Effect of Public Fillers on Cement-Stabilized Recycled Mixes of Road Performance: Mechanical Properties, Microstructure, and Durability
Abstract
1. Introduction
2. Materials and Methods
2.1. Raw Materials
2.1.1. Aggregate
2.1.2. Cement
2.2. Testing Methods
2.2.1. Mixture Design
2.2.2. Test Design
2.2.3. Sample Preparation and Curing
2.2.4. Mechanical Property Test
2.2.5. Compressive Rebound Modulus
2.2.6. Freeze–Thaw Test
2.2.7. Dry Shrinkage Test
2.2.8. Micro-Properties Characterization
3. Results and Discussion
3.1. Vibration Compaction Test
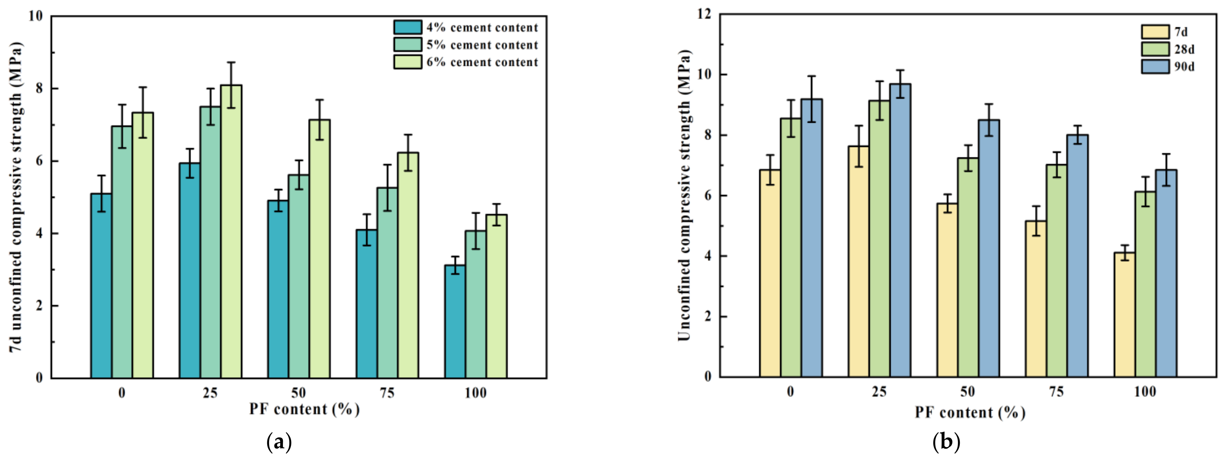
3.2. Unconfined Compressive Strength
3.3. Splitting Strength
3.4. Compressive Rebound Modulus
3.5. Dry Shrinkage Property
3.6. Freezing Resistance Test
3.7. Mechanism Analysis
3.7.1. XRD Analysis
3.7.2. SEM Analysis
3.7.3. FTIR and MIP Analysis
4. Conclusions
- The unconfined compressive strength of cement-stabilized recycled mixture with varying PF content met the base strength requirements of heavy, medium, and light traffic pavement on secondary and sub-secondary roads in China. The unconfined compressive strength and resilience modulus followed a similar trend, peaking at 25% PF content, indicating excellent filler material properties of public fill.
- With an appropriate PF content, paste reaction products mainly comprised C(N)-A-S-H, hydrotalcite, Ca(OH)2, and CaCO3. As PF replacement increased from 0% to 25%, gel products gradually stacked and cemented together with unreacted particles, improving microstructure compactness. Formation of these components reduced dry shrinkage strain and effectively inhibited reflection crack formation. However, when PF content increased from 50% to 100%, unreacted PF increased and adhered to the surface of the reaction product, resulting in a loose and rough microstructure.
- Creating an affordable, value-added, multi-component material in civil engineering that extensively incorporates construction waste can effectively mitigate waste accumulation issues. Furthermore, it introduces innovative civil construction materials that yield substantial social, economic, and environmental advantages.
