Features of Structure and Flow Field in Homemade Co-Current Cavitation Water Jet Nozzle
Abstract
1. Introduction
2. Materials and Methods
2.1. Parameters for Simulation Configuration
2.2. Structural Design of Co-Current Cavitation Water Jet Nozzle
2.2.1. Overall Structure
2.2.2. Structural Design of Internal Organ Pipe Self-Oscillating Angular Cavitation Nozzle
2.2.3. Structural Design of External Conical–Cylindrical Combination Nozzle
2.3. Method of Computation and Establishment of Boundary Conditions
3. Mathematical Pattern for Simulation Computations
3.1. Multiphase Flow Model
- (1)
- The continuity equation for the water and water vapor phases iswhere ρm denotes the hybrid-phase density (kg/m3); vm denotes the hybrid-phase velocity (m/s); t denotes time (s); αa denotes the volume fraction of the water vapor phase; and ρa denotes the density of the water vapor phase (kg/m3).
- (2)
- The momentum equation for the water and water vapor phases iswhere p denotes the operational pressure (Pa); μm denotes the hybrid-phase viscosity (Pa·s); g denotes the acceleration of gravity (m/s2); F denotes the volume force (Pa/m3); and vdr,a denotes the water vapor phase’s escape velocity (m/s).
- (3)
- The water vapor volume percentage equation iswhere maw denotes the molecular interaction force from the water vapor phase to the water phase and mwa denotes the molecular interaction force from the water phase to the water vapor phase.
3.2. Turbulence Model
- (1)
- Based on the equation, the kinetic energy of turbulent flow k giveswhere μt denotes the turbulent viscosity (Pa·s); Gk denotes the turbulent kinetic energy produced by the average velocity difference (m2/s2); and ε denotes the amount of loss of turbulent kinetic energy per unit of fluid (m2/s3).
- (2)
- The equation for the dissipation rate ε iswhere C1ε and C2ε denote the experimentally measured constant coefficients.
3.3. Cavitation Calculation Model
4. Simulation Results and Discussion
4.1. Finite Element Model
4.2. Mesh Irrelevance Test
4.3. Effect of Internal Nozzle Inlet Pressure on Maximum Vapor Volume Percentage
4.4. Influence of Input Pressure of Internal Nozzle on Axial Velocity
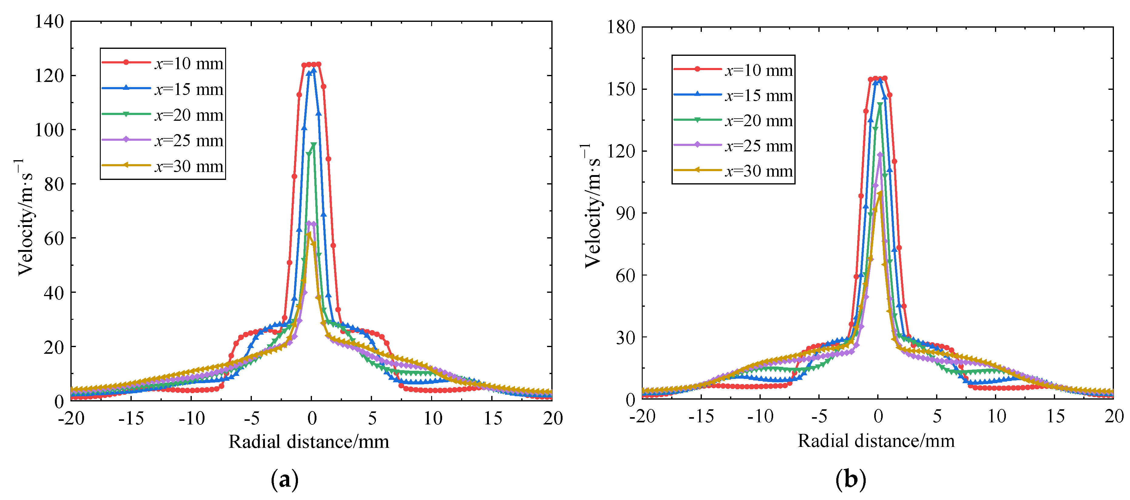
4.5. Effect of Inlet Pressure of Internal Nozzle on Radial Velocity
4.6. Visualization Test to Verify Cavitation Jet
5. Conclusions
Author Contributions
Funding
Data Availability Statement
Conflicts of Interest
References
- Kan, K.; Binama, M.; Chen, H.X.; Zheng, Y.; Zhou, D.Q.; Su, W.T.; Muhirwa, A. Pump as turbine cavitation performance for both conventional and reverse operating modes: A review. Renew. Sustain. Energy Rev. 2022, 168, 112786. [Google Scholar] [CrossRef]
- Long, Y.; An, C.; Zhu, R.S.; Chen, J.P. Research on hydrodynamics of high velocity regions in a water-jet pump based on experimental and numerical calculations at different cavitation conditions. Phys. Fluids 2021, 33, 045124. [Google Scholar] [CrossRef]
- Xu, S.J.; Wang, J.; Cai, B.H.; Cheng, H.Y.; Ji, B.; Zhang, Z.T.; Long, X.P. Investigation on cavitation initiation in jet pump cavitation reactors with special emphasis on two mechanisms of cavitation initiation. Phys. Fluids 2022, 34, 013308. [Google Scholar] [CrossRef]
- Usta, O.; Köksal, C.S.; Korkut, E. A systematic study into the cavitation erosion test for marine propeller materials by cavitating jet technique. Ocean Eng. 2023, 284, 115252. [Google Scholar] [CrossRef]
