Thermal Stability and Non-Linear Optical and Dielectric Properties of Lead-Free K0.5Bi0.5TiO3 Ceramics
Abstract
1. Introduction
2. Materials and Methods
2.1. K0.5Bi0.5TiO3 Preparation
2.2. SEM/EDXS (Scanning Electron Microscopy/Energy-Dispersive X-ray Spectrometry) Investigations
2.3. X-ray Diffraction
2.4. Thermogravimetry and Differential Scanning Calorimetry
2.5. Vibrational and Raman Spectroscopy
2.6. Dielectric Measurements
2.7. DFT Calculations
2.8. Second-Harmonic Generation
3. Results and Discussion
3.1. Thermal Stability of KBT
3.2. Morphology of KBT Ceramics
3.3. The X-ray Measurements
3.4. Optimization of KBT Structure for Vibrational Spectra Calculations
3.5. Band Structure of KBT
3.6. FT-MIR and FT-FIR Investigations
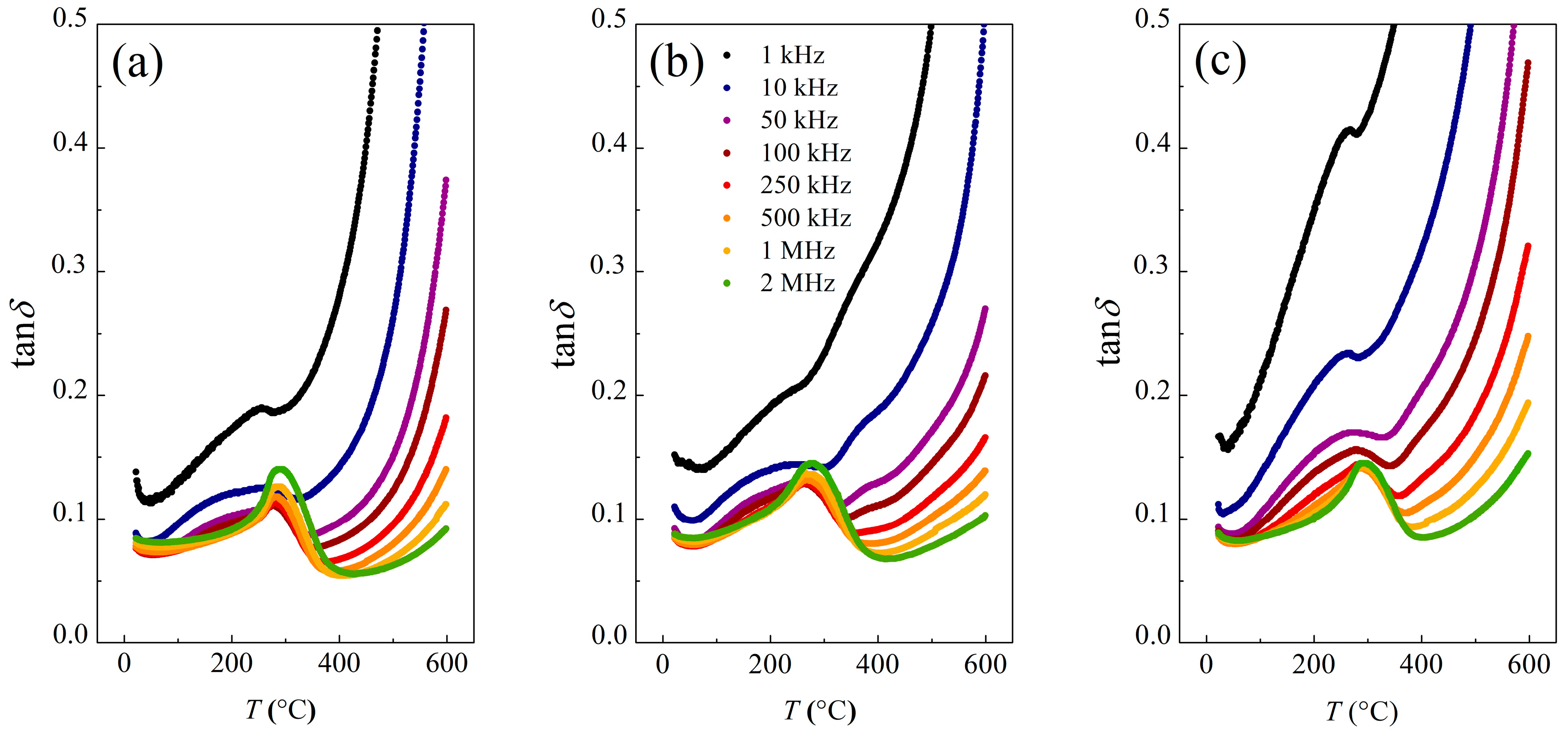
3.7. Dielectric Permittivity Measurements
3.8. Optical Properties
4. Conclusions
Supplementary Materials
Author Contributions
Funding
Institutional Review Board Statement
Informed Consent Statement
Data Availability Statement
Conflicts of Interest
References
- Heartling, G.H. Ferroelectric ceramics: History and Technology. J. Am. Ceram. Soc. 2011, 82, 797–818. [Google Scholar] [CrossRef]
- Testino, A. Ceramics for Electronics and Energy: Issues and Opportunities. Int. J. Appl. Ceram. Technol. 2013, 10, 723–730. [Google Scholar] [CrossRef]
- Hang, S.; Li, F.; Jiang, X.; Kim, J.; Luo, J.; Geng, X. Advantages and challenges of relaxor-PbTiO3 ferroelectric crystals for electroacoustic transducers—A review. Prog. Mater. Sci. 2015, 68, 1–66. [Google Scholar] [CrossRef] [PubMed]
- Cowley, R.A.; Gyasaliya, S.N.; Lushnikov, S.G.; Roessli, B.; Rotaru, G.M. Relaxing with relaxors: A review of relaxor ferroelectrics. J. Adv. Phys. 2011, 60, 229–327. [Google Scholar] [CrossRef]