Author Contributions
Funding
Institutional Review Board Statement
Informed Consent Statement
Data Availability Statement
Conflicts of Interest
References
- Zhang, P.; Wang, X.; Wang, J.; Zhang, T. Workability and Durability of Concrete Incorporating Waste Tire Rubber: A Review. J. Renew. Mater. 2023, 11, 745–776. [Google Scholar] [CrossRef]
- Patra, I.; Al-Awsi, G.R.L.; Hasan, Y.M.; Almotlaq, S.S.K. Mechanical properties of concrete containing recycled aggregate from construction waste. Sustain. Energy Technol. Ass. 2022, 53, 102722. [Google Scholar] [CrossRef]
- Li, V.C.; Leung, C.K. Steady-state and multiple cracking of short random fiber composites. J. Eng. Mech. 1992, 118, 2246–2264. [Google Scholar] [CrossRef]
- De Magalhães, R.F.; de Moura Ferreira Danilevicz, Â.; Abreu Saurin, T. Reducing construction waste: A study of urban infrastructure projects. Waste Manag. 2017, 67, 265–277. [Google Scholar] [CrossRef] [PubMed]
- Lau, H.H.; Whyte, A.; Law, P. Composition and characteristics of construction waste generated by residential housing project. Int. J. Environ. Res. 2008, 2, 261–268. [Google Scholar]
- Chakravarthi, S.; Shankar, S. Utilization of recycled aggregates in cement-treated bases: A state-of-the-art review. Innov. Infrastruct. Solut. 2021, 6, 191. [Google Scholar] [CrossRef]
- Li, R.; Zhou, Y.; Li, C.; Li, S.; Huang, Z. Recycling of industrial waste iron tailings in porous bricks with low thermal conductivity. Constr. Build. Mater. 2019, 213, 43–50. [Google Scholar] [CrossRef]
- Zhu, B.; Pan, J.; Li, J.; Wang, P.; Zhang, M. Relationship between microstructure and strain-hardening behaviour of 3D printed engineered cementitious composites. Cem. Concr. Compos. 2022, 133, 104677. [Google Scholar] [CrossRef]
- Singh, M.; Srivastava, A.; Bhunia, D. An investigation on effect of partial replacement of cement by waste marble slurry. Constr. Build. Mater. 2017, 134, 471–488. [Google Scholar] [CrossRef]
- Wu, Y.; Bian, X.; Liu, J.; Chi, R.; Chen, X. Performance improvement and microstructure characterization of cement-stabilized roadbase materials containing phosphogypsum/recycled concrete aggregate. Materials 2023, 16, 6607. [Google Scholar] [CrossRef]
- Cai, Z.; Liu, F.; Yu, J.; Yu, K.; Tian, L. Development of ultra-high ductility engineered cementitious composites as a novel and resilient fireproof coating. Constr. Build. Mater. 2021, 288, 123090. [Google Scholar] [CrossRef]
- De Maio, U.; Gaetano, D.; Greco, F.; Lonetti, P.; Nevone Blasi, P.; Pranno, A. The reinforcing effect of nano-modified epoxy resin on the failure behavior of FRP-plated RC structures. Buildings 2023, 13, 1139. [Google Scholar] [CrossRef]
- De Maio, U.; Gaetano, D.; Greco, F.; Lonetti, P.; Pranno, A. The damage effect on the dynamic characteristics of FRP-strengthened reinforced concrete structures. Compos. Struct. 2023, 309, 116731. [Google Scholar] [CrossRef]
- Somé, S.C.; Feeser, A.; Pavoine, A. Numerical and experimental investigation of mode I cracking of asphalt concrete using semi-circular bending test. Constr. Build. Mater. 2018, 169, 34–46. [Google Scholar] [CrossRef]
- Lepech, M.D.; Li, V.C. Water permeability of engineered cementitious composites. Cem. Concr. Compos. 2009, 31, 744–753. [Google Scholar] [CrossRef]
- Ranjith, S.; Venkatasubramani, R.; Sreevidya, V. Comparative study on durability properties of engineered cementitious composites with polypropylene fiber and glass fiber. Arch. Civ. Eng. 2017, 63, 83–101. [Google Scholar] [CrossRef]
- Arce, G.A.; Noorvand, H.; Hassan, M.M.; Rupnow, T.; Dhakal, N. Feasibility of low fiber content PVA-ECC for jointless pavement application. Constr. Build. Mater. 2021, 268, 121131. [Google Scholar] [CrossRef]
- Li, Q.; Hu, J. Mechanical and durability properties of cement-stabilized recycled concrete aggregate. Sustainability 2020, 12, 7380. [Google Scholar] [CrossRef]
- Xuan, D.X.; Houben, L.J.M.; Molenaar, A.A.A.; Shui, Z.H. Mechanical properties of cement-treated aggregate material—A review. Mater. Des. 2012, 33, 496–502. [Google Scholar] [CrossRef]
