Strain Monitoring of Concrete Using Carbon Black-Based Smart Coatings
Abstract
1. Introduction
2. Background
2.1. Advances in Structural Health Monitoring
2.2. Physical and Electrical Influence of Carbon Black in Cementitious Matrices
2.3. Electromechanical Sensing Property of Smart Cementitious Sensors
2.3.1. Bulk Applications
| Reference | Cementitious Type | CB Dosage [wt%] | Electrical Conductivity [S/m] | Gauge Factor |
|---|---|---|---|---|
| [70] | Paste | 2.0 | 1.3 × 10−4 | 340 |
| [21] | Paste | 1.0 | 1 × 10−4 | 96 |
| [62] | Paste | 1.5 | 0.9 × 10−4 | 169 |
| 2.0 | 40 × 10−4 | 47 | ||
| [66] | Mortar | 8.0 | 1.2 | 95 |
| [67] | Mortar | 7.0 | 0.47 | 30 |
| 10.0 | 22.0 | 24 | ||
| [48] | Mortar | 1.5 | 0.22 | 57 |
| [85] | Mortar | 5 | 5.88 × 10−2 | 111 |
| 6 | 38.5 × 10−2 | 516 | ||
| [86] | Mortar | 6 | 0.56 × 10−2 | 150 |
| 9 | 111.1 × 10−2 | 375 | ||
| [36] | Concrete | 0.3 | 4.8 × 10−3 | 11 |
| 0.5 | 5.7 × 10−3 | 15 | ||
| 0.8 | 7.7 × 10−3 | 34 | ||
| 1.0 | 8.0 × 10−3 | 57 | ||
| 1.3 | 8.3 × 10−3 | 110 | ||
| 1.5 | 20 × 10−3 | 134 | ||
| 1.8 | 20 × 10−3 | 110 | ||
| 2.0 | 40 × 10−3 | 96 | ||
| [71] | Mortar | 10 | 2.49 × 10−2 | 224 |
| 12.5 | 2.76 × 10−2 | 141 | ||
| 15 | 3.87 × 10−2 | 185 | ||
| [87] | Mortar | 6 | 0.56 × 10−2 | 390 |
| 9 | 111.1 × 10−2 | 530 | ||
| [88] | Mortar | 6 | 0.11 | 253 |
| 9 | 0.67 | 154 |
2.3.2. Coating Applications
2.4. Research Significance
3. Materials and Methods
3.1. Materials
3.2. Sample Preparation
3.3. Experimental Program
3.3.1. Physical Testing
3.3.2. Electrical Testing
3.3.3. Electromechanical Testing
4. Results
4.1. Carbon Black Characterisation
Thermogravimetric Analysis
4.2. Influence of CB Dosage on the Physical Properties of the Coating Composite
4.2.1. Viscosity
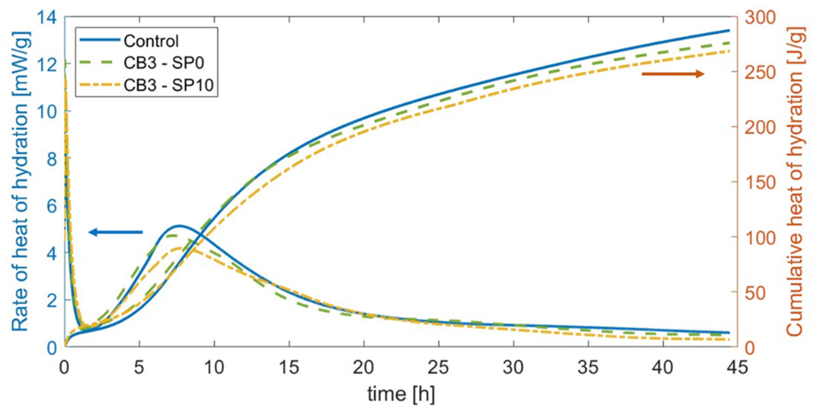
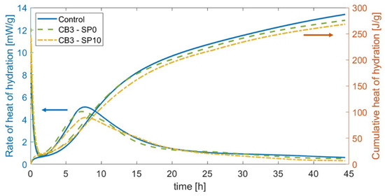
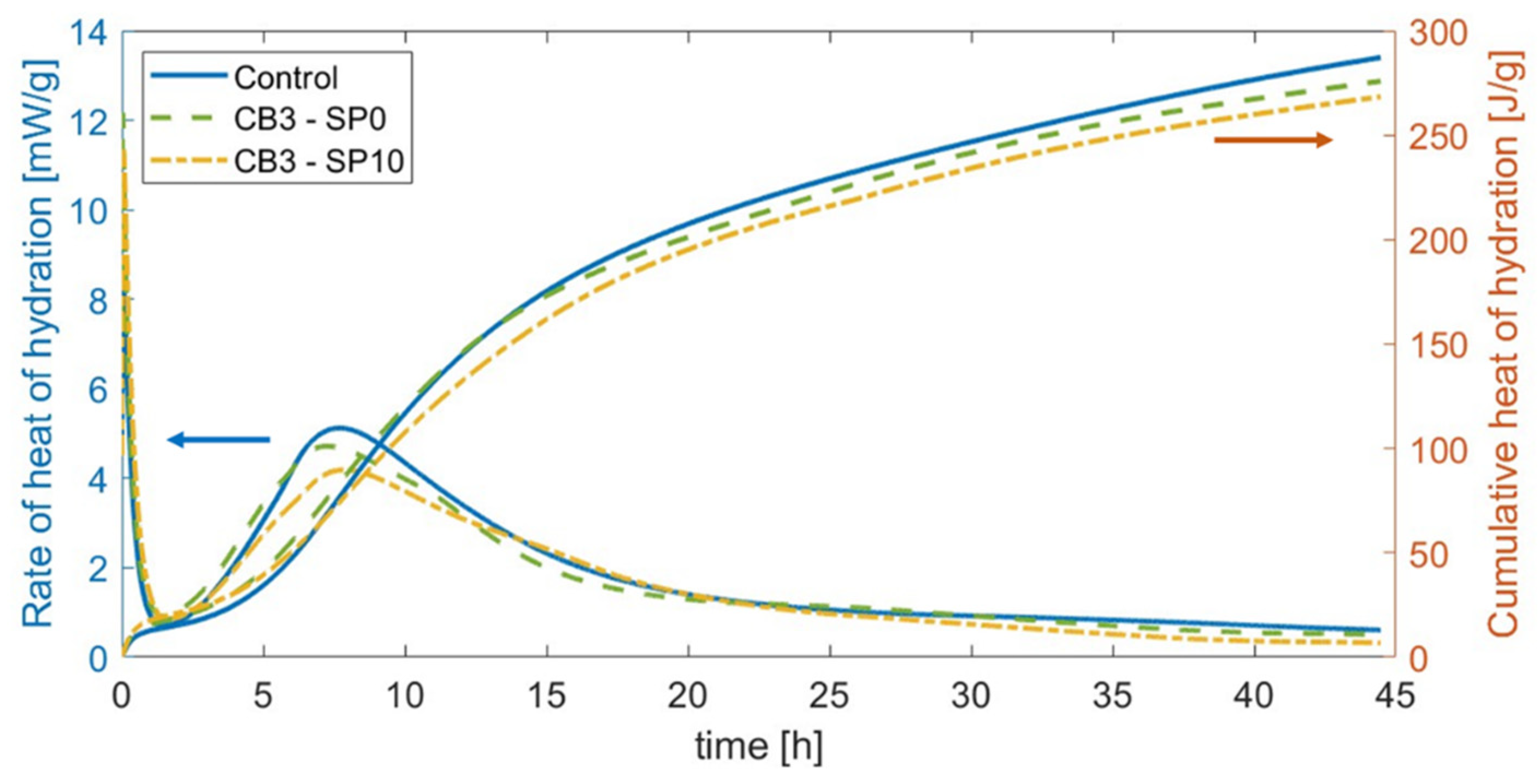
4.2.2. Hydration Growth
4.2.3. Flexural Strength
4.2.4. Adhesion Strength
4.3. Influence of CB Concentration on Composite’s Electrical Properties
4.4. Electromechanical Testing
5. Overview and Recommendations
6. Conclusions
- The incorporation of CB into cement pastes influences workability and mechanical strength adversely, while it beneficially accelerates the hydration process.