- Ahn, C.W.; Hong, C.-H.; Choi, B.-Y.; Kim, H.-P.; Han, H.-S.; Han, Y.; Hwang, Y.; Jo, W.; Wang, K.; Li, J.-F.; et al. A brief review on relaxor ferroelectrics and selected issues in lead-free relaxors. J. Korean Phys. Soc. 2016, 68, 229–327. [Google Scholar] [CrossRef]
- Qu, J.; Huang, S.; Xu, Y.; Jiao, H.; Xu, D.; Cheng, X. Fabrication and properties of PZT piezoelectric ceramics tubes with large length-diameter ratio. Ceram. Int. 2014, 40, 13019. [Google Scholar] [CrossRef]
- Atuchin, V.V.; Grivel, J.C.; Korotkov, A.S.; Zhang, Z. Electronic parameters of Sr2Nb2O7 and chemical bonding. J. Solid State Chem. 2008, 181, 1285–1291. [Google Scholar] [CrossRef]
- Atuchin, V.V.; Gavrilova, T.A.; Grivel, J.-C.; Kesler, V.G.; Troitskaia, I.B. Electronic structure of layered ferroelectric high-k titanate Pr2Ti2O7. Solid State Chem. 2012, 195, 125–131. [Google Scholar] [CrossRef]
- Steinberg, I.S.; Atuchin, V.V. Two-photon holographic recording in LiTaO3: Fe crystals with high intensity nanosecond pulses at 532 nm. Mater. Chem. Phys. 2020, 253, 122956. [Google Scholar] [CrossRef]
- Taziev, R.; Atuchin, V.V. Analysis of SAW temperature properties in KTiOPO4 single crystal. Materials 2023, 16, 69. [Google Scholar] [CrossRef]
- Available online: http://ec.europa.eu/environment/waste/weee/index_en.htm (accessed on 27 November 2023).
- Directive 2011/65/EU of the European Parliament and of the Council of 8 June 2011 on the Restriction of the Use of Certain Hazardous Substances in Electrical and Electronic Equipment. Available online: https://eur-lex.europa.eu/eli/dir/2011/65/oj (accessed on 10 January 2024).
- Directive 2017/2102/EU of the European Parliament and of the Council of 15 November 2017 Amending Directive 2011/65/EU on the Restriction of the Use of Certain Hazardous Substances in Electrical and Electronic Equipment. Available online: https://eur-lex.europa.eu/legal-content/EN/TXT/HTML/?uri=CELEX:32017L2102 (accessed on 15 January 2024).
