech. Behav. Biomed. Mater. 2020, 104, 103658. [Google Scholar] [CrossRef] [PubMed]
- Pei, X.; Wu, L.; Zhou, C.; Fan, H.; Gou, M.; Li, Z.; Zhang, B.; Lei, H.; Sun, H.; Liang, J.; et al. 3D printed titanium scaffolds with homogeneous diamond-like structures mimicking that of the osteocyte microenvironment and its bone regeneration study. Biofabrication 2020, 13, 015008. [Google Scholar] [CrossRef] [PubMed]
- Rumpler, M.; Woesz, A.; Dunlop, J.W.C.; Van Dongen, J.T.; Fratzl, P. The effect of geometry on three-dimensional tissue growth. J. R. Soc. Interface 2008, 5, 1173–1180. [Google Scholar] [CrossRef]
- Van Bael, S.; Chai, Y.C.; Truscello, S.; Moesen, M.; Kerckhofs, G.; Van Oosterwyck, H.; Kruth, J.P.; Schrooten, J. The effect of pore geometry on the in vitro biological behavior of human periosteum-derived cells seeded on selective laser-melted Ti6Al4V bone scaffolds. Acta Biomater. 2012, 8, 2824–2834. [Google Scholar] [CrossRef] [PubMed]
- Yuan, L.; Ding, S.; Wen, C. Additive manufacturing technology for porous metal implant applications and triple minimal surface structures: A review. Bioact. Mater. 2019, 4, 56–70. [Google Scholar] [CrossRef] [PubMed]
- Li, R.; Chen, H.; Zhu, H.; Wang, M.; Chen, C.; Yuan, T. Effect of aging treatment on the microstructure and mechanical properties of Al-3.02Mg-0.2Sc-0.1Zr alloy printed by selective laser melting. Mater. Des. 2019, 168, 107668. [Google Scholar] [CrossRef]
- Yang, L.; Yan, C.; Han, C.; Chen, P.; Yang, S.; Shi, Y. Mechanical response of a triply periodic minimal surface cellular structures manufactured by selective laser melting. Int. J. Mech. Sci. 2018, 148, 149–157. [Google Scholar] [CrossRef]
- Bidan, C.M.; Kommareddy, K.P.; Rumpler, M.; Kollmannsberger, P.; Fratzl, P.; Dunlop, J.W.C. Geometry as a Factor for Tissue Growth: Towards Shape Optimization of Tissue Engineering Scaffolds. Adv. Healthc. Mater. 2013, 2, 186–194. [Google Scholar] [CrossRef]
- Xu, Z.; Tvenning, T.; Wu, T.; Razavi, N. Evaluating quasi-static and fatigue performance of IN718 gyroid lattice structures fabricated via LPBF: Exploring relative densities. Int. J. Fatigue 2024, 178, 108028. [Google Scholar] [CrossRef]
- Kelly, C.N.; Francovich, J.; Julmi, S.; Safranski, D.; Guldberg, R.E.; Maier, H.J.; Gall, K. Fatigue behavior of As-built selective laser melted titanium scaffolds with sheet-based gyroid microarchitecture for bone tissue engineering. Acta Biomater. 2019, 94, 610–626. [Google Scholar] [CrossRef] [PubMed]
- Shi, J.; Zhu, L.; Li, L.; Li, Z.; Yang, J.; Wang, X. A TPMS-based method for modeling porous scaffolds for bionic bone tissue engineering. Sci. Rep. 2018, 8, 7395. [Google Scholar] [CrossRef] [PubMed]
- Mahmoud, D.; Elbestawi, M.A. Selective laser melting of porosity graded lattice structures for bone implants. Int. J. Adv. Manuf. Technol. 2019, 100, 2915–2927. [Google Scholar] [CrossRef]
- Zhao, S.; Li, S.J.; Wang, S.G.; Hou, W.T.; Li, Y.; Zhang, L.C.; Hao, Y.L.; Yang, R.; Misra, R.D.K.; Murr, L.E. Compressive and fatigue behavior of functionally graded Ti-6Al-4V meshes fabricated by electron beam melting. Acta Mater. 2018, 150, 1–15. [Google Scholar] [CrossRef]
- Surmeneva, M.A.; Surmenev, R.A.; Chudinova, E.A.; Koptioug, A.; Tkachev, M.S.; Gorodzha, S.N.; Rännar, L.E. Fabrication of multiple-layered gradient cellular metal scaffold via electron beam melting for segmental bone reconstruction. Mater. Des. 2017, 133, 195–204. [Google Scholar] [CrossRef]