- Low dosages of carbon black (i.e., 2.5 wt% or 13.5 vol%) in cement pastes are effective in increasing electrical conductivity.
- Carbon black-based smart coatings demonstrated a significant strain monitoring capability for concrete structures, highlighting their applicability in assessing and ensuring the structural integrity of concrete elements.
- The optimal trade-off between physical, electrical, and electromechanical properties was accomplished by smart cementitious sensors including 2 wt% of carbon black.
- A thinner sensor configuration (thickness = 3 mm) with electrodes distanced along the entire constant bending moment region (gauge length = 60 mm) provided the highest flexural strain sensitivity.
Author Contributions
Funding
Institutional Review Board Statement
Informed Consent Statement
Data Availability Statement
Conflicts of Interest
References
- Hong, T.; Koo, C.; Kim, J.; Lee, M.; Jeong, K. A Review on Sustainable Construction Management Strategies for Monitoring, Diagnosing, and Retrofitting the Building’s Dynamic Energy Performance: Focused on the Operation and Maintenance Phase. Appl. Energy 2015, 155, 671–707. [Google Scholar] [CrossRef]
- Wittocx, L.; Buyle, M.; Audenaert, A.; Seuntjens, O.; Renne, N.; Craeye, B. Revamping Corrosion Damaged Reinforced Concrete Balconies: Life Cycle Assessment and Life Cycle Cost of Life-Extending Repair Methods. J. Build. Eng. 2022, 52, 104436. [Google Scholar] [CrossRef]
- Civera, M.; Surace, C. Non-Destructive Techniques for the Condition and Structural Health Monitoring of Wind Turbines: A Literature Review of the Last 20 Years. Sensors 2022, 22, 1627. [Google Scholar] [CrossRef] [PubMed]
- López-Higuera, J.M.; Cobo, L.R.; Incera, A.Q.; Cobo, A. Fiber Optic Sensors in Structural Health Monitoring. J. Light. Technol. 2011, 29, 587–608. [Google Scholar] [CrossRef]
- Du, C.; Yang, Y.; Hordijk, D.A. Experimental Investigation on Crack Detection Using Imbedded Smart Aggregate. In Life-Cycle Analysis Assessment in Civil Engineering: Towards an Integrated Vision; CRC Press: Boca Raton, FL, USA, 2019; pp. 1199–1206. [Google Scholar]
- Katunin, A.; Dragan, K.; Dziendzikowski, M. Damage Identification in Aircraft Composite Structures: A Case Study Using Various Non-Destructive Testing Techniques. Compos. Struct. 2015, 127, 1–9. [Google Scholar] [CrossRef]
- Aygun, L.E.; Kumar, V.; Weaver, C.; Gerber, M.; Wagner, S.; Verma, N.; Glisic, B.; Sturm, J.C. Large-Area Resistive Strain Sensing Sheet for Structural Health Monitoring. Sensors 2020, 20, 1386. [Google Scholar] [CrossRef] [PubMed]
- Nettis, A.; Massimi, V.; Nutricato, R.; Nitti, D.O.; Samarelli, S.; Uva, G. Satellite-Based Interferometry for Monitoring Structural Deformations of Bridge Portfolios. Autom. Constr. 2023, 147, 104707. [Google Scholar] [CrossRef]
- Taha, H.; Ball, R.J.; Paine, K. Sensing of Damage and Repair of Cement Mortar Using Electromechanical Impedance. Materials 2019, 12, 3925. [Google Scholar] [CrossRef]
- Yan, K.; Zhang, Y.; Yan, Y.; Xu, C.; Zhang, S. Fault Diagnosis Method of Sensors in Building Structural Health Monitoring System Based on Communication Load Optimization. Comput. Commun. 2020, 159, 310–316. [Google Scholar] [CrossRef]
- dos Reis, J.; Oliveira Costa, C.; Sá da Costa, J. Strain Gauges Debonding Fault Detection for Structural Health Monitoring. Struct. Control Health Monit. 2018, 25, e2264. [Google Scholar] [CrossRef]
- Ding, S.; Dong, S.; Ashour, A.; Han, B. Development of Sensing Concrete: Principles, Properties and Its Applications. J. Appl. Phys. 2019, 126, 241101. [Google Scholar] [CrossRef]
- Tian, Z.; Li, Y.; Zheng, J.; Wang, S. A State-of-the-Art on Self-Sensing Concrete: Materials, Fabrication and Properties. Compos. Part B Eng. 2019, 177, 107437. [Google Scholar] [CrossRef]
- Chung, D.D.L. A Critical Review of Electrical-Resistance-Based Self-Sensing in Conductive Cement-Based Materials. Carbon 2023, 203, 311–325. [Google Scholar] [CrossRef]
- García-Macías, E.; D’Alessandro, A.; Castro-Triguero, R.; Pérez-Mira, D.; Ubertini, F. Micromechanics Modeling of the Uniaxial Strain-Sensing Property of Carbon Nanotube Cement-Matrix Composites for SHM Applications. Compos. Struct. 2017, 163, 195–215. [Google Scholar] [CrossRef]
- Wen, S.; Chung, D.D.L. The Role of Electronic and Ionic Conduction in the Electrical Conductivity of Carbon Fiber Reinforced Cement. Carbon 2006, 44, 2130–2138. [Google Scholar] [CrossRef]
- Xu, J.; Zhong, W.; Yao, W. Modeling of Conductivity in Carbon Fiber-Reinforced Cement-Based Composite. J. Mater. Sci. 2010, 45, 3538–3546. [Google Scholar] [CrossRef]
- Guerrero, V.H.; Wang, S.; Wen, S.; Chung, D.D.L. Thermoelectric Property Tailoring by Composite Engineering. J. Mater. Sci. 2002, 37, 4127–4136. [Google Scholar] [CrossRef]
- Birgin, H.B.; D’alessandro, A.; Laflamme, S.; Ubertini, F. Smart Graphite–Cement Composite for Roadway-Integrated Weigh-in-Motion Sensing. Sensors 2020, 20, 4518. [Google Scholar] [CrossRef]
- Han, B.; Wang, Y.; Ding, S.; Yu, X.; Zhang, L.; Li, Z.; Ou, J. Self-Sensing Cementitious Composites Incorporated with Botryoid Hybrid Nano-Carbon Materials for Smart Infrastructures. J. Intell. Mater. Syst. Struct. 2017, 28, 699–727. [Google Scholar] [CrossRef]
- Liu, L.; Xu, J.; Yin, T.; Wang, Y.; Chu, H. Improving Electrical and Piezoresistive Properties of Cement-Based Composites by Combined Addition of Nano Carbon Black and Nickel Nanofiber. J. Build. Eng. 2022, 51, 104312. [Google Scholar] [CrossRef]
- Shi, K.; Chung, D.D.L. Piezoelectricity-Based Self-Sensing of Compressive and Flexural Stress in Cement-Based Materials without Admixture Requirement and without Poling. Smart Mater. Struct. 2018, 27, 105011. [Google Scholar] [CrossRef]
- Allam, H.; Duplan, F.; Amziane, S.; Burtschell, Y. About the Self-Sensing Behavior of Smart Concrete and Its Interaction with the Carbon Fiber Percolation Status, Sand Connectivity Status and Grain Size Distribution. Constr. Build. Mater. 2022, 324, 126609. [Google Scholar] [CrossRef]
- Horszczaruk, E.; Mijowska, E.; Kalenczuk, R.J.; Aleksandrzak, M.; Mijowska, S. Nanocomposite of Cement/Graphene Oxide—Impact on Hydration Kinetics and Young’s Modulus. Constr. Build. Mater. 2015, 78, 234–242. [Google Scholar] [CrossRef]