- Liu, W.; Ren, X. Large piezoelectric effect in Pb-free piezoceramics. Phys. Rev. Lett. 2009, 103, 257602. [Google Scholar] [CrossRef] [PubMed]
- Acosta, M.; Novak, N.; Rojas, V.; Patel, S.; Vaish, R.; Koruza, J.; Rossetti, G.A., Jr.; Rödel, J. BaTiO3-based piezoelectrics: Fundamentals, current status, and perspectives. Appl. Phys. Rev. 2017, 4, 041305. [Google Scholar] [CrossRef]
- Bhalla, A.S.; Guo, R.; Roy, R. The perovskite structure—A review of its role in ceramic science and technology. Mater. Res. Innovat. 2000, 4, 3–26. [Google Scholar] [CrossRef]
- Sitko, D.; Konieczny, K.; Piekarczyk, W.; Czaja, P.; Suchanicz, J.; Antonova, A.; Stemberg, A. Physical properties and microstructure characteristics of (1−x)BaTiO3−xCaTiO3 system. Phase Transit. 2018, 91, 1044–1050. [Google Scholar] [CrossRef]
- Inbar, I.; Cohen, R.E. Origin of ferroelectricity in LiNbO3 and LiTaO3. Ferroelectrics 1997, 194, 83–95. [Google Scholar] [CrossRef]
- Bachiri, A.E.; Bennani, F.; Bousselamti, M. Dielectric and electrical properties of LiNbO3 ceramics. J. Asian Ceram. Soc. 2016, 4, 46–54. [Google Scholar] [CrossRef]
- Mgbemerea, H.E.; Schneider, G.A. Effect of La and Mn on the properties of alkaline niobate-based piezoelectric ceramics. J. Asian Ceram. Soc. 2016, 4, 97–101. [Google Scholar] [CrossRef]
- Wang, X.; Wu, J.; Xiao, D.; Zhu, J.; Cheng, X.; Zheng, T.; Zhang, B.; Lou, X.; Wang, X. Giant piezoelectricity in potassium sodium niobate lead-free ceramics. J. Am. Chem. Soc. 2014, 136, 2905–2910. [Google Scholar] [CrossRef] [PubMed]
- Dwivedi, S.; Pareek, T.; Kumar, S. Structure, dielectric, and piezoelectric properties of K0.5Na0.5NbO3-based lead free ceramics. RSC Adv. 2018, 43, 24286–24296. [Google Scholar] [CrossRef]
- Kozielski, L.; Feliksik, K.; Wodecka-Duś, B.; Szalbot, D.; Tutu, S. Hot pressed K0.5Na0.5NbO3 material for piezoelectric transformer for energy harvesting. Arch. Metall. Mater. 2018, 63, 1275–1280. [Google Scholar] [CrossRef]
- Konieczny, K.; Czaja, P. Electrical and thermal properties Na1-xLixNbO3 (x = 0.08, 0.1 and 0.2) ceramics near the morphotropic phase boundary region. Arch. Metall. Mater. 2017, 62, 539–544. [Google Scholar] [CrossRef][Green Version]
- Choudhury, B.K.; Rao, K.V.; Choudhury, R.N.P. Dielectric properties of SrTiO3 single crystals subjected to high electric fields and later irradiated with X-rays or γ-rays. J. Mater. Sci. 1989, 24, 3469–3474. [Google Scholar] [CrossRef]
- Zhu, Q.A.; Xu, J.G.; Xiang, S.; Chen, L.X.; Tan, Z.G. Preparation of SrTiO3 nanoparticles by the combination of solid phase grinding and low temperature calcining. Mater. Lett. 2011, 65, 873–875. [Google Scholar] [CrossRef]
- Deshmukh, V.V.; Ravikumar, C.R.; Anil Kumar, M.R.; Ghotekar, S.; Kumar, A.N.; Jahagirdar, A.A.; Ananda Murthy, H.C. Structure, morphology and electrochemical properties of SrTiO3 perovskite: Photocatalytic and supercapacitor applications. Environ. Chem. Ecotoxicol. 2021, 3, 241–248. [Google Scholar] [CrossRef]
- Liu, X.; Tan, X. Giant strains in non-textured (Bi1/2Na1/2)TiO3-Based lead free ceramics. Adv. Mater. 2016, 28, 574–578. [Google Scholar] [CrossRef] [PubMed]
- Suchanicz, J. Time evolution of the phase transformation in Na0.5Bi0.5TiO3. Ferroelectrics 1997, 200, 319–325. [Google Scholar] [CrossRef]
- Karpierz, M.; Suchanicz, J.; Konieczny, K.; Śmiga, W.; Czaja, P.; Sokołowski, M. Effects of PbTiO3 doping on electric properties of Na0.5Bi0.5TiO3 ceramics. Phase Transit. 2017, 90, 65–71. [Google Scholar] [CrossRef]
