Chlorine-Rich Na6−xPS5−xCl1+x: A Promising Sodium Solid Electrolyte for All-Solid-State Sodium Batteries
Abstract
1. Introduction
2. Materials and Methods
2.1. Materials Synthesis
2.2. Methods
3. Results and Discussion
3.1. Physical Characterization of Na6−xPS5−xCl1+x
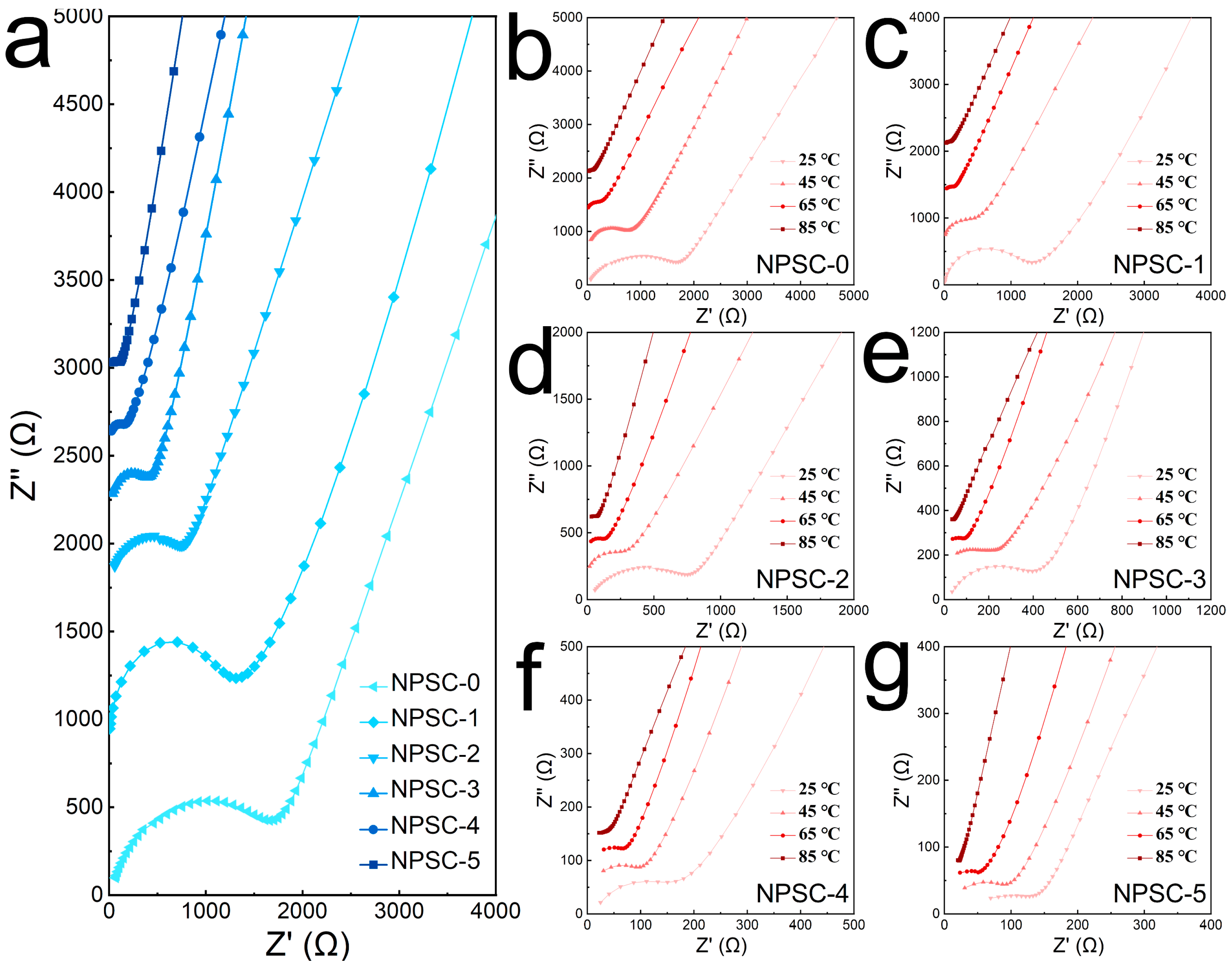
3.2. Electrochemical Performance of Na6−xPS5−xCl1+x Electrolyte
3.3. Electrochemical Performance of NVP//NPSC-5//Na ASSB
4. Conclusions
Supplementary Materials
Author Contributions
Funding
Institutional Review Board Statement
Informed Consent Statement
Data Availability Statement
Conflicts of Interest
References
- Vaalma, C.; Buchholz, D.; Weil, M.; Passerini, S. A Cost and Resource Analysis of Sodium-Ion Batteries. Nat. Rev. Mater. 2018, 3, 18013. [Google Scholar] [CrossRef]
- Moon, C.K.; Lee, H.-J.; Park, K.H.; Kwak, H.; Heo, J.W.; Choi, K.; Yang, H.; Kim, M.-S.; Hong, S.-T.; Lee, J.H.; et al. Vacancy-Driven Na+ Superionic Conduction in New Ca-Doped Na3PS4 for All-Solid-State Na-Ion Batteries. ACS Energy Lett. 2018, 3, 2504–2512. [Google Scholar] [CrossRef]
- Zhang, Y.; Zhang, R.; Huang, Y. Air-Stable NaxTMO2 Cathodes for Sodium Storage. Front. Chem. 2019, 7, 335. [Google Scholar] [CrossRef] [PubMed]
- Lu, Y.; Li, L.; Zhang, Q.; Niu, Z.Q.; Chen, J. Electrolyte and Interface Engineering for Solid-State Sodium Batteries. Joule 2018, 2, 1747–1770. [Google Scholar] [CrossRef]
- Wang, J.; Okabe, J.; Komine, Y.; Notohara, H.; Urita, K.; Moriguchi, I.; Wei, M. The optimized interface engineering of VS2 as cathodes for high performance all-solid-state lithium-ion battery. Sci. China Technol. Sci. 2022, 65, 1859–1866. [Google Scholar] [CrossRef]
- Chong, P.; Zhou, Z.; Wang, K.; Zhai, W.; Li, Y.; Wang, J.; Wei, M. The Stabilizing of 1T-MoS2 for All-Solid-State Lithium-Ion Batteries. Batteries 2023, 9, 26. [Google Scholar] [CrossRef]
- Yu, X.; Yao, Y.; Wang, X.; Cen, S.; Li, D.; Ma, H.; Chen, J.; Wang, D.; Mao, Z.; Dong, C. Rapid ultrasound welding toward compact Na/Beta-Al2O3 interface realizing room-temperature solid-state sodium metal battery. Energy Storage Mater. 2023, 54, 221–226. [Google Scholar] [CrossRef]
- Lei, D.; He, Y.-B.; Huang, H.; Yuan, Y.; Zhong, G.; Zhao, Q.; Hao, X.; Zhang, D.; Lai, C.; Zhang, S.; et al. Cross-linked beta alumina nanowires with compact gel polymer electrolyte coating for ultra-stable sodium metal battery. Nat. Commun. 2019, 10, 4244. [Google Scholar] [CrossRef]