- Shishegaran, A.; Daneshpajoh, F.; Taghavizade, H.; Mirvalad, S. Developing Conductive Concrete Containing Wire Rope and Steel Powder Wastes for Route Deicing. Constr. Build. Mater. 2020, 232, 117184. [Google Scholar] [CrossRef]
- Wang, H.; Shi, F.; Shen, J.; Zhang, A.; Zhang, L.; Huang, H.; Liu, J.; Jin, K.; Feng, L.; Tang, Z. Research on the Self-Sensing and Mechanical Properties of Aligned Stainless Steel Fiber-Reinforced Reactive Powder Concrete. Cem. Concr. Compos. 2021, 119, 104001. [Google Scholar] [CrossRef]
- Lee, S.Y.; Le, H.V.; Kim, D.J. Self-Stress Sensing Smart Concrete Containing Fine Steel Slag Aggregates and Steel Fibers under High Compressive Stress. Constr. Build. Mater. 2019, 220, 149–160. [Google Scholar] [CrossRef]
- Le, H.V.; Kim, M.K.; Kim, S.U.; Chung, S.Y.; Kim, D.J. Enhancing Self-Stress Sensing Ability of Smart Ultra-High Performance Concretes under Compression by Using Nano Functional Fillers. J. Build. Eng. 2021, 44, 102717. [Google Scholar] [CrossRef]
- Song, F.; Chen, Q.; Jiang, Z.; Zhu, X.; Li, B.; He, B.; Zhu, H. Piezoresistive Properties of Ultra-High-Performance Fiber-Reinforced Concrete Incorporating Few-Layer Graphene. Constr. Build. Mater. 2021, 305, 124362. [Google Scholar] [CrossRef]
- Dong, S.; Han, B.; Ou, J.; Li, Z.; Han, L.; Yu, X. Electrically Conductive Behaviors and Mechanisms of Short-Cut Super-Fine Stainless Wire Reinforced Reactive Powder Concrete. Cem. Concr. Compos. 2016, 72, 48–65. [Google Scholar] [CrossRef]
- Demircilioglu, E.; Teomete, E.; Ozbulut, O.E. Strain Sensitivity of Steel-Fiber-Reinforced Industrial Smart Concrete. J. Intell. Mater. Syst. Struct. 2020, 31, 127–136. [Google Scholar] [CrossRef]
- Kim, M.K.; Kim, D.J.; An, Y.K. Electro-Mechanical Self-Sensing Response of Ultra-High-Performance Fiber-Reinforced Concrete in Tension. Compos. Part B Eng. 2018, 134, 254–264. [Google Scholar] [CrossRef]
- Tang, K. Corrosion of Steel Fibre Reinforced Concrete (SFRC) Subjected to Simulated Stray Direct (DC) Interference. Mater. Today Commun. 2019, 20, 100564. [Google Scholar] [CrossRef]
- Ding, Y.; Liu, G.; Hussain, A.; Pacheco-Torgal, F.; Zhang, Y. Effect of Steel Fiber and Carbon Black on the Self-Sensing Ability of Concrete Cracks under Bending. Constr. Build. Mater. 2019, 207, 630–639. [Google Scholar] [CrossRef]
- Jung, M.; Park, J.; Hong, S.-g.; Moon, J. Electrically Cured Ultra-High Performance Concrete (UHPC) Embedded with Carbon Nanotubes for Field Casting and Crack Sensing. Mater. Des. 2020, 196, 109127. [Google Scholar] [CrossRef]
- Hussain, A.; Xiang, Y.; Yu, T.; Zou, F. Nanocarbon Black-Based Ultra-High-Performance Concrete (UHPC) with Self-Strain Sensing Capability. Constr. Build. Mater. 2022, 359, 129496. [Google Scholar] [CrossRef]
- Han, J.; Pan, J.; Cai, J.; Li, X. A Review on Carbon-Based Self-Sensing Cementitious Composites. Constr. Build. Mater. 2020, 265, 120764. [Google Scholar] [CrossRef]
- Han, B.; Yu, X.; Kwon, E.; Ou, J. Effects of CNT Concentration Level and Water/Cement Ratio on the Piezoresistivity of CNT/Cement Composites. J. Compos. Mater. 2012, 46, 19–25. [Google Scholar] [CrossRef]
- Shamsaei, E.; de Souza, F.B.; Yao, X.; Benhelal, E.; Akbari, A.; Duan, W. Graphene-Based Nanosheets for Stronger and More Durable Concrete: A Review. Constr. Build. Mater. 2018, 183, 642–660. [Google Scholar] [CrossRef]
- D’Alessandro, A.; Rallini, M.; Ubertini, F.; Materazzi, A.L.; Kenny, J.M. Investigations on Scalable Fabrication Procedures for Self-Sensing Carbon Nanotube Cement-Matrix Composites for SHM Applications. Cem. Concr. Compos. 2016, 65, 200–213. [Google Scholar] [CrossRef]
- Haque, M.I.; Khan, R.I.; Ashraf, W.; Pendse, H. Production of Sustainable, Low-Permeable and Self-Sensing Cementitious Composites Using Biochar. Sustain. Mater. Technol. 2021, 28, e00279. [Google Scholar] [CrossRef]
- Howser, R.N.; Dhonde, H.B.; Mo, Y.L. Self-Sensing of Carbon Nanofiber Concrete Columns Subjected to Reversed Cyclic Loading. Smart Mater. Struct. 2011, 20, 085031. [Google Scholar] [CrossRef]
- Wang, H.; Zhang, A.; Zhang, L.; Wang, Q.; Yang, X.H.; Gao, X.; Shi, F. Electrical and Piezoresistive Properties of Carbon Nanofiber Cement Mortar under Different Temperatures and Water Contents. Constr. Build. Mater. 2020, 265, 120740. [Google Scholar] [CrossRef]
- de Souza, L.R.; Pimentel, M.; Milone, G.; Tristão, J.C.; Al-Tabbaa, A. Carbon Nanofibers Grown in CaO for Self-Sensing in Mortar. Materials 2022, 15, 4951. [Google Scholar] [CrossRef]
- Sun, S.; Han, B.; Jiang, S.; Yu, X.; Wang, Y.; Li, H.; Ou, J. Nano Graphite Platelets-Enabled Piezoresistive Cementitious Composites for Structural Health Monitoring. Constr. Build. Mater. 2017, 136, 314–328. [Google Scholar] [CrossRef]
- Papanikolaou, I.; Litina, C.; Zomorodian, A.; Al-Tabbaa, A. Effect of Natural Graphite Fineness on the Performance and Electrical Conductivity of Cement Paste Mixes for Self-Sensing Structures. Materials 2020, 13, 5833. [Google Scholar] [CrossRef]
- Bai, S.; Jiang, L.; Jiang, Y.; Jin, M.; Jiang, S.; Tao, D. Research on Electrical Conductivity of Graphene/Cement Composites. Adv. Cem. Res. 2020, 32, 45–52. [Google Scholar] [CrossRef]
- Monteiro, A.O.; Loredo, A.; Costa, P.M.F.J.; Oeser, M.; Cachim, P.B. A Pressure-Sensitive Carbon Black Cement Composite for Traffic Monitoring. Constr. Build. Mater. 2017, 154, 1079–1086. [Google Scholar] [CrossRef]
- Deng, H.; Li, H. Assessment of Self-Sensing Capability of Carbon Black Engineered Cementitious Composites. Constr. Build. Mater. 2018, 173, 1–9. [Google Scholar] [CrossRef]
- Okoye, C.O.; Jones, I.; Zhu, M.; Zhang, Z.; Zhang, D. Manufacturing of Carbon Black from Spent Tyre Pyrolysis Oil—A Literature Review. J. Clean. Prod. 2021, 279, 123336. [Google Scholar] [CrossRef]
- Donnet, J.B. Carbon Black: Science and Technology, 2nd ed.; Donnet, J.B., Bansal, R.P., Wang, M.-J., Eds.; Routledge: London, UK, 2018; ISBN 0-8247-8975-X. [Google Scholar]
- Kraus, G. Reinforcement of Elastomers by Carbon Black. Angew. Makromol. Chemie 1977, 60, 215–248. [Google Scholar] [CrossRef]
- Funt, J.M.; Sifleet, W.L.; Tomme, M. Carbon Black in Plastics; Routledge: London, UK, 2018; ISBN 9781315138763. [Google Scholar]