- Dutkiewicz, E.M.; Suchanicz, J.; Bovtun, V.; Konieczny, K.; Czaja, P.; Kluczewska, K.; Handke, B.; Antonova, A.; Sternberg, A. Raman spectra and anomalies of dielectric properties and thermal expansion of lead-free (1 − x)Na0.5Bi0.5TiO3-xSrTiO3 (x = 0, 0.08 and 0.1) ceramics. Phase Transit. 2016, 89, 823–828. [Google Scholar] [CrossRef]
- Jones, G.O.; Thomas, P.A. Investigation of the structure and phase transitions in the novel A-site substituted distorted perovskite compound Na0.5Bi0.5TiO3. Acta Crystallogr. B 2002, 58, 168–178. [Google Scholar] [CrossRef]
- Zannen, M.; Lahmar, A.; Dietze, M.; Khemakhem, H.; Kabadou, A.; Es-Souni, M. Structural, optical and electrical properties of Nd-doped Na0.5Bi0.5TiO3. Mater. Chem. Phys. 2012, 134, 829–833. [Google Scholar] [CrossRef]
- Zannen, M.; Lahmar, A.; Khemakhem, H.; Marssib, M.E. Energy storage property in lead free Gd doped Na0.5Bi0.5TiO3 ceramics. Solid State Commun. 2016, 245, 1–4. [Google Scholar] [CrossRef]
- Pal, V.; Dwivedi, R.K.; Thakur, O.P. Effect of processing on the synthesis and dielectric behavior of bismuth sodium titanate ceramics. J. Ceram. 2013, 2013, 261914. [Google Scholar] [CrossRef]
- Smolenskii, G.A.; Isupov, V.A.; Agranovskaya, A.I.; Krainik, N.N. New ferroelectrics of complex composition. Sov. Phys. Solid State 1961, 2, 2651–2654. [Google Scholar]
- Ivanov, V.V.; Kapyshev, A.G.; Venevcev, Y.N.; Zhdanov, G.S. Rentgenovskoye opredeleniye elementarnyh jacejek K0.5Bi0.5TiO3 i Na0.5Bi0.5TiO3 i wysokotemperaturnyh fazowyh perechodov v K0.5Bi0.5TiO3. Akad. Nauk SSSR 1962, 26, 354–356. (In Russian) [Google Scholar]
- Gadziev, M.S.; Abiev, A.K.; Isupov, V.A.; Ismailzade, I.G. Piroelectriceskye svojstva tverdyh rastvorov Na0.5Bi0.5TiO3-K0.5Bi0.5TiO3. Fiz. Tv. Tela 1985, 27, 2507–2508. (In Russian) [Google Scholar]
- Suchanicz, J.; Mercurio, J.P.; Säid, S. Axial pressure effect on dielectric and ferroelectric properties of K0.5Bi0.5TiO3 ceramic. Ferroelectrics 2003, 290, 169–175. [Google Scholar] [CrossRef]
- López-Juárez, R.; González, F.; Villafuerte-Castrejón, M.E. Lead-Free Ferroelectric Ceramics with Perovskite Structure. In Ferroelectrics Material Aspects; Lallart, M., Ed.; IntechOpen: Rijeka, Croatia, 2011; Chapter 15; pp. 305–330. ISBN 978-953-307-332-3. [Google Scholar] [CrossRef][Green Version]
- Li, Z.F.; Wang, C.L.; Zhong, W.L.; Li, J.C.; Zhao, M.L. Dielectric relaxor properties of K0.5Bi0.5TiO3 ferroelectrics prepared by sol-gel method. J. Appl. Phys. 2003, 94, 2548–2552. [Google Scholar] [CrossRef]
- Vijaya Bhaskar Rao, P.; Ramana, E.V.; Bhima Sankaram, T. Electrical properties of K0.5Bi0.5TiO3. J. Alloys Compd. 2009, 467, 293–298. [Google Scholar] [CrossRef]
- Köenig, J.; Spreitzer, M.; Jančar, B.; Suvorov, D.; Samardžija, Z.; Popovič, A. The thermal decomposition of K0.5Bi0.5TiO3 ceramics. J. Eur. Ceram. Soc. 2009, 29, 1695–1701. [Google Scholar] [CrossRef]
- Köenig, J.; Suvorov, D. Evolution of the electrical properties of K0.5Bi0.5TiO3 as a result of prolonged sintering. J. Eur. Ceram. Soc. 2015, 35, 2791–2799. [Google Scholar] [CrossRef]
- Suchanicz, J.; Kania, A.; Czaja, P.; Budziak, A.; Niewiadomski, A. Structural, thermal, dielectric and ferroelectric properties of K0.5Bi0.5TiO3 ceramics. J. Eur. Ceram. Soc. 2018, 38, 567–574. [Google Scholar] [CrossRef]