- Zhang, J.; Li, C.; Ding, L.; Li, J. Performance evaluation of cement stabilized recycled mixture with recycled concrete aggregate and crushed brick. Constr. Build. Mater. 2021, 296, 123596. [Google Scholar] [CrossRef]
- Disfani, M.M.; Arulrajah, A.; Haghighi, H.; Mohammadinia, A.; Horpibulsuk, S. Flexural beam fatigue strength evaluation of crushed brick as a supplementary material in cement stabilized recycled concrete aggregates. Constr. Build. Mater. 2014, 68, 667–676. [Google Scholar] [CrossRef]
- Zhao, X.; Dong, Q.; Chen, X.; Ni, F. Meso-cracking characteristics of rubberized cement-stabilized aggregate by discrete element method. J. Clean. Prod. 2021, 316, 128374. [Google Scholar] [CrossRef]
- Farhan, A.H.; Dawson, A.R.; Thom, N.H. Compressive behaviour of rubberized cement-stabilized aggregate mixtures. Constr. Build. Mater. 2020, 262, 120038. [Google Scholar] [CrossRef]
- Miao, Y.; Yu, W.; Hou, Y.; Liu, C.; Wang, L. Influences of clay brick particles on the performance of cement stabilized recycled aggregate as pavement base. Sustainability 2018, 10, 3505. [Google Scholar] [CrossRef]
- You, L.; Yan, K.; Yue, Y.; Yu, T. Comparisons of natural and enhanced asphalt mixtures containing recycled cement-stabilized macadam as aggregates. J. Mater. Civ. Eng. 2020, 32, 05020003. [Google Scholar] [CrossRef]
- Feng, D.; Yi, J.; Wang, D.; Chen, L. Impact of salt and freeze-thaw cycles on performance of asphalt mixtures in coastal frozen region of China. Cold. Reg. Sci. Technol. 2010, 62, 34–41. [Google Scholar] [CrossRef]
- Deng, C.; Jiang, Y.; Tian, T.; Chen, Z. Resilient modulus and influencing factors of vertical vibration compacted cement-stabilized macadam. Int. J. Pavement Eng. 2021, 22, 1435–1445. [Google Scholar] [CrossRef]
- Guotang, Z.; Wei, S.; Guotao, Y.; Li, P.; Degou, C.; Jinyang, J.; Hao, H. Mechanism of cement on the performance of cement stabilized aggregate for high speed railway roadbed. Constr. Build. Mater. 2017, 144, 347–356. [Google Scholar] [CrossRef]
- Meng, T.; Lian, S.; Ying, K.; Yu, H. Feasibility study of cement-stabilized materials using 100% mixed recycled aggregates from perspectives of mechanical properties and microstructure. Rev. Adv. Mater. Sci. 2021, 60, 490–502. [Google Scholar] [CrossRef]
- JTG/T F20-2015; Technical Guidelines for Construction of Highway Roadbases. Ministry of Transport: Beijing, China, 2015.
- JTG E51-2009; Test Methods of Materials Stabilized with Inorganic Binders for Highway Engineering. Ministry of Transport: Beijing, China, 2009.
- Maglad, A.M.; Laft, Y.J.; Majeed, S.S.; Hafez, R.D.A. Enhancement of the mechanical properties of green concrete bricks modified with nanomaterials from cement kiln dust and red brick dust. Case Stud. Constr. Mater. 2024, 20, e02911. [Google Scholar] [CrossRef]
- Statkauskas, M.; Vaičiukynienė, D.; Grinys, A.; Borg, R.P. Mechanical properties and microstructure of ternary alkali activated system: Red brick waste, metakaolin and phosphogypsum. Constr. Build. Mater. 2023, 387, 131648. [Google Scholar] [CrossRef]
- Liang, G.; Luo, L.; Yao, W. Reusing waste red brick powder as partial mineral precursor in eco-friendly binders: Reaction kinetics, microstructure and life-cycle assessment. Resour. Conserv. Recycl. 2022, 185, 106523. [Google Scholar] [CrossRef]
- Jansen, D.; Lothenbach, B. Thermodynamic prediction of complex hydration processes and verification by experiments for the Ca-Al-C (CA, calcite, water) and Ca-Al-S (ye’elimite, gypsum, water) systems. Cem. Concr. 2023, 174, 107337. [Google Scholar] [CrossRef]
- Gou, M.; Zhao, M.; Zhou, L.; Zhao, J.; Hou, W.; Ma, W.; Hou, Z. Hydration and mechanical properties of FGD gypsum-cement-mineral powder composites. J. Build. 2023, 69, 106288. [Google Scholar] [CrossRef]
- Luo, X.; Li, S.; Guo, Z.; Liu, C.; Gao, J. Effect of curing temperature on the hydration property and microstructure of Portland cement blended with recycled brick powder. J. Build. Eng. 2022, 61, 105327. [Google Scholar] [CrossRef]