- Liu, L.; Su, J.; Zhou, X.; Liang, D.; Liu, Y.; Tang, R.; Xu, Y.; Jiang, Y.; Wei, Z. Conductivity versus structure dependence investigation of Na1+xZr2SixP3-xO12 (0 ≤ x ≤ 3) through composition optimization by adjusting Si/P ratio. Mater. Today Chem. 2023, 30, 101495. [Google Scholar] [CrossRef]
- Park, H.; Jung, K.; Nezafati, M.; Kim, C.-S.; Kang, B. Sodium Ion Diffusion in Nasicon (Na3Zr2Si2PO12) Solid Electrolytes: Effects of Excess Sodium. ACS Appl. Mater. Interfaces 2016, 8, 27814–27824. [Google Scholar] [CrossRef] [PubMed]
- Li, Y.; Deng, Z.; Peng, J.; Chen, E.; Yu, Y.; Li, X.; Luo, J.; Huang, Y.; Zhu, J.; Fang, C.; et al. A P2-Type Layered Superionic Conductor Ga-Doped Na2Zn2TeO6 for All-Solid-State Sodium-Ion Batteries. Chemistry 2018, 24, 1057–1061. [Google Scholar] [CrossRef] [PubMed]
- Li, Y.; Deng, Z.; Peng, J.; Gu, J.; Chen, E.; Yu, Y.; Wu, J.; Li, X.; Luo, J.; Huang, Y.; et al. New P2-Type Honeycomb-Layered Sodium-Ion Conductor: Na2Mg2TeO6. ACS Appl. Mater. Interfaces 2018, 10, 15760–15766. [Google Scholar] [CrossRef] [PubMed]
- Huang, H.; Yang, Y.; Chi, C.; Wu, H.-H.; Huang, B. Phase stability and fast ion transport in P2-type layered Na2X2TeO6 (X = Mg, Zn) solid electrolytes for sodium batteries. J. Mater. Chem. A 2020, 8, 22816–22827. [Google Scholar] [CrossRef]
- Dong, Y.F.; Wen, P.C.; Shi, H.D.; Yu, Y.; Wu, Z.S. Solid-State Electrolytes for Sodium Metal Batteries: Recent Status and Future Opportunities. Adv. Funct. Mater. 2023, 21, 2213584. [Google Scholar] [CrossRef]
- Hayashi, A.; Masuzawa, N.; Yubuchi, S.; Tsuji, F.; Hotehama, C.; Sakuda, A.; Tatsumisago, M. A sodium-ion sulfide solid electrolyte with unprecedented conductivity at room temperature. Nat. Commun. 2019, 10, 5266. [Google Scholar] [CrossRef] [PubMed]
- Li, F.; Hou, M.; Zhao, L.; Zhang, D.; Yang, B.; Liang, F. Electrolyte and interface engineering for solid-state sodium batteries. Energy Storage Mater. 2024, 65, 103181. [Google Scholar] [CrossRef]
- Tachez, M.; Malugani, J.-P.; Mercier, R.; Robert, G. Ionic conductivity of and phase transition in lithium thiophosphate Li3PS4. Solid State Ionics 1984, 14, 181–185. [Google Scholar] [CrossRef]
- Jansen, M.; Henseler, U. Synthesis, Structure Determination, and Ionic-Conductivity of Sodium Tetrathiophosphate. J. Solid State Chem. 1992, 99, 110–119. [Google Scholar] [CrossRef]