- Yadroitsava, I.; du Plessis, A.; Yadroitsev, I. Bone regeneration on implants of titanium alloys produced by laser powder bed fusion: A review. In Titanium for Consumer Applications: Real World Use of Titanium; Elsevier: Amsterdam, The Netherlands, 2019; pp. 197–233. [Google Scholar] [CrossRef]
- Montoya-Zapata, D.; Acosta, D.A.; Cortés, C.; Pareja-Corcho, J.; Moreno, A.; Posada, J.; Ruiz-Salguero, O. Approximation of the mechanical response of large lattice domains using homogenization and design of experiments. Appl. Sci. 2020, 10, 3858. [Google Scholar] [CrossRef]
- Ouyang, P.; Dong, H.; He, X.; Cai, X.; Wang, Y.; Li, J.; Li, H.; Jin, Z. Hydromechanical mechanism behind the effect of pore size of porous titanium scaffolds on osteoblast response and bone ingrowth. Mater. Des. 2019, 183, 108151. [Google Scholar] [CrossRef]
- Ran, Q.; Yang, W.; Hu, Y.; Shen, X.; Yu, Y.; Xiang, Y.; Cai, K. Osteogenesis of 3D printed porous Ti6Al4V implants with different pore sizes. J. Mech. Behav. Biomed. Mater. 2018, 84, 1–11. [Google Scholar] [CrossRef]
- Zhang, Y.; Sun, N.; Zhu, M.; Qiu, Q.; Zhao, P.; Zheng, C.; Bai, Q.; Zeng, Q.; Lu, T. The contribution of pore size and porosity of 3D printed porous titanium scaffolds to osteogenesis. Biomater. Adv. 2022, 133, 112651. [Google Scholar] [CrossRef]
- Kapat, K.; Srivas, P.K.; Rameshbabu, A.P.; Maity, P.P.; Jana, S.; Dutta, J.; Majumdar, P.; Chakrabarti, D.; Dhara, S. Influence of Porosity and Pore-Size Distribution in Ti6Al4 v Foam on Physicomechanical Properties, Osteogenesis, and Quantitative Validation of Bone Ingrowth by Micro-Computed Tomography. ACS Appl. Mater. Interfaces 2017, 9, 39235–39248. [Google Scholar] [CrossRef] [PubMed]
- Chen, Z.; Yan, X.; Yin, S.; Liu, L.; Liu, X.; Zhao, G.; Ma, W.; Qi, W.; Ren, Z.; Liao, H.; et al. Influence of the pore size and porosity of selective laser melted Ti6Al4V ELI porous scaffold on cell proliferation, osteogenesis and bone ingrowth. Mater. Sci. Eng. C 2020, 106, 110289. [Google Scholar] [CrossRef] [PubMed]
- Bobyn, J.D.; Pilliar, R.M.; Cameron, H.U.; Weatherly, G.C. The optimum pore size for the fixation of porous surfaced metal implants by the ingrowth of bone. Clin. Orthop. Relat. Res. 1980, 150, 263–270. [Google Scholar] [CrossRef]
- Wang, Z.; Zhang, M.; Liu, Z.; Wang, Y.; Dong, W.; Zhao, S.; Sun, D. Biomimetic design strategy of complex porous structure based on 3D printing Ti-6Al-4V scaffolds for enhanced osseointegration. Mater. Des. 2022, 218, 110721. [Google Scholar] [CrossRef]
- Zheng, Y.; Han, Q.; Wang, J.; Li, D.; Song, Z.; Yu, J. Promotion of Osseointegration between Implant and Bone Interface by Titanium Alloy Porous Scaffolds Prepared by 3D Printing. ACS Biomater. Sci. Eng. 2020, 6, 5181–5190. [Google Scholar] [CrossRef]
- Taniguchi, N.; Fujibayashi, S.; Takemoto, M.; Sasaki, K.; Otsuki, B.; Nakamura, T.; Matsushita, T.; Kokubo, T.; Matsuda, S. Effect of pore size on bone ingrowth into porous titanium implants fabricated by additive manufacturing: An in vivo experiment. Mater. Sci. Eng. C 2016, 59, 690–701. [Google Scholar] [CrossRef]
- Kelly, C.N.; Wang, T.; Crowley, J.; Wills, D.; Pelletier, M.H.; Westrick, E.R.; Adams, S.B.; Gall, K.; Walsh, W.R. High-strength, porous additively manufactured implants with optimized mechanical osseointegration. Biomaterials 2021, 279, 121206. [Google Scholar] [CrossRef]
- Zhang, J.; Chen, X.; Sun, Y.; Yang, J.; Chen, R.; Xiong, Y.; Hou, W.; Bai, L. Design of a biomimetic graded TPMS scaffold with quantitatively adjustable pore size. Mater. Des. 2022, 218, 110665. [Google Scholar] [CrossRef]
