Steel Catenary Riser Fatigue Assessment: Fracture Mechanics Approach Versus S–N Curve Method
Abstract
1. Introduction
2. Materials and Methods
2.1. Material Properties and Welding Process
2.2. Resonance Bending Test for Full Scale Girth Weld Joint
3. Fatigue Assessment Based on Fracture Mechanics
3.1. The NASGRO Model by FRANC3D
3.2. FAD Method in BS 7910
- (1)
- Option 1 of failure assessment procedures: basic level
- (2)
- Option 2 of failure assessment procedures: standard levelwhere is the reference strain.
- (3)
- Option 3 of failure assessment procedures: advanced levelwhere and are the elastic and plastic components of J-integral, respectively.
4. Result
4.1. S–N Curve and Comparison with BS 7608
4.2. Numerical Prediction Based on the Crack Growth Model
4.2.1. Equivalence of Load Condition
4.2.2. Geometry Simplification of the Pipeline
4.2.3. Modeling and Insertion of the Initial Crack
4.2.4. Simulation of Fatigue Crack Growth
4.2.5. Fatigue Life Prediction
4.3. Assessment by FAD
4.3.1. Stress Intensity Factor Solution
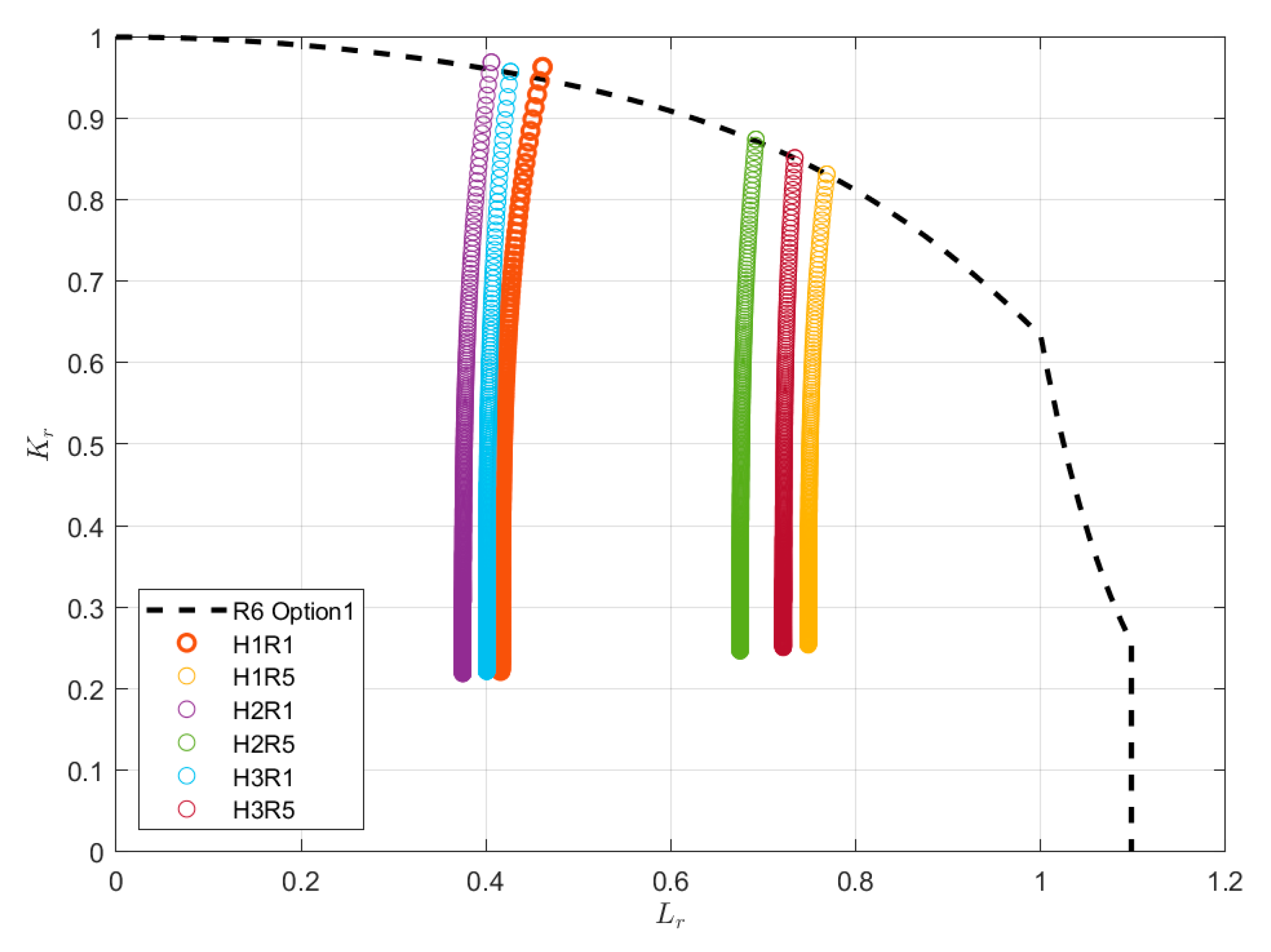
4.3.2. Fatigue–Fracture Assessment
4.4. Comparative Study of Assessment Methods
5. Summary
- (a)
- The geometrical concentration introduced by full-scale girth weld is predominant for fatigue behaviors, and the competition for crack initiation exists between the toes of the weld root and cap, which depends on the weld root convexity;
- (b)
- The analytical results based on fracture mechanics are able to provide a rational estimation of full-scale girth weld, although the conservative prediction is still not trivial. The , which refers to the stress correction factor recommended, may overestimate the three-dimensional stress intensity factor for internal surface cracks located at the girth pipe root toe. To improve the accuracy, the new formula of for both weld cap and root toes shall be determined by three-dimensional finite element simulation;
- (c)
- For the numerical assessment (NASGRO equation) methods, the assessed fatigue life is relatively lower than the experimental results due to the neglected short crack growth. However, for the well-manufactured welded joint, it is widely recognized that the crack initiation or short crack growth phase amounts to most of the fatigue life. However, the present fracture mechanics approach is still under development to incorporate the proper short crack propagation theory into the fatigue assessment to improve their accuracy and ratability;
- (d)