- Czaja, P.; Suchanicz, J.; Bochenek, D.; Dercz, G.; Piasecki, M.; Hudy, W. High-density lead-free K0.5Bi0.5TiO3 ceramics: Preparation, mechanical and dielectric properties. Phase Transit. 2018, 91, 1051–1059. [Google Scholar] [CrossRef]
- Czaja, P.; Suchanicz, J.; Wąs, M.; Kluczewska-Chmielarz, K.; Dziubaniuk, M. The microstructure and dielectric properties of a solid solutions (1−x)K0.5Bi0.5TiO3−xSrTiO3 for x = 0.001 ceramics. Proc. SPIE 2019, 11054, 11054N-1–11054N-6. [Google Scholar] [CrossRef]
- Hagiwara, M.; Fujihara, S. Effect of thermal history on stability of the relaxor state in (Bi1/2K1/2)TiO3 ceramics. Jpn. J. Appl. Phys. 2017, 56, 10PC03-1–10PC03-5. [Google Scholar] [CrossRef]
- Czaja, P.; Suchanicz, J.; Piasecki, M.; Kluczewska, K.; Hudy, W. The influence of technological on dielectric and optical properties of K0.5Bi0.5TiO3 ceramics. Ferroelectrics 2019, 538, 91–95. [Google Scholar] [CrossRef]
- Czaja, P.; Suchanicz, J.; Bochenek, D.; Piekarczyk, W.; Jeleń, P.; Michniowski, J. Influence of milling time on the synthesis, microstructure and mechanical properties of lead-free K0.5Bi0.5TiO3 ceramics. Integr. Ferroelectr. 2019, 196, 105–111. [Google Scholar] [CrossRef]
- Buhrer, C.F. Some properties of bismuth perovskites. J. Chem. Phys. 1962, 36, 798–803. [Google Scholar] [CrossRef]
- Banerjee, K.; Asthana, S. Resolution of ambiguity between the depolarization and ferroelectric–relaxor transition temperature through dielectric studies in lead-free perovskite K0.5Bi0.5TiO3. Mater. Chem. Phys. 2019, 231, 344–350. [Google Scholar] [CrossRef]
- Megriche, A.; Lebrun, L.; Troccaz, N. Materials of Bi4Ti3O12 type high temperature acoustic piezosensors. Sens. Actuators A 1999, 78, 88–91. [Google Scholar] [CrossRef]
- Chaudhari, V.A.; Bichlide, G.K. Synthesis, structural and electrical properties of pure PbTiO3 ferroelectric ceramics. Smart Mater. Res. 2013, 2013, 147524. [Google Scholar] [CrossRef]
- Mesrar, M.; Elbasset, A.; Echatoui, N.S.; Abdi, F.; Lamcharfi, T. Studies of Structural, Dielectric, and Impedance Spectroscopy of KBT-Modified Sodium Bismuth Titanate Lead-Free Ceramics. ACS Omega 2022, 7, 37142–37163. [Google Scholar] [CrossRef]
- Guo, Z.; Zhu, M.; Zheng, M.; Hou, Y. Excellent sintering ability of Bi(Mn2/3Sb1/3)O3—Added (B1/2K1/2)TiO3 lead-free piezoceramics with high density and low dielectric loss. J. Ceram. Soc. Jpn. 2019, 127, 215–220. [Google Scholar] [CrossRef]
- Piekarczyk, J.; Hennicke, H.W.; Pampuch, R. The determining the elastic constant of porous zin ferrite materials. Cfi/Ber. DKG 1982, 59, 227. [Google Scholar]
- Williamson, G.K.; Hall, W.H. X-ray line broadening from filed aluminum and wolfram. Acta Metall. 1953, 1, 22–31. [Google Scholar] [CrossRef]
- Young, R.A. The Rietveld Method; Oxford University Press: Oxford, UK, 1993; Chapter 6. [Google Scholar]
- McCusker, L.B.; von Dreele, R.B.; Cox, D.E.; Louer, D.; Scardi, P. Rietveld refinement guidelines. J. Appl. Crystallogr. 1999, 32, 36–50. [Google Scholar] [CrossRef]
- Karolus, M.; Łągiewka, E. Crystallite size and lattice strain in nanocrystalline Ni-Mo alloys studied by Rietveld Refinement. J. Alloys Compd. 2004, 367, 235–238. [Google Scholar] [CrossRef]
- Karolus, M. Applications of Rietveld refinement in Fe-B-Nb alloy structure studies. J. Mater. Process. Technol. 2006, 175, 246–250. [Google Scholar] [CrossRef]
- Clark, S.J.; Segall, M.D.; Pickard, C.J.; Hasnip, P.J.; Probert, M.J.; Refson, K.; Payne, M.C. First principles methods using CASTEP. Z. Für Krist. 2005, 220, 567–570. [Google Scholar] [CrossRef]