- Collins, F.; Lambert, J.; Duan, W.H. The Influences of Admixtures on the Dispersion, Workability, and Strength of Carbon Nanotube-OPC Paste Mixtures. Cem. Concr. Compos. 2012, 34, 201–207. [Google Scholar] [CrossRef]
- Jing, G.; Ye, Z.; Lu, X.; Hou, P. Effect of Graphene Nanoplatelets on Hydration Behaviour of Portland Cement by Thermal Analysis. Adv. Cem. Res. 2017, 29, 63–70. [Google Scholar] [CrossRef]
- Chougan, M.; Marotta, E.; Lamastra, F.R.; Vivio, F.; Montesperelli, G.; Ianniruberto, U.; Bianco, A. A Systematic Study on EN-998-2 Premixed Mortars Modified with Graphene-Based Materials. Constr. Build. Mater. 2019, 227, 116701. [Google Scholar] [CrossRef]
- Abedi, M.; Fangueiro, R.; Correia, A.G. An Effective Method for Hybrid CNT/GNP Dispersion and Its Effects on the Mechanical, Microstructural, Thermal, and Electrical Properties of Multifunctional Cementitious Composites. J. Nanomater. 2020, 2020, 6749150. [Google Scholar] [CrossRef]
- Han, B.; Ding, S.; Yu, X. Intrinsic Self-Sensing Concrete and Structures: A Review. Meas. J. Int. Meas. Confed. 2015, 59, 110–128. [Google Scholar] [CrossRef]
- Du, H.; Pang, S.D. Dispersion and Stability of Graphene Nanoplatelet in Water and Its Influence on Cement Composites. Constr. Build. Mater. 2018, 167, 403–413. [Google Scholar] [CrossRef]
- Dong, W.; Li, W.; Guo, Y.; He, X.; Sheng, D. Effects of Silica Fume on Physicochemical Properties and Piezoresistivity of Intelligent Carbon Black-Cementitious Composites. Constr. Build. Mater. 2020, 259, 120399. [Google Scholar] [CrossRef]
- Li, W.; Dong, W.; Shen, L.; Castel, A.; Shah, S.P. Conductivity and Piezoresistivity of Nano-Carbon Black (NCB) Enhanced Functional Cement-Based Sensors Using Polypropylene Fibres. Mater. Lett. 2020, 270, 127736. [Google Scholar] [CrossRef]
- D’Alessandro, A.; Birgin, H.B.; Cerni, G.; Ubertini, F. Smart Infrastructure Monitoring through Self-Sensing Composite Sensors and Systems: A Study on Smart Concrete Sensors with Varying Carbon-Based Filler. Infrastructures 2022, 7, 48. [Google Scholar] [CrossRef]
- Wen, S.; Chung, D.D.L. Electromagnetic Interference Shielding Reaching 70 DB in Steel Fiber Cement. Cem. Concr. Res. 2004, 34, 329–332. [Google Scholar] [CrossRef]
- Wang, B.; Pang, B. Mechanical Property and Toughening Mechanism of Water Reducing Agents Modified Graphene Nanoplatelets Reinforced Cement Composites. Constr. Build. Mater. 2019, 226, 699–711. [Google Scholar] [CrossRef]
- Sobolkina, A.; Mechtcherine, V.; Bergold, S.T.; Neubauer, J.; Bellmann, C.; Khavrus, V.; Oswald, S.; Leonhardt, A.; Reschetilowski, W. Effect of Carbon-Based Materials on the Early Hydration of Tricalcium Silicate. J. Am. Ceram. Soc. 2016, 99, 2181–2196. [Google Scholar] [CrossRef]
- Nalon, G.H.; Ribeiro, J.C.L.; de Araújo, E.N.D.; Pedroti, L.G.; de Carvalho, J.M.F.; Santos, R.F.; Aparecido-Ferreira, A. Effects of Different Kinds of Carbon Black Nanoparticles on the Piezoresistive and Mechanical Properties of Cement-Based Composites. J. Build. Eng. 2020, 32, 101724. [Google Scholar] [CrossRef]
- Monteiro, A.O.; Cachim, P.B.; Costa, P.M.F.J. Self-Sensing Piezoresistive Cement Composite Loaded with Carbon Black Particles. Cem. Concr. Compos. 2017, 81, 59–65. [Google Scholar] [CrossRef]
- Parvan, M.-G.; Voicu, G.; Badanoiu, A.-I.; Fruth, V.O. Self-Sensing Piezoresistive Composites Based on Cement Incorporating Low Dosage of Carbon Black Used as Multifunctional Construction Materials. Rev. Chim. 2020, 71, 30–44. [Google Scholar] [CrossRef]
- Li, X.; Li, M. Multifunctional Self-Sensing and Ductile Cementitious Materials. Cem. Concr. Res. 2019, 123, 105714. [Google Scholar] [CrossRef]
- Pisello, A.L.; D’Alessandro, A.; Sambuco, S.; Rallini, M.; Ubertini, F.; Asdrubali, F.; Materazzi, A.L.; Cotana, F. Multipurpose Experimental Characterization of Smart Nanocomposite Cement-Based Materials for Thermal-Energy Efficiency and Strain-Sensing Capability. Sol. Energy Mater. Sol. Cells 2017, 161, 77–88. [Google Scholar] [CrossRef]
- Qasim, M.S.; Shabbir, F.; Khan, Q.U.Z.; Raza, A. Investigation on Self-Sensing Capability of Different Grades of Carbon Black in Cementitious Composites. Iran. J. Sci. Technol. Trans. Civ. Eng. 2023, 47, 761–774. [Google Scholar] [CrossRef]
- Shi, L.; Lu, Y.; Bai, Y. Mechanical and Electrical Characterisation of Steel Fiber and Carbon Black Engineered Cementitious Composites. Procedia Eng. 2017, 188, 325–332. [Google Scholar] [CrossRef]
- Baeza, F.J.; Galao, O.; Vegas, I.J.; Cano, M.; Garcés, P. Influence of Recycled Slag Aggregates on the Conductivity and Strain Sensing Capacity of Carbon Fiber Reinforced Cement Mortars. Constr. Build. Mater. 2018, 184, 311–319. [Google Scholar] [CrossRef]
- Godman, A.; Benture, A. Bond Effects in High-Strength Silica Fume Concretes. Mater. J. 1989, 86, 440–449. [Google Scholar] [CrossRef]
- Wang, X.H.; Jacobsen, S.; Lee, S.F.; He, J.Y.; Zhang, Z.L. Effect of Silica Fume, Steel Fiber and ITZ on the Strength and Fracture Behavior of Mortar. Mater. Struct. Constr. 2010, 43, 125–139. [Google Scholar] [CrossRef]
- Ding, Y.; Huang, Y.; Zhang, Y.; Jalali, S.; Aguiar, J.B. Self-Monitoring of Freeze-Thaw Damage Using Triphasic Electric Conductive Concrete. Constr. Build. Mater. 2015, 101, 440–446. [Google Scholar] [CrossRef]
- Shen, J.T.; Buschhorn, S.T.; De Hosson, J.T.M.; Schulte, K.; Fiedler, B. Pressure and Temperature Induced Electrical Resistance Change in Nano-Carbon/Epoxy Composites. Compos. Sci. Technol. 2015, 115, 1–8. [Google Scholar] [CrossRef]
- Honorio, T.; Carasek, H.; Cascudo, O. Electrical Properties of Cement-Based Materials: Multiscale Modeling and Quantification of the Variability. Constr. Build. Mater. 2020, 245, 118461. [Google Scholar] [CrossRef]
- Zhou, Z.; Xie, N.; Cheng, X.; Feng, L.; Hou, P.; Huang, S.; Zhou, Z. Electrical Properties of Low Dosage Carbon Nanofiber/Cement Composite: Percolation Behavior and Polarization Effect. Cem. Concr. Compos. 2020, 109, 103539. [Google Scholar] [CrossRef]
- Buasiri, T.; Habermehl-Cwirzen, K.; Krzeminski, L.; Cwirzen, A. Novel Humidity Sensors Based on Nanomodified Portland Cement. Sci. Rep. 2021, 11, 8189. [Google Scholar] [CrossRef] [PubMed]