- Wu, E.A.; Kompella, C.S.; Zhu, Z.; Lee, J.Z.; Lee, S.C.; Chu, I.-H.; Nguyen, H.; Ong, S.P.; Banerjee, A.; Meng, Y.S. New Insights into the Interphase between the Na Metal Anode and Sulfide Solid-State Electrolytes: A Joint Experimental and Computational Study. ACS Appl. Mater. Interfaces 2018, 10, 10076–10086. [Google Scholar] [CrossRef]
- Ma, Q.; Tietz, F. Solid-State Electrolyte Materials for Sodium Batteries: Towards Practical Applications. ChemElectroChem 2020, 7, 2693–2713. [Google Scholar] [CrossRef]
- Li, Y.; Arnold, W.; Halacoglu, S.; Jasinski, J.B.; Druffel, T.; Wang, H. Phase-Transition Interlayer Enables High-Performance Solid-State Sodium Batteries with Sulfide Solid Electrolyte. Adv. Funct. Mater. 2021, 31, 2101636. [Google Scholar] [CrossRef]
- Zhang, L.; Zhang, D.; Yang, K.; Yan, X.; Wang, L.; Mi, J.; Xu, B.; Li, Y. Vacancy-Contained Tetragonal Na3SbS4 Superionic Conductor. Adv. Sci. 2016, 3, 1600089. [Google Scholar] [CrossRef] [PubMed]
- Feng, X.; Chien, P.-H.; Zhu, Z.; Chu, I.-H.; Wang, P.; Immediato-Scuotto, M.; Arabzadeh, H.; Ong, S.P.; Hu, Y.-Y. Studies of Functional Defects for Fast Na-Ion Conduction in Na3−yPS4−xClx with a Combined Experimental and Computational Approach. Adv. Funct. Mater. 2019, 29, 1807951. [Google Scholar] [CrossRef]
- Tsuji, F.; Masuzawa, N.; Sakuda, A.; Tatsumisago, M.; Hayashi, A. Preparation and Characterization of Cation-Substituted Na3SbS4 Solid Electrolytes. ACS Appl. Energy Mater. 2020, 3, 11706–11712. [Google Scholar] [CrossRef]
- Yu, L.; Jiao, Q.; Liang, B.; Shan, H.; Lin, C.; Gao, C.; Shen, X.; Dai, S. Exceptionally high sodium ion conductivity and enhanced air stability in Na3SbS4 via germanium doping. J. Alloys Compd. 2022, 913, 165229. [Google Scholar] [CrossRef]
- Jalem, R.; Gao, B.; Tian, H.-K.; Tateyama, Y. Theoretical study on stability and ion transport property with halide doping of Na3SbS4 electrolyte for all-solid-state batteries. J. Mater. Chem. A 2022, 10, 2235–2248. [Google Scholar] [CrossRef]
- Yu, L.; Yin, J.; Gao, C.; Lin, C.; Shen, X.; Dai, S.; Jiao, Q. Halogen Doping Mechanism and Interface Strengthening in the Na3SbS4 Electrolyte via Solid-State Synthesis. ACS Appl. Mater. Interfaces 2023, 15, 31635–31642. [Google Scholar] [CrossRef] [PubMed]
- Fu, Y.; Gong, Z.; Li, D.; Liu, Y.; Zhou, X.; Yang, Y.; Jiao, Q. Zn doping for enhanced sodium-ion conductivity and air stability in Na3SbS4 solid electrolyte. J. Mater. Sci. 2024, 59, 3009–3017. [Google Scholar] [CrossRef]
- Kamaya, N.; Homma, K.; Yamakawa, Y.; Hirayama, M.; Kanno, R.; Yonemura, M.; Kamiyama, T.; Kato, Y.; Hama, S.; Kawamoto, K.; et al. A lithium superionic conductor. Nat. Mater. 2011, 10, 682–686. [Google Scholar] [CrossRef] [PubMed]