- Refson, K.; Tulip, P.R.; Clark, S.J. Variational density—Functional perturbation theory for dielectrics and lattice dynamics. Phys. Rev. B 2006, 73, 155114. [Google Scholar] [CrossRef]
- Smazhevskaya, E.G.; Fedulov, S.A.; Rivkin, V.I.; Rodicheva, E.N.; Podol’ner, N.A.; Belaya, V.S.; Al’bats, V.M. Study of the PbTiO3—(K0.5Bi0.5)TiO3 and PbTiO3—(Na0.5Bi0.5)TiO3 systems. IZV Akad. Nauk SSSR Neorgan. Mater. 1966, 2, 1850–1855. [Google Scholar]
- Mesrar, M.; Lamcharfi, T.; Echatoui, N.-S.; Abdi, F. (1 − x)(Na0.5Bi0.5)TiO3-x(K0.5Bi0.5)TiO3 ceramics near morphotropic phase boundary: A structural and electrical study. Materialia 2022, 22, 101404. [Google Scholar] [CrossRef]
- Perdew, J.P.; Burke, K.; Ernzerhof, M. Generalized gradient approximation made simple. Phys. Rev. Lett. 1996, 77, 3865–3868. [Google Scholar] [CrossRef]
- Zhang, Y.; Wang, W. Comment on “Generalized Gradient Approximation Made Simple”. Phys. Rev. Lett. 1998, 80, 890. [Google Scholar] [CrossRef]
- Rappe, A.M.; Rabe, K.M.; Kaxiras, E.; Joannopulos, J.D. Optimized pseudopotentials. Phys. Rev. B 1990, 41, 1227, Erratum in Phys. Rev. B 1991, 44, 13175–13176. [Google Scholar] [CrossRef]
- Monkhorst, H.J.; Pack, J.D. Special points for Brillouin—Zone integrations. Phys. Rev. B 1976, 13, 5188–5192. [Google Scholar] [CrossRef]
- Milman, V.; Perlov, A.; Refson, K.; Clark, S.J.; Gavartin, J.; Winkler, B. Structural, electronic and vibrational properties of tetragonal zirconia under pressure: A density functional theory study. J. Phys. Condens. Matter 2009, 48, 485404. [Google Scholar] [CrossRef]
- Michalska, D.; Wysokiński, R. The prediction of Raman spectra of platinum (II) anticancer drugs by density functional theory. Chem. Phys. Lett. 2005, 403, 211–217. [Google Scholar] [CrossRef]
- Aroyo, M.I.; Perez-Mato, J.M.; Orobengoa, D.; Tasci, E.; de la Flor, G.; Kirov, A. Crystallography online: Bilbao Crystallographic Server. Bulg. Chem. Commun. 2011, 43, 183–197. [Google Scholar]
- Aroyo, M.I.; Perez-Mato, J.M.; Capillas, C.; Kroumova, E.; Ivantchev, S.; Madariaga, G.; Kirov, A.; Wondratschek, H. Bilbao Crystallographic Server: I. Databases and crystallographic computing programs. Z. Kristallogr. 2011, 221, 15–27. [Google Scholar] [CrossRef]
- Wang, Z.; Xu, W.; Peng, H.; Tang, X. Polyanion modulated evolution of perovskite BiFeO3 microspheres to microcubes by a microwave-assisted hydrothermal method. J. Mater. Res. 2013, 28, 1498–1504. [Google Scholar] [CrossRef]
- Chena, H.; Lia, X.; Wana, R.; Walter, S.K.; Leid, Y. A DFT study of the electronic structures and optical properties of (Cr, C) co-doped rutile TiO2. Chem. Phys. 2018, 501, 60–67. [Google Scholar] [CrossRef]
- Jmol: An Open-Source Java Viewer for Chemical Structures in 3D. Available online: http://www.jmol.org/ (accessed on 27 November 2023).
- Zhao, J.; Guo, C.; Li, T.; Songa, D.; Sub, X. Near-infrared down-conversion and energy transfer mechanism in Yb3+-doped Ba2LaV3O11 phosphors. Phys. Chem. Chem. Phys. 2015, 17, 26330–26337. [Google Scholar] [CrossRef] [PubMed]
- Dung, D.D.; Thiet, D.V.; Odkuu, D.; Cuong, L.V.; Tuan, N.H.; Cho, S. Room-temperature ferromagnetism in Fe-doped wide band gap ferroelectric Bi0.5K0.5TiO3 nanocrystals. Mater. Lett. 2015, 156, 129–133. [Google Scholar] [CrossRef]