- Zhang, L.; Ding, S.; Han, B.; Yu, X.; Ni, Y.Q. Effect of Water Content on the Piezoresistive Property of Smart Cement-Based Materials with Carbon Nanotube/Nanocarbon Black Composite Filler. Compos. Part A Appl. Sci. Manuf. 2019, 119, 8–20. [Google Scholar] [CrossRef]
- Dong, W.; Li, W.; Shen, L.; Zhang, S.; Vessalas, K. Integrated Self-Sensing and Self-Healing Cementitious Composite with Microencapsulation of Nano-Carbon Black and Slaked Lime. Mater. Lett. 2021, 282, 128834. [Google Scholar] [CrossRef]
- Dong, W.; Li, W.; Wang, K.; Guo, Y.; Sheng, D.; Shah, S.P. Piezoresistivity Enhancement of Functional Carbon Black Filled Cement-Based Sensor Using Polypropylene Fibre. Powder Technol. 2020, 373, 184–194. [Google Scholar] [CrossRef]
- Dong, W.; Li, W.; Wang, K.; Shah, S.P.; Sheng, D. Multifunctional Cementitious Composites with Integrated Self-Sensing and Self-Healing Capacities Using Carbon Black and Slaked Lime. Ceram. Int. 2022, 48, 19851–19863. [Google Scholar] [CrossRef]
- De Lima, G.E.S.; Nalon, G.H.; Santos, R.F.; Ribeiro, J.C.L.; De Carvalho, J.M.F.; Pedroti, L.G.; De Araújo, E.N.D. Microstructural Investigation of the Effects of Carbon Black Nanoparticles on Hydration Mechanisms, Mechanical and Piezoresistive Properties of Cement Mortars. Mater. Res. 2021, 24, e20200539. [Google Scholar] [CrossRef]
- Nalon, G.H.; Lopes Ribeiro, J.C.; Pedroti, L.G.; Duarte de Araújo, E.N.; Franco de Carvalho, J.M.; Soares de Lima, G.E.; de Moura Guimarães, L. Residual Piezoresistive Properties of Mortars Containing Carbon Nanomaterials Exposed to High Temperatures. Cem. Concr. Compos. 2021, 121, 104104. [Google Scholar] [CrossRef]
- Nalon, G.H.; Ribeiro, J.C.L.; Pedroti, L.G.; de Araújo, E.N.D.; de Carvalho, J.M.F.; de Lima, G.E.; Ferreira, S.O. Effects Of Post-Fire Curing on Self-Sensing Behavior of Smart Mortars. ACI Mater. J. 2023, 120, 181–192. [Google Scholar] [CrossRef]
- Nalon, G.H.; Ribeiro, J.C.L.; Pedroti, L.G.; da Silva, R.M.; de Araujo, E.; Soares de Lima, G.E. Smart Laying Mortars for Masonry Structures: Effects of Lime/Cement Ratio and Carbon Nanomaterials Content on Self-Sensing Behavior. Cem. Concr. Compos. 2024, 145, 105351. [Google Scholar] [CrossRef]
- Nalon, G.H.; Lopes Ribeiro, J.C.; Duarte de Araújo, E.N.; Marcio da Silva, R.; Pedroti, L.G. Effects of Shrinkage-Reducing Admixtures and Expansive Agents on the Self-Sensing Behavior of Nanomodified Cement-Based Materials. J. Build. Eng. 2023, 78, 107648. [Google Scholar] [CrossRef]
- Han, J.; Pan, J.; Ma, X.; Cai, J. Sensing Performance of Engineered Cementitious Composites in Different Application Forms. Constr. Build. Mater. 2022, 355, 129223. [Google Scholar] [CrossRef]
- Li, M.; Li, V.C. Rheology, Fiber Dispersion, and Robust Properties of Engineered Cementitious Composites. Mater. Struct. Constr. 2013, 46, 405–420. [Google Scholar] [CrossRef]
- Guo, Y.; Li, W.; Dong, W.; Luo, Z.; Qu, F.; Yang, F.; Wang, K. Self-Sensing Performance of Cement-Based Sensor with Carbon Black and Polypropylene Fibre Subjected to Different Loading Conditions. J. Build. Eng. 2022, 59, 105003. [Google Scholar] [CrossRef]
- Ding, S.; Ruan, Y.; Yu, X.; Han, B.; Ni, Y.Q. Self-Monitoring of Smart Concrete Column Incorporating CNT/NCB Composite Fillers Modified Cementitious Sensors. Constr. Build. Mater. 2019, 201, 127–137. [Google Scholar] [CrossRef]
- Han, B.; Ou, J. Embedded Piezoresistive Cement-Based Stress/Strain Sensor. Sens. Actuators A Phys. 2007, 138, 294–298. [Google Scholar] [CrossRef]
- Zymelka, D.; Togashi, K.; Kobayashi, T. Carbon-Based Printed Strain Sensor Array and Wireless Measuring System for Application to Structural Health Monitoring. In Proceedings of the 7th Asia-Pacific Workshop Structural Health Monitoring APWSHM 2018, Hong Kong, China, 12–15 November 2018; pp. 627–633. [Google Scholar]
- Soga, K.; Luo, L. Distributed Fiber Optics Sensors for Civil Engineering Infrastructure Sensing. J. Struct. Integr. Maint. 2018, 3, 1–21. [Google Scholar] [CrossRef]
- Vlachakis, C.; Wang, X.; Al-Tabbaa, A. Investigation of the Compressive Self-Sensing Response of Filler-Free Metakaolin Geopolymer Binders and Coatings. Constr. Build. Mater. 2023, 392, 131682. [Google Scholar] [CrossRef]
- McAlorum, J.; Perry, M.; Ward, A.C.; Vlachakis, C. Concreits: An Electrical Impedance Interrogator for Concrete Damage Detection Using Self-Sensing Repairs. Sensors 2021, 21, 7081. [Google Scholar] [CrossRef] [PubMed]
- Manzur, T.; Yazdani, N.; Emon, M.A.B. Potential of Carbon Nanotube Reinforced Cement Composites as Concrete Repair Material. J. Nanomater. 2016, 2016, 1421959. [Google Scholar] [CrossRef]
- Coppola, B.; Di Maio, L.; Incarnato, L.; Tulliani, J.M. Preparation and Characterization of Polypropylene/Carbon Nanotubes (PP/CNTs) Nanocomposites as Potential Strain Gauges for Structural Health Monitoring. Nanomaterials 2020, 10, 814. [Google Scholar] [CrossRef] [PubMed]
- Wen, S.; Chung, D.D.L. Carbon Fiber-Reinforced Cement as a Strain-Sensing Coating. Cem. Concr. Res. 2001, 31, 665–667. [Google Scholar] [CrossRef]
- Baeza, F.J.; Galao, O.; Zornoza, E.; Garcés, P. Multifunctional Cement Composites Strain and Damage Sensors Applied on Reinforced Concrete (RC) Structural Elements. Materials 2013, 6, 841–855. [Google Scholar] [CrossRef] [PubMed]
- Durairaj, R.; Varatharajan, T.; Srinivasan, S.K.; Gurupatham, B.G.A.; Roy, K. Experimental Investigation on Flexural Behaviour of Sustainable Reinforced Concrete Beam with a Smart Mortar Layer. J. Compos. Sci. 2023, 7, 132. [Google Scholar] [CrossRef]
- Kim, Y.; Seo, S.-Y.; Yun, H.-D.; Gun-Cheol, L.; Hong, S. Development and Investigation of Repair Self-Sensing Composites Using S-CNT. Buildings 2023, 13, 1015. [Google Scholar] [CrossRef]
- Qiu, L.; Li, L.; Ashour, A.; Ding, S.; Han, B. Monitoring Damage of Concrete Beams via Self-Sensing Cement Mortar Coating with Carbon Nanotube-Nano Carbon Black Composite Fillers. J. Intell. Mater. Syst. Struct. 2024, 35, 633–648. [Google Scholar] [CrossRef]
- Daneshvar, D.; Behnood, A.; Robisson, A. Interfacial Bond in Concrete-to-Concrete Composites: A Review. Constr. Build. Mater. 2022, 359, 129195. [Google Scholar] [CrossRef]
- BS EN 197-1:2011; Cement—Part 1: Composition, Specifications and Conformity Criteria for Common Cements. British Standards Institution: London, UK, 2011.