- Yang, L.; Wu, S.; Yan, C.; Chen, P.; Zhang, L.; Han, C.; Cai, C.; Wen, S.; Zhou, Y.; Shi, Y. Fatigue properties of Ti-6Al-4V Gyroid graded lattice structures fabricated by laser powder bed fusion with lateral loading. Addit. Manuf. 2021, 46, 102214. [Google Scholar] [CrossRef]
- Jin, Y.; Kong, H.; Zhou, X.; Li, G.; Du, J. Design and characterization of sheet-based gyroid porous structures with bioinspired functional gradients. Materials 2020, 13, 3844. [Google Scholar] [CrossRef] [PubMed]
- Yánez, A.; Cuadrado, A.; Martel, O.; Afonso, H.; Monopoli, D. Gyroid porous titanium structures: A versatile solution to be used as scaffolds in bone defect reconstruction. Mater. Des. 2018, 140, 21–29. [Google Scholar] [CrossRef]
- de Galarreta, S.R.; Doyle, R.J.; Jeffers, J.; Ghouse, S. Laser powder bed fusion of porous graded structures: A comparison between computational and experimental analysis. J. Mech. Behav. Biomed. Mater. 2021, 123, 104784. [Google Scholar] [CrossRef]
- Emanuelli, L.; De Biasi, R.; du Plessis, A.; Lora, C.; Jam, A.; Benedetti, M.; Pellizzari, M. Metrological characterization of porosity graded β-Ti21S triply periodic minimal surface cellular structure manufactured by laser powder bed fusion. Int. J. Bioprinting 2023, 9, 729. [Google Scholar] [CrossRef] [PubMed]
- Melchels, F.P.W.; Bertoldi, K.; Gabbrielli, R.; Velders, A.H.; Feijen, J.; Grijpma, D.W. Mathematically defined tissue engineering scaffold architectures prepared by stereolithography. Biomaterials 2010, 31, 6909–6916. [Google Scholar] [CrossRef]
- Hildebrand, T.; Rüegsegger, P. A new method for the model-independent assessment of thickness in three-dimensional images. J. Microsc. 1997, 185, 67–75. [Google Scholar] [CrossRef]
- ISO 13314; Mechanical Testing of Metals, Ductility Testing, Compression Test for Porous and Cellular Metals. ISO: Geneva, Switzerland, 2011. Available online: www.iso.org (accessed on 4 November 2022).
- ISO 10993-1:2018; Biological Evaluation of Medical Devices—Part 1: Evaluation and Testing Within a Risk Management Process. ISO: Geneva, Switzerland, 2018. Available online: https://www.iso.org/standard/68936.html (accessed on 29 November 2023).
- Boyer, R.; Welsch, G.; Collings, E.W. Materials Properties Handbook: Titanium Alloys; ASM International: Almere, The Netherlands, 1994; pp. 755–763. Available online: https://www.asminternational.org/materials-resources/results/-/journal_content/56/10192/06005G/PUBLICATION (accessed on 13 July 2022).
- ASTM-E407; Standard Practice for Microetching Metals and Alloys. Document Center, Inc.: Oakland, CA, USA, 2015.
- Benedetti, M.; Klarin, J.; Johansson, F.; Fontanari, V.; Luchin, V.; Zappini, G.; Molinari, A. Study of the compression behaviour of Ti6Al4V trabecular structures produced by additive laser manufacturing. Materials 2019, 12, 1471. [Google Scholar] [CrossRef]
- Benedetti, M.; Galeotti, F.; Emanuelli, L.; Fontanari, V.; Zappini, G.; Tomaselli, M.; Molinari, A. Deformation behaviour of Ti-6Al-4V trabecular structures produced by additive laser manufacturing. In Proceedings of the Euro PM 2019 Congress and Exhibition, Maastricht, The Netherlands, 13–16 October 2019. [Google Scholar]
- ISO 10993-5:2009; Biological Evaluation of Medical Devices—Part 5: Tests for In Vitro Cytotoxicity. ISO: Geneva, Switzerland, 2009. Available online: https://www.iso.org/standard/36406.html (accessed on 8 January 2024).