- Golovnev, N.N.; Molokeev, M.S.; Vereshchagin, S.N.; Atuchin, V.V.; Sidorenko, M.Y.; Dmitrushkov, M.S. Crystal structure and properties of the precursor [Ni(H2O)6](HTBA)2·2H2O and the complexes M(HTBA)2(H2O)2 (M = Ni, Co, Fe). Polyhedron 2014, 70, 71–76. [Google Scholar] [CrossRef]
- Denisenko, Y.G.; Molokeev, M.S.; Oreshonkov, A.S.; Krylov, A.S.; Aleksandrovsky, A.S.; Azarapin, N.O.; Andreev, O.V.; Razumkova, I.A.; Atuchin, V.V. Crystal Structure, Vibrational, Spectroscopic and Thermochemical Properties of Double Sulfate Crystalline Hydrate [CsEu(H2O)3(SO4)2]·H2O and Its Thermal Dehydration Product CsEu(SO4)2. Crystals 2021, 11, 1027. [Google Scholar] [CrossRef]
- Martirena, H.T.; Burfoot, J.C. Grain-size effects on properties of some ferroelectric ceramics. J. Phys. C Solid State Phys. 1974, 7, 3182. [Google Scholar] [CrossRef]
- Kumar, S.; Supriya, S.; Kar, M. Multiple electrical phase transitions in Al substituted barium hexaferrite. J. Appl. Phys. 2017, 122, 224106. [Google Scholar] [CrossRef]
- Nayak, P.; Badapanda, T.; Kumar Singh, A.; Panigrahi, S. An approach for correlating the structural and electrical properties of Zr4+-modified SrBi4Ti4O15/SBT ceramic. RSC Adv. 2017, 7, 16319. [Google Scholar] [CrossRef]
- Kaur, R.; Sharma, V.; Kumar, M.; Singh, M.; Singh, A. Conductivity relaxation in Pb0.9Sm0.10Zr0.405Ti0.495Fe0.10O3 solid solution. J. Alloys Compd. 2018, 735, 1472–1479. [Google Scholar] [CrossRef]
- Dagar, S.; Hooda, A.; Khasa, S.; Malik, M. Structural refinement, investigation of dielectric and magnetic properties of NBT doped BaFe12O19 novel composite system. J. Alloys Compd. 2020, 826, 154214. [Google Scholar] [CrossRef]
- Suchanicz, J.; Kluczewska, K.; Czaja, P.; Kania, A.; Konieczny, K.; Handke, B.; Sokołowski, M.; Trubitsyne, M.P.; Kruzina, T.V. The influence of electric poling on structural, thermal, dielectric and ferroelectric properties of Na0.5Bi0.5TiO3 ceramics. Ceram. Int. 2017, 43, 17194–17201. [Google Scholar] [CrossRef]
- Szafraniak-Wiza, I.; Dzik, J.; Bochenek, D.; Szalbot, D.; Adamczyk-Habrajska, M. Preparation and dielectric properties K1/2Na1/2NbO3 ceramics obtained from mechanically activated powders. Materials 2020, 13, 401. [Google Scholar] [CrossRef] [PubMed]
- Ebothe, J.; Michel, J.; Kityk, I.V.; Lakshminarayana, G.; Yanchuk, O.M.; Marchuk, O.V. Influence of CdS nanoparticles grain morphology on laser-induced absorption. Phys. E Low-Dimens. Syst. Nanostruct. 2018, 100, 69–72. [Google Scholar] [CrossRef]
- Zhang, J.; Qi, M.; Zhang, G.; Hu, H.; Xie, L.; Ma, X. Co-production of hydrogen and fibrous carbons by methane decomposition using K2CO3/carbon hybrid as the catalyst. Int. J. Hydrogen Energy 2017, 42, 11047–11052. [Google Scholar] [CrossRef]
- Lehman, R.L.; Gentry, J.S.; Glumac, N.G. Thermal stability of potassium carbonate near its melting point. Thermochim. Acta 1998, 316, 1–9. [Google Scholar] [CrossRef]
















| Specimen | Ti/K | Ti/Bi | K/Bi |
|---|---|---|---|
| KBT-8h | 2.05(4) | 1.69(3) | 0.82(4) |
| KBT-16h | 2.01(3) | 1.68(7) | 0.83(8) |
| KBT-24h | 2.04(1) | 1.73(2) | 0.84(8) |
| Sample | a (Å) | c (Å) | c/a | V (Å3) | D (Å) |
|---|---|---|---|---|---|
| KBT-8h | 3.9233(3) | 3.9849(7) | 1.015 | 61.34 | 397 |
| KBT-16h | 3.9290(1) | 3.9783(2) | 1.012 | 61.41 | 380 |
| KBT-24h | 3.9220(3) | 3.9966(7) | 1.019 | 61.47 | 304 |
| Atom | Wyckoff Position | x | y | z |
|---|---|---|---|---|
| K(1) | 2a | 0 | 0 | 0 |
| K(2) | 2c | 0 | 1/2 | 0 |
| Bi(3) | 2b | 1/2 | 1/2 | 0 |
| Bi(4) | 2c | 0 | 1/2 | 1/2 |