- ASTM C150/C150M-20; Standard Specification for Portland Cement. American Society for Testing and Materials: West Conshohocken, PA, USA, 2020.
- BS EN 206-1:2013; Concrete—Specification, Performance, Production, and Conformity. British Standards Institution: London, UK, 2013.
- ASTM C33/C33M-23; Standard Specification for Concrete Aggregates. American Society for Testing and Materials: West Conshohocken, PA, USA, 2023.
- Afroughsabet, V.; Al-tabbaa, A. Effect of SAPs and Polypropylene Fibres on the Freeze-Thaw Resistance of Low Carbon Roller Compacted Concrete Pavement. MATEC Web Conf. 2023, 08006, 6. [Google Scholar] [CrossRef]
- Glinicki, M.A.; Gołaszewski, J.; Cygan, G. Formwork Pressure of a Heavyweight Self-Compacting Concrete Mix. Materials 2021, 14, 1549. [Google Scholar] [CrossRef] [PubMed]
- BS EN 12390-1:2012; Testing Hardened Concrete—Part 1: Shape, Dimensions and Other Requirements for Specimens and Moulds. British Standards Institution: London, UK, 2012.
- BS EN 1992-1-1:2004; Design of Concrete Structures—Part 1-1: General Rules and Rules for Buildings. British Standards Institution: London, UK, 2004.
- Galao, O.; Baeza, F.J.; Zornoza, E.; Garcés, P. Strain and Damage Sensing Properties on Multifunctional Cement Composites with CNF Admixture. Cem. Concr. Compos. 2014, 46, 90–98. [Google Scholar] [CrossRef]
- Li, G.Y.; Wang, P.M.; Zhao, X. Pressure-Sensitive Properties and Microstructure of Carbon Nanotube Reinforced Cement Composites. Cem. Concr. Compos. 2007, 29, 377–382. [Google Scholar] [CrossRef]
- BS EN 13670:2009; Execution of Concrete Structures. British Standards Institution: London, UK, 2009.
- BS 8500:2020; Concrete—Complementary British Standard to BS EN 206. British Standards Institution: London, UK, 2020.
- ACI 308R-16; Guide to Curing Concrete. American Concrete Institute: Farmington Hills, MI, USA, 2016.
- ACI 301-20; Specifications for Structural Concrete. American Concrete Institute: Farmington Hills, MI, USA, 2020.
- Shang, Y.; Zhang, D.; Yang, C.; Liu, Y.; Liu, Y. Effect of Graphene Oxide on the Rheological Properties of Cement Pastes. Constr. Build. Mater. 2015, 96, 20–28. [Google Scholar] [CrossRef]
- Nanthagopalan, P.; Santhanam, M. A New Empirical Test Method for the Optimisation of Viscosity Modifying Agent Dosage in Self-Compacting Concrete. Mater. Struct. Constr. 2010, 43, 203–212. [Google Scholar] [CrossRef]
- Tayeh, B.A.; Abu Bakar, B.H.; Megat Johari, M.A.; Zeyad, A.M. Microstructural Analysis of the Adhesion Mechanism between Old Concrete Substrate and UHPFC. J. Adhes. Sci. Technol. 2014, 28, 1846–1864. [Google Scholar] [CrossRef]
- Dybeł, P.; Wałach, D. Evaluation of the Development of Bond Strength between Two Concrete Layers. IOP Conf. Ser. Mater. Sci. Eng. 2017, 245, 032056. [Google Scholar]
- Song, F.; Chen, Q.; Zheng, Q. Multifunctional Ultra-High Performance Fibre-Reinforced Concrete with Integrated Self-Sensing and Repair Capabilities towards in-Situ Structure Monitoring. Compos. Struct. 2023, 321, 117240. [Google Scholar] [CrossRef]
- BS EN 12390-6:2009; Testing Hardened Concrete—Part 6: Tensile Splitting Strength of Test Specimens. British Standards Institution: London, UK, 2009.
- ACI 318-19; Building Code Requirements for Structural Concrete (ACI 318) and Commentary. American Concrete Institute: Farmington Hills, MI, USA, 2019.
- ASTM C496/C496M-21; Standard Test Method for Splitting Tensile Strength of Cylindrical Concrete Specimens. American Society for Testing and Materials: West Conshohocken, PA, USA, 2021.