- Wu, H.; Hu, R.; Yang, D.; Ma, Z. Micro-macro characterizations of mortar containing construction waste fines as replacement of cement and sand: A comparative study. Constr. Build. Mater. 2023, 383, 131328. [Google Scholar] [CrossRef]
- Rovnaník, P.; Rovnanikova, P.; Vyšvařil, M.; Grzeszczyk, S.; Janowska-Renkas, E. Rheological properties and microstructure of binary waste red brick powder/metakaolin geopolymer. Constr. Build. Mater. 2018, 188, 924–933. [Google Scholar] [CrossRef]
- Huseien, G.F.; Sam, A.R.M.; Shah, K.W.; Asaad, M.A.; Tahir, M.M.; Mirza, J. Properties of ceramic tile waste based alkali-activated mortars incorporating GBFS and fly ash. Constr. Build. Mater. 2019, 214, 355–368. [Google Scholar] [CrossRef]
- Ulugöl, H.; Kul, A.; Yıldırım, G.; Şahmaran, M.; Aldemir, A.; Figueira, D.; Ashour, A. Mechanical and microstructural characterization of geopolymers from assorted construction and demolition waste-based masonry and glass. J. Clean. Prod. 2021, 280, 124358. [Google Scholar] [CrossRef]












| Detection Index | NA | PF | Standard Value | ||
|---|---|---|---|---|---|
| 5–10 | 10–20 | 5–10 | 10–20 | ||
| Crushing value (%) | 19.5 | 15.6 | 28.4 | 25.9 | 30 | 
| Apparent density (kg/m3) | 2.91 | 2.88 | 2.54 | 2.35 | — | 
| Water absorption (%) | 2.35 | 1.37 | 11.95 | 6.76 | — | 
| Needle flake content (%) | 6.52 | 5.49 | 5.12 | 4.75 | ≤20 | 
| Mud content (%) | 0.67 | 0.51 | 1.93 | 1.15 | ≤2.0 | 
| Detection Index | Chemical Composition (%) | Setting Time (min) | Linear Expansion Rate (%) | Compressive Strength (MPa) | Flexural Strength (MPa) | ||||||
|---|---|---|---|---|---|---|---|---|---|---|---|
| MgO | SO3 | CaO | Initial Setting Time | Final Setting Time | 3d | 28d | 3d | 28d | 3d | 28d | |
| Detection value | 2.32 | 2.91 | 0.87 | 311 | 412 | 0.15 | 0.32 | 27.1 | 46.3 | 5.3 | 7.8 | 
| Standard value | ≤5.0 | ≤3.5 | ≤1.0 | ≥300 | ≤720 | ≥0.1 | ≤0.5 | ≥17.0 | ≥42.5 | ≥3.5 | ≥6.5 | 
| Sample | Cement (%) | Basalt Aggregate (%) | Public Fill (%) | 
|---|---|---|---|
| M-Control-4 | 4 | 100 | 0 | 
| M-Control-5 | 5 | ||
| M-Control-6 | 6 | ||
| M-PF-25 | 4 | 75 | 25 | 
| 5 | |||
| 6 | |||
| M-PF-50 | 4 | 50 | 50 | 
| 5 | |||
| 6 | |||
| M-PF-75 | 4 | 25 | 75 | 
| 5 | |||
| 6 | |||
| M-PF-100 | 4 | 0 | 100 | 
| 5 | |||
| 6 | 
| Disclaimer/Publisher’s Note: The statements, opinions and data contained in all publications are solely those of the individual author(s) and contributor(s) and not of MDPI and/or the editor(s). MDPI and/or the editor(s) disclaim responsibility for any injury to people or property resulting from any ideas, methods, instructions or products referred to in the content. | 
© 2024 by the authors. Licensee MDPI, Basel, Switzerland. This article is an open access article distributed under the terms and conditions of the Creative Commons Attribution (CC BY) license (https://creativecommons.org/licenses/by/4.0/).
Share and Cite
Zhang, M.; Cheng, C.; Chiang, K.; Wang, X.; Zhu, Y.; Luo, H. Effect of Public Fillers on Cement-Stabilized Recycled Mixes of Road Performance: Mechanical Properties, Microstructure, and Durability. Materials 2024, 17, 2018. https://doi.org/10.3390/ma17092018
Zhang M, Cheng C, Chiang K, Wang X, Zhu Y, Luo H. Effect of Public Fillers on Cement-Stabilized Recycled Mixes of Road Performance: Mechanical Properties, Microstructure, and Durability. Materials. 2024; 17(9):2018. https://doi.org/10.3390/ma17092018
Chicago/Turabian StyleZhang, Ming, Chen Cheng, Kingsley Chiang, Xinxin Wang, Yazhi Zhu, and Hui Luo. 2024. "Effect of Public Fillers on Cement-Stabilized Recycled Mixes of Road Performance: Mechanical Properties, Microstructure, and Durability" Materials 17, no. 9: 2018. https://doi.org/10.3390/ma17092018
APA StyleZhang, M., Cheng, C., Chiang, K., Wang, X., Zhu, Y., & Luo, H. (2024). Effect of Public Fillers on Cement-Stabilized Recycled Mixes of Road Performance: Mechanical Properties, Microstructure, and Durability. Materials, 17(9), 2018. https://doi.org/10.3390/ma17092018
 
        





 
       