| O(5) | 4d | 1/4 | 0 | 0.25525 |
| O(6) | 4d | 0 | 1/4 | 0.25525 |
| O(7) | 4e | 1/4 | 1/2 | 0.25525 |
| O(8) | 4e | 1/4 | 1/2 | 0.75525 |
| O(9) | 8f | 1/4 | 1/4 | 0.01220 |
| Ti(10) | 8f | 1/4 | 1/4 | 0.23880 |
| Bonds (Å) | Initial State | Equilibrium | Angles (deg) | Initial State | Equilibrium |
|---|---|---|---|---|---|
| K1–K4 | 5.597 | 5.600 | * Ti36–O24–Bi5 | 92.72 | 99.01 |
| K4–O16 | 2.829 | 2.876 | * K4–Bi8–K7 | 90.00 | 95.67 |
| K4–O14 | 2.769 | 2.742 | * K6–O24–Bi5 | 91.22 | 88.21 |
| * K4–Bi3 | 4.000 | 3.608 | Ti34–O20–Ti38 | 172.31 | 161.12 |
| * Ti36–O24 | 1.962 | 1.886 | O24–Ti36–O16 | 172.31 | 172.22 |
| K7–Ti36 | 3.468 | 3.422 | K1–K4–K1 | 91.23 | 90.00 |
| Bi8–K4 | 3.915 | 3.930 | * Ti36–Bi8–O28 | 32.59 | 41.57 |
| * Bi3–O10 | 2.769 | 2.338 | * O10–Bi3–O14 | 87.58 | 110.91 |
| * Ti36–O11 | 1.962 | 1.797 | O14–K4–Bi2 | 134.99 | 134.27 |
| * Bi3–O13 | 2.839 | 3.329 | Ti36–O15–K7 | 92.72 | 88.92 |
| Ceramics | 1 kHz | 100 kHz | 1 MHz | |||
|---|---|---|---|---|---|---|
| εRT | εm | εRT | εm | εRT | εm | |
| KBT-8h | 844 ± 2 | 8854 ± 2 | 657 ± 2 | 6368 ± 2 | 594 ± 2 | 5825 ± 2 |
| KBT-16h | 867 ± 2 | 8346 ± 2 | 636 ± 2 | 5273 ± 2 | 570 ± 2 | 4708 ± 2 |
| KBT-24h | 1074 ± 2 | 15,559 ± 2 | 805 ± 2 | 7453 ± 2 | 712 ± 2 | 6502 ± 2 |
| KBT [45] | 773 | 6118 | 571 | 3026 | 532 | 2708 |
| KBT [49] | 1112 | 5116 | 881 | 4537 | 779 | 4335 |
| NBT [87] | 532 | 7481 | 480 | 4101 | 461 | 3869 |
| PTO [54] | 1100 | 4200 | 700 | 2300 | 300 | 1170 |
Disclaimer/Publisher’s Note: The statements, opinions and data contained in all publications are solely those of the individual author(s) and contributor(s) and not of MDPI and/or the editor(s). MDPI and/or the editor(s) disclaim responsibility for any injury to people or property resulting from any ideas, methods, instructions or products referred to in the content. |
© 2024 by the authors. Licensee MDPI, Basel, Switzerland. This article is an open access article distributed under the terms and conditions of the Creative Commons Attribution (CC BY) license (https://creativecommons.org/licenses/by/4.0/).
Share and Cite
Czaja, P.; Szostak, E.; Hetmańczyk, J.; Zachariasz, P.; Majda, D.; Suchanicz, J.; Karolus, M.; Bochenek, D.; Osińska, K.; Jędryka, J.; et al. Thermal Stability and Non-Linear Optical and Dielectric Properties of Lead-Free K0.5Bi0.5TiO3 Ceramics. Materials 2024, 17, 2089. https://doi.org/10.3390/ma17092089
Czaja P, Szostak E, Hetmańczyk J, Zachariasz P, Majda D, Suchanicz J, Karolus M, Bochenek D, Osińska K, Jędryka J, et al. Thermal Stability and Non-Linear Optical and Dielectric Properties of Lead-Free K0.5Bi0.5TiO3 Ceramics. Materials. 2024; 17(9):2089. https://doi.org/10.3390/ma17092089
Chicago/Turabian StyleCzaja, Piotr, Elżbieta Szostak, Joanna Hetmańczyk, Piotr Zachariasz, Dorota Majda, Jan Suchanicz, Małgorzata Karolus, Dariusz Bochenek, Katarzyna Osińska, Jarosław Jędryka, and et al. 2024. "Thermal Stability and Non-Linear Optical and Dielectric Properties of Lead-Free K0.5Bi0.5TiO3 Ceramics" Materials 17, no. 9: 2089. https://doi.org/10.3390/ma17092089
APA StyleCzaja, P., Szostak, E., Hetmańczyk, J., Zachariasz, P., Majda, D., Suchanicz, J., Karolus, M., Bochenek, D., Osińska, K., Jędryka, J., Kityk, A., & Piasecki, M. (2024). Thermal Stability and Non-Linear Optical and Dielectric Properties of Lead-Free K0.5Bi0.5TiO3 Ceramics. Materials, 17(9), 2089. https://doi.org/10.3390/ma17092089