- Miccoli, I.; Edler, F.; Pfnür, H.; Tegenkamp, C. The 100th Anniversary of the Four-Point Probe Technique: The Role of Probe Geometries in Isotropic and Anisotropic Systems. J. Phys. Condens. Matter 2015, 27, 223201. [Google Scholar] [CrossRef] [PubMed]
- Tian, X.; Hu, H. Test and Study on Electrical Property of Conductive Concrete. Procedia Earth Planet. Sci. 2012, 5, 83–87. [Google Scholar] [CrossRef]
- Reza, F.; Batson, G.B.; Yamamuro, J.A.; Lee, J.S. Resistance Changes during Compression of Carbon Fiber Cement Composites. J. Mater. Civ. Eng. 2003, 15, 476–483. [Google Scholar] [CrossRef]
- Piro, N.S.; Mohammed, A.S.; Jalil, P.J.; Hamad, S.M. Comparison between Four-Probe and Two-Probe Electrical Resistivity Measurement to Monitor the Curing and Piezoresistivity Behavior of Smart Cement Paste Modified with Waste Steel Slag and Green Nano-Magnetite. J. Test. Eval. 2024, 52, 873–896. [Google Scholar] [CrossRef]
- Cruz, J.M.; Payá, J.; Lalinde, L.F.; Fita, I.C. Evaluación de Las Propiedades Eléctricas de Morteros de Cemento Con Puzolanas. Mater. Constr. 2011, 61, 7–26. [Google Scholar] [CrossRef]
- Xian, X.; Wang, Y.; Xing, F.; Dong, B. Measuring and Modeling Analysis of Electrochemical Impedance Spectroscopy for Hydration Procedure of Cement Materials. Adv. Mater. Res. 2012, 588–589, 1033–1036. [Google Scholar] [CrossRef]
- Ozyurt, N.; Mason, T.O.; Shah, S.P. Correlation of Fiber Dispersion, Rheology and Mechanical Performance of FRCs. Cem. Concr. Compos. 2007, 29, 70–79. [Google Scholar] [CrossRef]
- Ferrara, L.; Park, Y.-D.; Shah, S.P. Correlation among Fresh State Behavior, Fiber Dispersion, and Toughness Properties of SFRCs. J. Mater. Civ. Eng. 2008, 20, 493–501. [Google Scholar] [CrossRef]
- del Moral, B.; Baeza, F.J.; Navarro, R.; Galao, O.; Zornoza, E.; Vera, J.; Farcas, C.; Garcés, P. Temperature and Humidity Influence on the Strain Sensing Performance of Hybrid Carbon Nanotubes and Graphite Cement Composites. Constr. Build. Mater. 2021, 284, 122786. [Google Scholar] [CrossRef]
- Zhang, J.; Heath, A.; Abdalgadir, H.M.T.; Ball, R.J.; Paine, K. Electrical Impedance Behaviour of Carbon Fibre Reinforced Cement-Based Sensors at Different Moisture Contents. Constr. Build. Mater. 2022, 353, 129049. [Google Scholar] [CrossRef]
- Chung, D.D.L. Self-Sensing Concrete: From Resistance-Based Sensing to Capacitance-Based Sensing. Int. J. Smart Nano Mater. 2021, 12, 1–19. [Google Scholar] [CrossRef]
- Demircilioğlu, E.; Teomete, E.; Schlangen, E.; Baeza, F.J. Temperature and Moisture Effects on Electrical Resistance and Strain Sensitivity of Smart Concrete. Constr. Build. Mater. 2019, 224, 420–427. [Google Scholar] [CrossRef]
- Stanier, S.A.; Blaber, J.; Take, W.A.; White, D.J. Improved Image-Based Deformation Measurement for Geotechnical Applications. Can. Geotech. J. 2016, 53, 727–739. [Google Scholar] [CrossRef]
- Pang, S.D.; Gao, H.J.; Xu, C.; Quek, S.T.; Du, H. Strain and Damage Self-Sensing Cement Composites with Conductive Graphene Nanoplatelet. In Proceedings of the Sensors and Smart Structures Technologies for Civil, Mechanical, and Aerospace Systems, San Diego, CA, USA, 10 April 2014; Volume 9061, p. 906126. [Google Scholar]
- Suo, Z. Models for Breakdown-Resistant Dielectric and Ferroelectric Ceramics. J. Mech. Phys. Solids 1993, 41, 1155–1176. [Google Scholar] [CrossRef]
- Le, J.L.; Du, H.; Pang, S.D. Use of 2-D Graphene Nanoplatelets (GNP) in Cement Composites for Structural Health Evaluation. Compos. Part B Eng. 2014, 67, 555–563. [Google Scholar] [CrossRef]
- Tremblay, H.; Duchesne, J.; Locat, J.; Leroueil, S. Influence of the Nature of Organic Compounds on Fine Soil Stabilization with Cement. Can. Geotech. J. 2002, 39, 535–546. [Google Scholar] [CrossRef]
- Nalon, G.H.; Ribeiro, J.C.L.; de Araújo, E.N.D.; Pedroti, L.G.; de Carvalho, J.M.F.; Santos, R.F.; de Oliveira, D.S. Residual Mechanical Properties of Mortars Containing Carbon Nanomaterials Exposed to High Temperatures. Constr. Build. Mater. 2021, 275, 122123. [Google Scholar] [CrossRef]
- Dong, W.; Li, W.; Wang, K.; Han, B.; Sheng, D.; Shah, S.P. Investigation on Physicochemical and Piezoresistive Properties of Smart MWCNT/Cementitious Composite Exposed to Elevated Temperatures. Cem. Concr. Compos. 2020, 112, 103675. [Google Scholar] [CrossRef]
- Dong, W.; Li, W.; Tao, Z.; Wang, K. Piezoresistive Properties of Cement-Based Sensors: Review and Perspective. Constr. Build. Mater. 2019, 203, 146–163. [Google Scholar] [CrossRef]
- Vipulanandan, C.; Mohammed, A. Smart Cement Rheological and Piezoresistive Behavior for Oil Well Applications. J. Pet. Sci. Eng. 2015, 135, 50–58. [Google Scholar] [CrossRef]
- Sanish, K.B.; Neithalath, N.; Santhanam, M. Monitoring the Evolution of Material Structure in Cement Pastes and Concretes Using Electrical Property Measurements. Constr. Build. Mater. 2013, 49, 288–297. [Google Scholar] [CrossRef]
- Wang, B.; Jiang, R.; Wu, Z. Investigation of the Mechanical Properties and Microstructure of Graphene Nanoplatelet-Cement Composite. Nanomaterials 2016, 6, 200. [Google Scholar] [CrossRef] [PubMed]
- Ju, Y.; Shen, T.; Wang, D. Bonding Behavior between Reactive Powder Concrete and Normal Strength Concrete. Constr. Build. Mater. 2020, 242, 118024. [Google Scholar] [CrossRef]
- Momayez, A.; Ehsani, M.R.; Ramezanianpour, A.A.; Rajaie, H. Comparison of Methods for Evaluating Bond Strength between Concrete Substrate and Repair Materials. Cem. Concr. Res. 2005, 35, 748–757. [Google Scholar] [CrossRef]
- He, Y.; Zhang, X.; Hooton, R.D.; Zhang, X. Effects of Interface Roughness and Interface Adhesion on New-to-Old Concrete Bonding. Constr. Build. Mater. 2017, 151, 582–590. [Google Scholar] [CrossRef]
- Zhang, Y.; Zhu, P.; Liao, Z.; Wang, L. Interfacial Bond Properties between Normal Strength Concrete Substrate and Ultra-High Performance Concrete as a Repair Material. Constr. Build. Mater. 2020, 235, 117431. [Google Scholar] [CrossRef]
- Feng, S.; Xiao, H.; Geng, J. Bond Strength between Concrete Substrate and Repair Mortar: Effect of Fibre Stiffness and Substrate Surface Roughness. Cem. Concr. Compos. 2020, 114, 103746. [Google Scholar] [CrossRef]
- Feldman, L.R.; Bartlett, F.M. Bond Strength Variability in Pullout Specimens with Plain Reinforcement. ACI Struct. J. 2005, 102, 860–867. [Google Scholar] [CrossRef]
- Mo, Y.L.; Chan, J. Bond and Slip of Plain Rebars in Concrete. J. Mater. Civ. Eng. 1996, 8, 208–211. [Google Scholar] [CrossRef]
- Downey, A.; D’Alessandro, A.; Ubertini, F.; Laflamme, S.; Geiger, R. Biphasic DC Measurement Approach for Enhanced Measurement Stability and Multi-Channel Sampling of Self-Sensing Multi-Functional Structural Materials Doped with Carbon-Based Additives. Smart Mater. Struct. 2017, 26, 065008. [Google Scholar] [CrossRef]
- Li, J.; Kim, J.K. Percolation Threshold of Conducting Polymer Composites Containing 3D Randomly Distributed Graphite Nanoplatelets. Compos. Sci. Technol. 2007, 67, 2114–2120. [Google Scholar] [CrossRef]