- Li, Z.F. Criteria for jet cavitation and cavitation jet drilling. Int. J. Rock Mech. Min. Sci. 2014, 71, 204–207. [Google Scholar] [CrossRef]
- Zhong, X.; Dong, J.M.; Liu, M.S.; Meng, R.X.; Li, S.; Pan, X.X. Experimental study on ship fouling cleaning by ultrasonic-enhanced submerged cavitation jet: A preliminary study. Ocean Eng. 2022, 258, 111844. [Google Scholar] [CrossRef]
- Dong, J.M.; Li, S.; Meng, R.X.; Zhong, X.; Pan, X.X. Research on Cavitation Characteristics of Two-Throat Nozzle Submerged Jet. Appl. Sci. 2022, 12, 536. [Google Scholar] [CrossRef]
- Soyama, H. Cavitation Peening: A Review. Metals 2020, 10, 270. [Google Scholar] [CrossRef]
- Soyama, H.; Korsunsky, A.M. A critical comparative review of cavitation peening and other surface peening methods. J. Mater. Process. Technol. 2022, 305, 117586. [Google Scholar] [CrossRef]
- Wang, Y.; Zhu, C.; Li, F.Z.; Yu, C.; Chen, S.J.; Wu, J.Y. Processing characteristics and loading principle on micro blanking of cavitation jet. Int. J. Adv. Manuf. Technol. 2024, 133, 1317–1329. [Google Scholar] [CrossRef]
- Dong, X.; Li, J.L.; Li, Z.; Jin, X.M. Numerical simulation of flow field in cavitation water jet nozzle. J. Heilongjiang Univ. Sci. Technol. 2018, 28, 560–565. [Google Scholar]
- Yang, Z.G.; Yi, S.J.; Zhao, S.X.; Shi, W. Influence of the inlet pressure on impulse characteristics of aluminum samples. Surf. Rev. Lett. 2021, 28, 2150110. [Google Scholar] [CrossRef]
- Soyama, H. Effect of nozzle geometry on a standard cavitation erosion test using a cavitating jet. Wear 2013, 297, 895–902. [Google Scholar] [CrossRef]
- Panda, A.; Anisimov, V.M.; Anisimov, V.V.; Pandova, I.; Klymenko, A.; Ermakov, P. Cavitation nozzles with expansion chamber. MM Sci. J. 2022, 2022, 6020–6025. [Google Scholar] [CrossRef]
- Dong, W.Q.; Yao, L.G.; Luo, W.L. Numerical Simulation of Flow Field of Submerged Angular Cavitation Nozzle. Appl. Sci. 2023, 13, 613. [Google Scholar] [CrossRef]
- Yang, M.G.; Xiao, S.N.; Kang, C.; Wang, Y.L. Effect of geometrical parameters on submerged cavitation jet discharged from profiled central-body nozzle. Chin. J. Mech. Eng. (Engl. Ed.) 2013, 26, 476–482. [Google Scholar] [CrossRef]
- Cao, Z.P.; Liu, H.L.; Xie, C.X. Cavitation and Cleaning Characteristics of New Annular Cavitation Nozzles. Hydraul. Pneum. 2020, 2, 136–144. [Google Scholar]
- Soyama, H. Introduction of compressive residual stress using a cavitating jet in air. J. Eng. Mater. Technol. ASME 2004, 126, 123–128. [Google Scholar] [CrossRef]
- Marcon, A.; Melkote, S.N.; Yoda, M. Effect of nozzle size scaling in co-flow water cavitation jet peening. J. Manuf. Process. 2018, 31, 372–381. [Google Scholar] [CrossRef]
- Vidvans, A.N.; Melkote, S.N.; Sanders, D.G. Enhancing Cavitation Intensity in Co-Flow Water Cavitation Peening With Organ Pipe Nozzles. J. Eng. Mater. Technol. ASME 2021, 143, 071010. [Google Scholar] [CrossRef]
- Wu, S.H.; Yang, Y.F.; Shi, W.D.; Wang, G.W.; Wu, X.L.; Wu, R. Performance of 7075 Aluminum Alloy Strengthened by Artificially Submerged Cavitation Water Jet Peening. Surf. Technol. 2024, 53, 190–199. [Google Scholar] [CrossRef]
- Luo, Y.; Zang, J.Y.; Zheng, H.X. Flow Field and Gas Field Distribution of Non-Submerged Cavitation Water Jet Based on Dual-Nozzle with Concentric Configuration. Water 2023, 15, 2904. [Google Scholar] [CrossRef]