- For internal surface cracks located at the girth pipe root toe, to assess the impact of various parameters on the , three-dimensional finite element models are developed. These models take different types of welding misalignment, a range of variable-wall-thickness ratios, and initial crack depths into account. The findings reveal that the stress intensity correction factor Mk tends to increase with the rise in misalignment and variable-wall-thickness ratio.
Author Contributions
Funding
Institutional Review Board Statement
Informed Consent Statement
Data Availability Statement
Conflicts of Interest
References
- Hejazi, R.; Grime, A.; Randolph, M.; Efthymiou, M. A Bayesian machine learning approach to rapidly quantifying the fatigue probability of failure for steel catenary risers. Ocean Eng. 2021, 235, 109353. [Google Scholar] [CrossRef]
- Zou, J. Semisubmersible platforms with Steel Catenary Risers for Western Australia and Gulf of Mexico. Ocean Syst. Eng. 2012, 2, 99–113. [Google Scholar] [CrossRef]
- Xie, W.; Liang, Z.; Jiang, Z.; Pan, J.; Hu, Z.; Cabrera, J. A study on the dynamic responses of a steel catenary riser transporting varying-density flow and subjected to regular waves. Ocean Eng. 2022, 265, 112670. [Google Scholar] [CrossRef]
- Wang, W.; Wu, J.; Yan, F.; Zhang, H.; Zhang, D. Defect assessment of steel catenary risers considering welding residual stress. Ocean Eng. 2024, 295, 116765. [Google Scholar] [CrossRef]
- Ibrion, M. Learning from failures: Accidents of marine structures on Norwegian continental shelf over 40 years time period. Eng. Fail. Anal. 2020, 111, 104487. [Google Scholar] [CrossRef]
- Figueredo, A.K.M. Subsea pipelines incidents prevention: A case study in Brazil. J. Loss Prev. Process Ind. 2023, 83, 105007. [Google Scholar] [CrossRef]
- Milne, I.; Ainsworth, R.A.; Dowling, A.R.; Stewart, A.T. R6-Assessment of the integrity of structures containing defects. Int. J. Press. Vessel. Pip. 1988, 32, 3–104. [Google Scholar] [CrossRef]
- Guo, B. (Ed.) Offshore Pipelines; GPP: Amsterdam, The Netherlands; Boston, MA, USA, 2005. [Google Scholar]
- IIW-2259-15; Recommendations for Fatigue Design of Welded Joints and Components. International Institute of Welding; Springer International Publication: Cham, Switzerland, 2016.
- DNV-RP-C203; Fatigue Design of Offshore Steel Structures. Det Norske Veritas Germanischer Lloyd: Høvik, Norway, 2011.
- Dong, Y. Improved effective notch strain approach for fatigue reliability assessment of load-carrying fillet welded cruciform joints in low and high cycle fatigue. Mar. Struct. 2021, 75, 102849. [Google Scholar] [CrossRef]
- BS 7608; Guide to Fatigue Design and Assessment of Steel Products. British Standards Institution, BSI Standards Publication: London, UK, 2014.