- Weber, D.A.; Senyshyn, A.; Weldert, K.S.; Wenzel, S.; Zhang, W.; Kaiser, R.; Berendts, S.; Janek, J.; Zeier, W.G. Structural Insights and 3D Diffusion Pathways within the Lithium Superionic Conductor Li10GeP2S12. Chem. Mater. 2016, 28, 5905–5915. [Google Scholar] [CrossRef]
- Dawson, J.A.; Islam, M.S. A Nanoscale Design Approach for Enhancing the Li-Ion Conductivity of the Li10GeP2S12 Solid Electrolyte. ACS Mater. Lett. 2022, 4, 424–431. [Google Scholar] [CrossRef] [PubMed]
- Kato, Y.; Hori, S.; Kanno, R. Li10GeP2S12-Type Superionic Conductors: Synthesis, Structure, and Ionic Transportation. Adv. Energy Mater. 2020, 10, 2002153. [Google Scholar] [CrossRef]
- Richards, W.D.; Tsujimura, T.; Miara, L.J.; Wang, Y.; Kim, J.C.; Ong, S.P.; Uechi, I.; Suzuki, N.; Ceder, G. Design and synthesis of the superionic conductor Na10SnP2S12. Nat. Commun. 2016, 7, 11009. [Google Scholar] [CrossRef] [PubMed]
- Zhang, Z.; Ramos, E.; Lalère, F.; Assoud, A.; Kaup, K.; Hartman, P.; Nazar, L.F. Na11Sn2PS12: A new solid state sodium superionic conductor. Energy Environ. Sci. 2018, 11, 87–93. [Google Scholar] [CrossRef]
- Duchardt, M.; Ruschewitz, U.; Adams, S.; Dehnen, S.; Roling, B. Vacancy-Controlled Na+ Superion Conduction in Na11Sn2PS12. Angew. Chem. Int. Ed. 2018, 57, 1351–1355. [Google Scholar] [CrossRef] [PubMed]
- Kandagal, V.S.; Bharadwaj, M.D.; Waghmare, U.V. Theoretical prediction of a highly conducting solid electrolyte for sodium batteries: Na10GeP2S12. J. Mater. Chem. A 2015, 3, 12992–12999. [Google Scholar] [CrossRef]
- Nunotani, N.; Ohsaka, T.; Tamura, S.; Imanaka, N. Tetravalent Sn4+ Ion Conductor Based on NASICON-Type Phosphate. ECS Electrochem. Lett. 2012, 1, A66. [Google Scholar] [CrossRef]
- Boulineau, S.; Courty, M.; Tarascon, J.-M.; Viallet, V. Mechanochemical synthesis of Li-argyrodite Li6PS5X (X=Cl, Br, I) as sulfur-based solid electrolytes for all solid state batteries application. Solid State Ionics 2012, 221, 1–5. [Google Scholar] [CrossRef]
- Deiseroth, H.J.; Kong, S.T.; Eckert, H.; Vannahme, J.; Reiner, C.; Zaiss, T.; Schlosser, M. Li6PS5X: A class of crystalline Li-rich solids with an unusually high Li+ mobility. Angew. Chem. Int. Ed. 2008, 47, 755–758. [Google Scholar] [CrossRef] [PubMed]