- ISO 10993-12:2021; Biological Evaluation of Medical Devices—Part 12: Sample Preparation and Reference Materials. ISO: Geneva, Switzerland, 2021. Available online: https://www.iso.org/standard/75769.html (accessed on 8 January 2024).
- Kundu, J.; Pati, F.; Shim, J.H.; Cho, D.W. Rapid prototyping technology for bone regeneration. In Rapid Prototyping of Biomaterials: Principles and Applications; Woodhead Publishing: Sawston, UK, 2014; pp. 289–314. [Google Scholar] [CrossRef]
- Davoodi, E.; Montazerian, H.; Mirhakimi, A.S.; Zhianmanesh, M.; Ibhadode, O.; Shahabad, S.I.; Esmaeilizadeh, R.; Sarikhani, E.; Toorandaz, S.; Sarabi, S.A.; et al. Additively manufactured metallic biomaterials. Bioact. Mater. 2022, 15, 214–249. [Google Scholar] [CrossRef] [PubMed]
- Tang, A.; Ji, J.; Li, J.; Liu, W.; Wang, J.; Sun, Q.; Li, Q. Nanocellulose/PEGDA Aerogels with Tunable Poisson’s Ratio Fabricated by Stereolithography for Mouse Bone Marrow Mesenchymal Stem Cell Culture. Nanomaterials 2021, 11, 603. [Google Scholar] [CrossRef] [PubMed]
- Mardling, P.; Alderson, A.; Jordan-Mahy, N.; Le Maitre, C.L. The use of auxetic materials in tissue engineering. Biomater. Sci. 2020, 8, 2074–2083. [Google Scholar] [CrossRef] [PubMed]
- Wang, N.; Meenashisundaram, G.K.; Kandilya, D.; Fuh, J.Y.H.; Dheen, S.T.; Kumar, A.S. A biomechanical evaluation on Cubic, Octet, and TPMS gyroid Ti6Al4V lattice structures fabricated by selective laser melting and the effects of their debris on human osteoblast-like cells. Biomater. Adv. 2022, 137, 212829. [Google Scholar] [CrossRef]
- Callens, S.J.P.; Uyttendaele, R.J.C.; Fratila-Apachitei, L.E.; Zadpoor, A.A. Substrate curvature as a cue to guide spatiotemporal cell and tissue organization. Biomaterials 2020, 232, 119739. [Google Scholar] [CrossRef] [PubMed]
- Maevskaia, E.; Guerrero, J.; Ghayor, C.; Bhattacharya, I.; Weber, F.E. Triply Periodic Minimal Surface-Based Scaffolds for Bone Tissue Engineering: A Mechanical, In Vitro and In Vivo Study. Tissue Eng. Part A 2023, 29, 507–517. [Google Scholar] [CrossRef]
- Pellizzari, M.; Jam, A.; Tonon, V.; Benedetti, M.; Lora, C. Ageing behavior of Beta-Ti21S produced by laser powder bed fusion. Metall. Ital. 2021, 2021, 42–49. [Google Scholar]
- Gordon, J.V.; Narra, S.P.; Cunningham, R.W.; Liu, H.; Chen, H.; Suter, R.M.; Beuth, J.L.; Rollett, A.D. Defect structure process maps for laser powder bed fusion additive manufacturing. Addit. Manuf. 2020, 36, 101552. [Google Scholar] [CrossRef]
- Yavari, S.A.; Ahmadi, S.M.; Wauthle, R.; Pouran, B.; Schrooten, J.; Weinans, H.; Zadpoor, A.A. Relationship between unit cell type and porosity and the fatigue behavior of selective laser melted meta-biomaterials. J. Mech. Behav. Biomed. Mater. 2015, 43, 91–100. [Google Scholar] [CrossRef] [PubMed]
- Sufiiarov, V.S.; Popovich, A.A.; Borisov, E.V.; Polozov, I.A.; Masaylo, D.V.; Orlov, A.V. The Effect of Layer Thickness at Selective Laser Melting. Procedia Eng. 2017, 174, 126–134. [Google Scholar] [CrossRef]