- Fan, C.X.; Li, D.; Kang, Y.; Zhang, H.T. Effect of low-speed waterjet pressure on the rock-breaking performance of unsubmerged cavitating abrasive waterjet. Pet. Sci. 2024, 21, 2638–2649. [Google Scholar] [CrossRef]
- Straka, W.A.; Meyer, R.S.; Fontaine, A.A.; Welz, J.P. Cavitation inception in quiescent and co-flow nozzle jets. J. Hydrodyn. Ser. B 2010, 22, 771–777. [Google Scholar] [CrossRef]
- Marcon, A.; Melkote, S.N.; Castle, J.; Sanders, D.G.; Yoda, M. Effect of jet velocity in co-flow water cavitation jet peening. Wear 2016, 360, 38–50. [Google Scholar] [CrossRef]
- Yang, Q.; Xu, H.; Li, Y.G.; Zhang, W.H.; Wei, Y.J.; Wang, C. Topology and cavitation number characteristics of the gaseous jet-induced tail cavity under co-flow. Phys. Fluids 2022, 34, 013303. [Google Scholar] [CrossRef]
- Lei, C.C.; Deng, S.S.; Guan, J.F.; Zhang, S.X.; Guo, G.D.; Zhang, T.F.; Guo, L.H. Flow Field Numerical Simulation of Artificial Submerged Cavitating Water Jet Based on Fluent. In Proceedings of the International Conference on Computer Science and Technology (CST), Shenzhen, China, 8–10 January 2017; pp. 1142–1150. [Google Scholar]
- Sekyi-Ansah, J.; Wang, Y.; Tan, Z.R.; Zhu, J.; Li, F.Z. The Dynamic Evolution of Cavitation Vacuolar Cloud with High-Speed Camera. Arab. J. Sci. Eng. 2020, 45, 4907–4919. [Google Scholar] [CrossRef]
- Du, P.; Lv, S.S. Research on the performance of manually flooded cavitation nozzles. Mech. Eng. Autom. 2022, 10, 1–3, 6. [Google Scholar]
- Li, H.A.; Chen, J.W.; Guo, J.; Zhu, H.; Lin, Y.; Ge, H. A Study of Cavitation Erosion in Artificial Submerged Water Jets. Appl. Sci. 2024, 14, 4804. [Google Scholar] [CrossRef]
- Zheng, P. CFD simulation of dual-cavity self-resonating cavitating nozzle. Sadhana-Acad. Proc. Eng. Sci. 2024, 49, 125. [Google Scholar] [CrossRef]
- Onishi, T.; Li, K.Z.; Ji, H.; Peng, G.Y. Shedding of Cavitation Clouds in an Orifice Nozzle. Fluids 2024, 9, 156. [Google Scholar] [CrossRef]
- Wang, P.F.; Han, H.; Liu, R.H.; Gao, R.Z.; Wu, G.G. Effect of outlet diameter on atomization characteristics and dust reduction performance of X-swirl pressure nozzle. Process Saf. Environ. Prot. 2020, 137, 340–351. [Google Scholar] [CrossRef]
- Li, G.S.; Shen, Z.H. Theory and Application of Self-Oscillating Cavitation Jet; China University of Petroleum Press: Beijing, China, 2008. [Google Scholar]
- Wang, X.L.; Kang, Y.; Zhang, M.D.; Yuan, M.; Li, D. The Effects of the Downstream Contraction Ratio of Organ-Pipe Nozzle on the Pressure Oscillations of Self-Resonating Waterjets. Energies 2018, 11, 3137. [Google Scholar] [CrossRef]
- Crow, S.C.; Champagne, F.H. Orderly structure in jet turbulence. J. Fluid Mech. 1971, 48, 547. [Google Scholar] [CrossRef]
- Li, G.S.; Shen, Z.H. Experimental study of the effect of submerged self-oscillating cavitating jets on rock under normal pressure. J. East China Pet. Inst. 1987, 11, 12–22. [Google Scholar]
- Hu, S.G.; Zhu, M.Z. Current status of cavitation water jet research and its application. J. East China Univ. Technol. 1996, 18, 1–8. [Google Scholar]
- Lu, H.Q. Theory and Application of Jet Pump Technology; Water Resources and Electric Power Press: Beijing, China, 1989; p. 316. [Google Scholar]
- Zhang, H.Y.; Zou, D.H.; Yang, X.L.; Mou, J.G.; Zhou, Q.W.; Xu, M.S. Liquid-Gas Jet Pump: A Review. Energies 2022, 15, 6978. [Google Scholar] [CrossRef]
- Dong, X.; Guo, C.H.; Peng, D.Q.; Jiang, Y. Numerical Simulation of Air-Water-Flake Graphite Triple-Phase Flow Field in a Homemade Double-Nozzle Jet Micro-Bubble Generator. Minerals 2024, 14, 533. [Google Scholar] [CrossRef]