- Studenyak, I.P.; Pogodin, A.I.; Studenyak, V.I.; Kokhan, O.P.; Azhniuk, Y.M.; Solonenko, D.; Daróczi, L.; Kökényesi, S.; Zahn, D.R.T. Structural, electrical and optical properties of ion-conducting Na6PS5Cl, Na6PS5Br, and Na7PS6 compounds. J. Phys. Chem. Solids 2021, 159, 110269. [Google Scholar] [CrossRef]
- Adeli, P.; Bazak, J.D.; Park, K.H.; Kochetkov, I.; Huq, A.; Goward, G.R.; Nazar, L.F. Boosting Solid-State Diffusivity and Conductivity in Lithium Superionic Argyrodites by Halide Substitution. Angew. Chem. Int. Ed. 2019, 58, 8681–8686. [Google Scholar] [CrossRef] [PubMed]
- Stamminger, A.R.; Ziebarth, B.; Mrovec, M.; Hammerschmidt, T.; Drautz, R. Ionic Conductivity and Its Dependence on Structural Disorder in Halogenated Argyrodites Li6PS5X (X = Br, Cl, I). Chem. Mater. 2019, 31, 8673–8678. [Google Scholar] [CrossRef]
- Gao, L.; Xie, Y.; Tong, Y.; Xu, M.; You, J.; Wei, H.; Yu, X.; Xu, S.; Zhang, Y.; Che, Y.; et al. Lithium-site substituted argyrodite-type Li6PS5I solid electrolytes with enhanced ionic conduction for all-solid-state batteries. Sci. China Technol. Sci. 2023, 66, 2059–2068. [Google Scholar] [CrossRef]
- Haznar, A.; Pietraszko, A.; Studenyak, I.P. X-ray study of the superionic phase transition in Cu6PS5Br. Solid State Ionics 1999, 119, 31–36. [Google Scholar] [CrossRef]
- Nilges, T.; Pfitzner, A. A structural differentiation of quaternary copper argyrodites: Structure—Property relations of high temperature ion conductors. Z. Kristallogr. Cryst. Mater. 2005, 220, 281–294. [Google Scholar] [CrossRef]
- Momma, K.; Izumi, F. VESTA 3 for three-dimensional visualization of crystal, volumetric and morphology data. J. Appl. Crystallogr. 2011, 44, 1272–1276. [Google Scholar] [CrossRef]
- Zhao, G.; Suzuki, K.; Hirayama, M.; Kanno, R. Syntheses and Characterization of Novel Perovskite-Type LaScO3-Based Lithium Ionic Conductors. Molecules 2021, 26, 299. [Google Scholar] [CrossRef] [PubMed]
- Zhao, G.; Suzuki, K.; Hirayama, M.; Kanno, R. Synthesis and Lithium-ion Conductivity of Sr(La1−xLi3x)ScO4 with a K2NiF4 Structure. Electrochemistry 2022, 90, 017005. [Google Scholar] [CrossRef]
- Zhao, G.; Suzuki, K.; Seki, T.; Sun, X.; Hirayama, M.; Kanno, R. High lithium ionic conductivity of γ-Li3PO4-type solid electrolytes in Li4GeO4–Li4SiO4–Li3VO4 quasi-ternary system. J. Solid State Chem. 2020, 292, 121651. [Google Scholar] [CrossRef]
- Jian, Z.; Sun, Y.; Ji, X. A new low-voltage plateau of Na3V2(PO4)3 as an anode for Na-ion batteries. Chem. Commun. 2015, 51, 6381–6383. [Google Scholar] [CrossRef] [PubMed]