- Shi, X.; Ma, S.; Liu, C.; Chen, C.; Wu, Q.; Chen, X.; Lu, J. Performance of high layer thickness in selective laser melting of Ti6Al4V. Materials 2016, 9, 975. [Google Scholar] [CrossRef] [PubMed]
- Hyer, H.C.; Petrie, C.M. Effect of powder layer thickness on the microstructural development of additively manufactured SS316. J. Manuf. Process. 2022, 76, 666–674. [Google Scholar] [CrossRef]
- Cutolo, A.; Neirinck, B.; Lietaert, K.; de Formanoir, C.; Van Hooreweder, B. Influence of layer thickness and post-process treatments on the fatigue properties of CoCr scaffolds produced by laser powder bed fusion. Addit. Manuf. 2018, 23, 498–504. [Google Scholar] [CrossRef]

















| TPMS 1.5 | TPMS 2.5 | AUX 2.5 | AUX 3.5 | |||||
|---|---|---|---|---|---|---|---|---|
| ρr | Ligament (mm) | Pore (mm) | Ligament (mm) | Pore (mm) | Strut Node (mm) | Porecorner Poremiddle (mm) | Strut Node (mm) | Porecorner Poremiddle (mm) |
| 1 | 0.59 | 0.95 | 1.01 | 1.44 | 0.57 ± 0.03 0.73 ± 0.01 | 0.82 ± 0.46 1.18 ± 0.01 | 0.48 ± 0.01 0.62 ± 001 | 0.76 ± 0.43 1.48 ± 0.02 |
| 2 | 0.73 | 0.80 | 1.27 | 1.19 | 0.70 ± 0.01 0.89 ± 0.00 | 0.71 ± 0.29 1.05 ± 0.04 | 0.54 ± 0.01 0.66 ± 0.01 | 0.39 ± 0.24 1.45 ± 0.02 |
| 3 | 0.87 | 0.67 | 1.52 | 0.94 | 0.85 ± 0.10 1.05 ± 0.01 | 0.52 ± 0.20 0.92 ± 0.01 | 0.59 ± 0.01 0.72 ± 0.01 | 0.34 ± 0.18 1.39 ± 0.02 |
| Structure | Dimension of Specimens | Relative Density | Ligament [TPMS] Strut/Node [AUX] | Pore [TPMS] Porecorner/Poremiddle [AUX] | ||
|---|---|---|---|---|---|---|
| l (n Cell) | w (n Cell) | h (n Cell) | ρr (-) | (mm) | (mm) | |
| TPMS 1.5 | 8 | 8 | 8 | 0.28 | 0.59 | 0.95 |
| TPMS 2.5 | 8 | 8 | 8 | 0.34 | 1.01 | 1.44 |
| AUX 2.5 | 8 | 8 | 10 | 0.26 | 0.57 ± 0.03 0.73 ± 0.01 | 0.82 ± 0.46 1.18 ± 0.01 |
| AUX 3.5 | 8 | 8 | 20 | 0.20 | 0.48 ± 0.01 0.62 ± 0.01 | 0.76 ± 0.43 1.48 ± 0.02 |
| Element | Ti | Mo | Al | Nb | Si | O | H | N | Fe | Ni | Other | MoE |
|---|---|---|---|---|---|---|---|---|---|---|---|---|
| wt.% | Bal. | 14.9 | 3.24 | 2.96 | 0.22 | 0.11 | ND | <0.010 | 0.048 | - | <0.40 | 12.6 |
| TPMS 1.5 | TPMS 2.5 | AUX 2.5 | AUX 3.5 | |||||
|---|---|---|---|---|---|---|---|---|
| ρr | Ligament (mm) | Pore (mm) | Ligament (mm) | Pore (mm) | Strut Node (mm) | Porecorner Poremiddle (mm) | Strut Node (mm) | Porecorner Poremiddle (mm) |
| 1 | 0.63 ± 0.11 | 0.65 ± 0.22 | 1.06 ± 0.09 | 1.21 ± 0.18 | 0.53 ± 0.11 0.72 ± 0.01 | 0.79 ± 0.33 1.08 ± 0.01 | 0.54 ± 0.02 0.61 ± 002 | 0.66 ± 0.34 1.39 ± 0.06 |
| 2 | 0.75 ± 0.11 | 0.56 ± 0.19 | 1.29 ± 0.09 | 1.00 ± 0.17 | 0.64 ± 0.16 0.89 ± 0.04 | 0.60 ± 0.28 0.92 ± 0.21 | 0.55 ± 0.01 0.67 ± 0.02 | 0.46 ± 0.32 1.34 ± 0.06 |
| 3 | 0.87 ± 0.09 | 0.50 ± 0.14 | 1.54 ± 0.11 | 0.77 ± 0.16 | 0.80 ± 0.16 1.03 ± 0.10 | 0.49 ± 0.15 0.78 ± 0.12 | 0.61 ± 0.01 0.74 ± 0.03 | 0.43 ± 0.29 1.31 ± 0.08 |
| LATTICE STRUCTURE (Compression Properties) | |||||