- Mangela, D.B.; Raj, A.K.; Mohanan, K.P.; Jayaraj, S. Computational analysis of two-phase flow in a converging-diverging propulsion nozzle suitable for water transport. Sadhana-Acad. Proc. Eng. Sci. 2022, 47, 63. [Google Scholar] [CrossRef]
- Fluent, A. Ansys Fluent Theory Guide; Ansys Inc.: Canonsburg, PA, USA, 2020; pp. 51–53. [Google Scholar]
- Paul, D.; Agarwal, H.; Ponangi, B.R. CFD analysis of two-phase cavitating flow in a centrifugal pump with an inducer. Heat Transf. 2020, 49, 3854–3881. [Google Scholar] [CrossRef]
- Liu, H.L.; Cao, Z.P.; Xie, C.X.; Chen, G.P.; Li, D.F.; Wang, J.W. Research on erosion characteristics of a novel cavitation nozzle under nonsubmerged condition. Proc. Inst. Mech. Eng. Part C J. Mech. Eng. Sci. 2021, 235, 988–998. [Google Scholar] [CrossRef]
- Liu, B.X.; Wang, H.F.; Chen, Z.G. Simulation and study on non-submerged cavitating jet from a novel composite nozzle. Min. Mach. 2018, 46, 58–62. [Google Scholar] [CrossRef]
- Yang, Y.F.; Li, W.; Shi, W.D.; Zhou, L.; Zhang, W.Q. Experimental Study on the Unsteady Characteristics and the Impact Performance of a High-Pressure Submerged Cavitation Jet. Shock Vib. 2020, 2020, 1701843. [Google Scholar] [CrossRef]
- Goel, A.K.; Naikan, V.N.A. Exploring the Diagnostic Potential of Infrared Thermography for Experimental Assessment of Cavitation and Air Entrainment-induced Faults in Centrifugal Pumps. J. Appl. Fluid Mech. 2024, 17, 352–369. [Google Scholar] [CrossRef]
- Cui, Y.Y.; Zhao, M.J.; Ding, Q.M.; Cheng, B. Study on Dynamic Evolution and Erosion Characteristics of Cavitation Clouds in Submerged Cavitating Water Jets. J. Mar. Sci. Eng. 2024, 12, 641. [Google Scholar] [CrossRef]












| Number of Meshes/Pcs | Maximum Vapor Volume Percentage/% |
|---|---|
| 1,049,513 | 92.0 |
| 1,299,513 | 94.6 |
| 1,549,513 | 95.2 |
| 1,799,513 | 95.2 |
| 2,049,513 | 95.1 |
Disclaimer/Publisher’s Note: The statements, opinions and data contained in all publications are solely those of the individual author(s) and contributor(s) and not of MDPI and/or the editor(s). MDPI and/or the editor(s) disclaim responsibility for any injury to people or property resulting from any ideas, methods, instructions or products referred to in the content. |
© 2025 by the authors. Licensee MDPI, Basel, Switzerland. This article is an open access article distributed under the terms and conditions of the Creative Commons Attribution (CC BY) license (https://creativecommons.org/licenses/by/4.0/).
Share and Cite
Guo, C.; Dong, X.; Song, H.; Jiang, Y. Features of Structure and Flow Field in Homemade Co-Current Cavitation Water Jet Nozzle. Materials 2025, 18, 146. https://doi.org/10.3390/ma18010146
Guo C, Dong X, Song H, Jiang Y. Features of Structure and Flow Field in Homemade Co-Current Cavitation Water Jet Nozzle. Materials. 2025; 18(1):146. https://doi.org/10.3390/ma18010146
Chicago/Turabian StyleGuo, Chenhao, Xing Dong, Haorong Song, and Yun Jiang. 2025. "Features of Structure and Flow Field in Homemade Co-Current Cavitation Water Jet Nozzle" Materials 18, no. 1: 146. https://doi.org/10.3390/ma18010146
APA StyleGuo, C., Dong, X., Song, H., & Jiang, Y. (2025). Features of Structure and Flow Field in Homemade Co-Current Cavitation Water Jet Nozzle. Materials, 18(1), 146. https://doi.org/10.3390/ma18010146