- Chu, I.-H.; Kompella, C.S.; Nguyen, H.; Zhu, Z.; Hy, S.; Deng, Z.; Meng, Y.S.; Ong, S.P. Room-Temperature All-solid-state Rechargeable Sodium-ion Batteries with a Cl-doped Na3PS4 Superionic Conductor. Sci. Rep. 2016, 6, 33733. [Google Scholar] [CrossRef] [PubMed]
- Wan, H.; Mwizerwa, J.P.; Qi, X.; Xu, X.; Li, H.; Zhang, Q.; Cai, L.; Hu, Y.-S.; Yao, X. Nanoscaled Na3PS4 Solid Electrolyte for All-Solid-State FeS2/Na Batteries with Ultrahigh Initial Coulombic Efficiency of 95% and Excellent Cyclic Performances. ACS Appl. Mater. Interfaces 2018, 10, 12300–12304. [Google Scholar] [CrossRef] [PubMed]
- Nguyen, H.; Banerjee, A.; Wang, X.; Tan, D.; Wu, E.A.; Doux, J.-M.; Stephens, R.; Verbist, G.; Meng, Y.S. Single-step synthesis of highly conductive Na3PS4 solid electrolyte for sodium all solid-state batteries. J. Power Sources 2019, 435, 126623. [Google Scholar] [CrossRef]






Disclaimer/Publisher’s Note: The statements, opinions and data contained in all publications are solely those of the individual author(s) and contributor(s) and not of MDPI and/or the editor(s). MDPI and/or the editor(s) disclaim responsibility for any injury to people or property resulting from any ideas, methods, instructions or products referred to in the content. |
© 2024 by the authors. Licensee MDPI, Basel, Switzerland. This article is an open access article distributed under the terms and conditions of the Creative Commons Attribution (CC BY) license (https://creativecommons.org/licenses/by/4.0/).
Share and Cite
Zhang, Y.; Zheng, H.; You, J.; Zhao, H.; Khan, A.J.; Gao, L.; Zhao, G. Chlorine-Rich Na6−xPS5−xCl1+x: A Promising Sodium Solid Electrolyte for All-Solid-State Sodium Batteries. Materials 2024, 17, 1980. https://doi.org/10.3390/ma17091980
Zhang Y, Zheng H, You J, Zhao H, Khan AJ, Gao L, Zhao G. Chlorine-Rich Na6−xPS5−xCl1+x: A Promising Sodium Solid Electrolyte for All-Solid-State Sodium Batteries. Materials. 2024; 17(9):1980. https://doi.org/10.3390/ma17091980
Chicago/Turabian StyleZhang, Yi, Haoran Zheng, Jiale You, Hongyang Zhao, Abdul Jabbar Khan, Ling Gao, and Guowei Zhao. 2024. "Chlorine-Rich Na6−xPS5−xCl1+x: A Promising Sodium Solid Electrolyte for All-Solid-State Sodium Batteries" Materials 17, no. 9: 1980. https://doi.org/10.3390/ma17091980
APA StyleZhang, Y., Zheng, H., You, J., Zhao, H., Khan, A. J., Gao, L., & Zhao, G. (2024). Chlorine-Rich Na6−xPS5−xCl1+x: A Promising Sodium Solid Electrolyte for All-Solid-State Sodium Batteries. Materials, 17(9), 1980. https://doi.org/10.3390/ma17091980