|---|---|---|---|---|---|
| Structure Single Density | σy (MPa) | E (GPa) | Structure FGPS | σy (Mpa) | E (GPa) |
| TPMS 1.5ρr1= 0.28 | 100.3 ± 3.1 | 5.69 ± 0.68 | TPMS 1.5 | 123.0 ± 9.5 | 11.08 ± 0.67 |
| TPMS 2.5ρr1= 0.34 | 106 ± 3.6 | 5.83 ± 0.89 | TPMS 2.5 | 125.3 ± 0.6 | 13.94 ± 0.64 |
| Aux 2.5ρr1= 0.26 | 22 ± 1 | 0.96 ± 0.02 | Aux 2.5 | 23.0 ± 0.4 | 1.70 ± 0.05 |
| Aux 3.5ρr1= 0.20 | 4.3 ± 0.1 | 0.08 ± 0.01 | Aux 3.5 | 3.8 ± 0.1 | 0.10 ± 0.00 |
| HUMAN BONE (Compression properties along the longitudinal axis) [70] | |||||
| Cortical | 131–224 | 6–20 | Cancellous | 5–10 | 0.08–4 |
| Geometries | σmax (107 Cycles) (MPa) | S (MPa) | σmax/σy (107 Cycles) (-) | σmax/σy (106 Cycles) (-) |
|---|---|---|---|---|
| TPMS 1.5ρr1= 0.28 | 33.9 | 34.2 | 0.30 | 0.42 |
| TPMS 2.5ρr1= 0.34 | 42.8 | 6.1 | 0.40 | 0.47 |
| Aux 2.5ρr1= 0.26 | 4.8 | 0.5 | 0.20 | 0.29 |
| Aux 3.5ρr1= 0.20 | 1.5 | 0.0 | 0.35 | 0.43 |
Disclaimer/Publisher’s Note: The statements, opinions and data contained in all publications are solely those of the individual author(s) and contributor(s) and not of MDPI and/or the editor(s). MDPI and/or the editor(s) disclaim responsibility for any injury to people or property resulting from any ideas, methods, instructions or products referred to in the content. |
© 2025 by the authors. Licensee MDPI, Basel, Switzerland. This article is an open access article distributed under the terms and conditions of the Creative Commons Attribution (CC BY) license (https://creativecommons.org/licenses/by/4.0/).
Share and Cite
Emanuelli, L.; Babaei, M.; De Biasi, R.; du Plessis, A.; Trivisonno, A.; Agostinacchio, F.; Motta, A.; Benedetti, M.; Pellizzari, M. Optimising β-Ti21S Alloy Lattice Structures for Enhanced Femoral Implants: A Study on Mechanical and Biological Performance. Materials 2025, 18, 170. https://doi.org/10.3390/ma18010170
Emanuelli L, Babaei M, De Biasi R, du Plessis A, Trivisonno A, Agostinacchio F, Motta A, Benedetti M, Pellizzari M. Optimising β-Ti21S Alloy Lattice Structures for Enhanced Femoral Implants: A Study on Mechanical and Biological Performance. Materials. 2025; 18(1):170. https://doi.org/10.3390/ma18010170
Chicago/Turabian StyleEmanuelli, Lorena, Melika Babaei, Raffaele De Biasi, Anton du Plessis, Andrea Trivisonno, Francesca Agostinacchio, Antonella Motta, Matteo Benedetti, and Massimo Pellizzari. 2025. "Optimising β-Ti21S Alloy Lattice Structures for Enhanced Femoral Implants: A Study on Mechanical and Biological Performance" Materials 18, no. 1: 170. https://doi.org/10.3390/ma18010170
APA StyleEmanuelli, L., Babaei, M., De Biasi, R., du Plessis, A., Trivisonno, A., Agostinacchio, F., Motta, A., Benedetti, M., & Pellizzari, M. (2025). Optimising β-Ti21S Alloy Lattice Structures for Enhanced Femoral Implants: A Study on Mechanical and Biological Performance. Materials, 18(1), 170. https://doi.org/10.3390/ma18010170