- Zare, Y. Study of Nanoparticles Aggregation/Agglomeration in Polymer Particulate Nanocomposites by Mechanical Properties. Compos. Part A Appl. Sci. Manuf. 2016, 84, 158–164. [Google Scholar] [CrossRef]
- Stankovich, S.; Dikin, D.A.; Dommett, G.H.B.; Kohlhaas, K.M.; Zimney, E.J.; Stach, E.A.; Piner, R.D.; Nguyen, S.B.T.; Ruoff, R.S. Graphene-Based Composite Materials. Nature 2006, 442, 282–286. [Google Scholar] [CrossRef] [PubMed]
- Macdonald, J.R.; Barsoukov, E. Impedance Spectroscopy: Theory Experiment, and Applications; John Wiley and Sons Inc.: Hoboken, NJ, USA, 2018; ISBN 9781119333173. [Google Scholar]
- Laflamme, S.; Ubertini, F. Back-to-Basics: Self-Sensing Materials for Nondestructive Evaluation. Self-Sens. Mater. Nondestruct. Eval. Mater. Eval. 2019, 78, 526–536. [Google Scholar]
- Konsta-Gdoutos, M.S.; Aza, C.A. Self Sensing Carbon Nanotube (CNT) and Nanofiber (CNF) Cementitious Composites for Real Time Damage Assessment in Smart Structures. Cem. Concr. Compos. 2014, 53, 162–169. [Google Scholar] [CrossRef]
- Li, H.; Xiao, H.G.; Ou, J.P. Effect of Compressive Strain on Electrical Resistivity of Carbon Black-Filled Cement-Based Composites. Cem. Concr. Compos. 2006, 28, 824–828. [Google Scholar] [CrossRef]
- Gerber, M.; Weaver, C.; Aygun, L.E.; Verma, N.; Sturm, J.C.; Glišić, B. Strain Transfer for Optimal Performance of Sensing Sheet. Sensors 2018, 18, 1907. [Google Scholar] [CrossRef] [PubMed]
- Minagawa, H.; Miyamoto, S.; Kurashige, I.; Hisada, M. Appropriate Geometrical Factors for Four-Probe Method to Evaluate Electrical Resistivity of Concrete Specimens. Constr. Build. Mater. 2023, 374, 130784. [Google Scholar] [CrossRef]
- Chung, D.D.L. Pitfalls in Piezoresistivity Testing. J. Electron. Mater. 2022, 51, 5473–5481. [Google Scholar] [CrossRef]
- Mao, N.; Enrique, P.D.; Chen, A.I.H.; Zhou, N.Y.; Peng, P. Dynamic Response and Failure Mechanisms of a Laser-Fabricated Flexible Thin Film Strain Gauge. Sens. Actuators A Phys. 2022, 342, 113655. [Google Scholar] [CrossRef]
- Li, G.; Zhao, Y.; Pang, S.S.; Li, Y. Effective Young’s Modulus Estimation of Concrete. Cem. Concr. Res. 1999, 29, 1455–1462. [Google Scholar] [CrossRef]
- Manawadu, A.; Qiao, P.; Wen, H. Characterization of Substrate-to-Overlay Interface Bond in Concrete Repairs: A Review. Constr. Build. Mater. 2023, 373, 130828. [Google Scholar] [CrossRef]
- Zhou, J.; Ye, G.; Schlangen, E.; van Breugel, K. Modelling of Stresses and Strains in Bonded Concrete Overlays Subjected to Differential Volume Changes. Theor. Appl. Fract. Mech. 2008, 49, 199–205. [Google Scholar] [CrossRef]
- Hasani, M.; Moghadas Nejad, F.; Sobhani, J.; Chini, M. Mechanical and Durability Properties of Fiber Reinforced Concrete Overlay: Experimental Results and Numerical Simulation. Constr. Build. Mater. 2021, 268, 121083. [Google Scholar] [CrossRef]
- Shah, S.G.; Kishen, J.M.C. Fracture Properties of Concrete-Concrete Interfaces Using Digital Image Correlation. Exp. Mech. 2011, 51, 303–313. [Google Scholar] [CrossRef]
- BS EN 1504-3:2005; Products and Systems for the Protection and Repair of Concrete Structures—Definitions, Requirements, Quality Control and Evaluation of Conformity—Part 3: Structural and Non-Structural Repair. British Standards Institution: London, UK, 2005.
- ASTM C1583/1583M-20; Standard Test Method for Tensile Strength of Concrete Surfaces and the Bond Strength or Tensile Strength of Concrete Repair and Overlay Materials by Direct Tension (Pull-off Method). American Society for Testing and Materials: West Conshohocken, PA, USA, 2020.
- Abo Sabah, S.H.; Hassan, M.H.; Muhamad Bunnori, N.; Megat Johari, M.A. Bond Strength of the Interface between Normal Concrete Substrate and GUSMRC Repair Material Overlay. Constr. Build. Mater. 2019, 216, 261–271. [Google Scholar] [CrossRef]
- Simon, A.; Peter, R.; Youguang, P. Shear Bond Testing of Concrete Repairs. Cem. Concr. Res. 1999, 29, 249–259. [Google Scholar] [CrossRef]
- Guo, W.; Wei, Y.; Ma, L. Shrinkage-Induced Warping of UHPC Overlay Cast on Hardened NSC Substrate under Various Conditions. Cem. Concr. Compos. 2022, 134, 104772. [Google Scholar] [CrossRef]
- Teng, L.; Khayat, K.H. Effect of Overlay Thickness, Fiber Volume, and Shrinkage Mitigation on Flexural Behavior of Thin Bonded Ultra-High-Performance Concrete Overlay Slab. Cem. Concr. Compos. 2022, 134, 104752. [Google Scholar] [CrossRef]
- Beushausen, H.; Alexander, M.G. Failure Mechanisms and Tensile Relaxation of Bonded Concrete Overlays Subjected to Differential Shrinkage. Cem. Concr. Res. 2006, 36, 1908–1914. [Google Scholar] [CrossRef]

















| Appearance (colour) | Black |
| Form | Powder |
| Ash (%) | ≤0.50 |
| Electrical resistivity (Ω∙cm) | ≤0.25 |
| pH | 7.6 |
| Moisture (%) | 0.12 |
| Average particle size (nm) | 42 |
| Surface area (m2/g) | 75 |
| Bulk density (g/L) | 170–230 |
| Cement | Water | Fine Aggregate | Coarse Aggregate |
|---|---|---|---|
| 395 | 178 | 829 | 1184 |
| Name | Cement | Water | Carbon Black | Dispersant | CB Dosage [wt%] | CB Dosage [vol%] |
|---|---|---|---|---|---|---|
| CTRL | 2950.0 | 1327.5 | 0 | 0 | 0 | 0 |
| CB0.1 | 2948.6 | 2.9 | 0.3 | 0.1 | 0.6 | |
| CB1 | 2935.6 | 29.2 | 2.9 | 1.0 | 5.9 | |
| CB2 | 2921.2 | 57.8 | 5.8 | 2.0 | 11.1 | |
| CB2.5 | 2914.0 | 72.0 | 7.2 | 2.5 | 13.5 | |
| CB3 | 2906.8 | 85.9 | 8.6 | 3.0 | 15.7 | |
| CB4 | 2892.4 | 113.5 | 11.3 | 4.0 | 19.9 | |
| CB5 | 2878.0 | 140.5 | 14.1 | 5.0 | 23.6 |
Disclaimer/Publisher’s Note: The statements, opinions and data contained in all publications are solely those of the individual author(s) and contributor(s) and not of MDPI and/or the editor(s). MDPI and/or the editor(s) disclaim responsibility for any injury to people or property resulting from any ideas, methods, instructions or products referred to in the content. |
© 2024 by the authors. Licensee MDPI, Basel, Switzerland. This article is an open access article distributed under the terms and conditions of the Creative Commons Attribution (CC BY) license (https://creativecommons.org/licenses/by/4.0/).
Share and Cite
Milone, G.; Vlachakis, C.; Tulliani, J.-M.; Al-Tabbaa, A. Strain Monitoring of Concrete Using Carbon Black-Based Smart Coatings. Materials 2024, 17, 1577. https://doi.org/10.3390/ma17071577
Milone G, Vlachakis C, Tulliani J-M, Al-Tabbaa A. Strain Monitoring of Concrete Using Carbon Black-Based Smart Coatings. Materials. 2024; 17(7):1577. https://doi.org/10.3390/ma17071577
Chicago/Turabian StyleMilone, Gabriele, Christos Vlachakis, Jean-Marc Tulliani, and Abir Al-Tabbaa. 2024. "Strain Monitoring of Concrete Using Carbon Black-Based Smart Coatings" Materials 17, no. 7: 1577. https://doi.org/10.3390/ma17071577
APA StyleMilone, G., Vlachakis, C., Tulliani, J.-M., & Al-Tabbaa, A. (2024). Strain Monitoring of Concrete Using Carbon Black-Based Smart Coatings. Materials, 17(7), 1577. https://doi.org/10.3390/ma17071577