- Maljaars, J. Probabilistic model for fatigue crack growth and fracture of welded joints in civil engineering structures. Int. J. Fatigue 2012, 38, 108–117. [Google Scholar] [CrossRef]
- Kyriakides, S.; Corona, E. Mechanics of Offshore Pipelines; Elsevier: Amsterdam, The Netherlands; Boston, MA, USA, 2007. [Google Scholar]
- Wu, S.; Feng, J.; Cheng, F.; Wang, Z.; Wang, D. Research on root appearance and fatigue life of steel catenary riser (SCR) using GMAW/GTAW-P double-sided root welding process. Int. J. Press. Vessel. Pip. 2023, 201, 104866. [Google Scholar] [CrossRef]
- BS 7910; Guide to Methods for Assessing the Acceptability of Flaws in Metallic Structures. British Standards Institution, BSI Standards Publication: London, UK, 2013.
- Maierhofer, J.; Pippan, R.; Ganser, H.-P. Modified NASGRO equation for short cracks and application to the fitness-for-purpose assessment of surface-treated components. Procedia Mater. Sci. 2014, 3, 930–935. [Google Scholar] [CrossRef]
- Forman, G.; Mettu, R. Behavior of Surface and Corner Cracks Subjected to Tensile and Bending Loads in Ti-6A1-4V Alloy. 1990. Available online: https://ntrs.nasa.gov/citations/19910009960 (accessed on 15 September 2024).
- Mettu, S.R.; Shivakumar, V.; Forman, R.G.; McMahon, J.J.; Johnson, N.; Newman, J.C.; Langley, N. NASGRO 3.0—A Software for Analyzing Aging Aircraft. 1995. Available online: https://ntrs.nasa.gov/citations/19990028759 (accessed on 10 July 2024).
- Newman, J.C. A crack opening stress equation for fatigue crack growth. Int. J. Fract. 1984, 24, R131–R135. [Google Scholar] [CrossRef]
- Zerbst, U.; Schwalbe, K.-H.; Ainsworth, R.A. 7.01—An Overview of Failure Assessment Methods in Codes and Standards. In Comprehensive Structural Integrity; Milne, I., Ritchie, R.O., Karihaloo, B., Eds.; Pergamon: Oxford, UK, 2003; pp. 1–48. [Google Scholar] [CrossRef]
- Li, S.; Gong, B.; Dai, L.; Deng, C.; Di, X. Data-driven probabilistic failure assessment curve based on similitude principle. Int. J. Solids Struct. 2024, 295, 112819. [Google Scholar] [CrossRef]
- Fajuyigbe, A.; Brennan, F. Fitness-for-purpose assessment of cracked offshore wind turbine monopile. Mar. Struct. 2021, 77, 102965. [Google Scholar] [CrossRef]
- Canale, G.; Kinawy, M.; Maligno, A.; Sathujoda, P.; Citarella, R. Study of Mixed-Mode Cracking of Dovetail Root of an Aero-Engine Blade Like Structure. Appl. Sci. 2019, 9, 3825. [Google Scholar] [CrossRef]
- Mangardich, D.; Abrari, F.; Fawaz, Z. Modeling crack growth of an aircraft engine high pressure compressor blade under combined HCF and LCF loading. Eng. Fract. Mech. 2019, 214, 474–486. [Google Scholar] [CrossRef]
- Dong, P.; Hong, J.K.; Osage, D.A.; Dewees, D.; Prager, M. The master S-N curve method: An implementation for fatigue evaluation of welded components in the ASME B&PV code, section VIII, division 2 and API 579-1/ASME FFS-1. In Welding Research Council Bulletin (TN.523); Welding Research Council: New York, NY, USA, 2010. [Google Scholar]
- Erdogan, F.; Sih, G.C. On the crack extension in plates under plane loading and transverse shear. J. Basic Eng. 1963, 85, 519–525. [Google Scholar] [CrossRef]
- Delkhosh, E.; Khurshid, M.; Barsoum, I.; Barsoum, Z. Fracture mechanics and fatigue life assessment of box-shaped welded structures: FEM analysis and parametric design. Weld. World 2020, 64, 1535–1551. [Google Scholar] [CrossRef]

















| Current/A | Voltage/V | Feeding Speed /cm/min | Welding Speed /mm/min | Interlayer Temperature/°C | |
|---|---|---|---|---|---|
| Double-sided Root welding | MIG:200 TIG:280 | MIG:18 TIG:10 | / | 270 | 70 | 
| Fill | 300 | 14 | 75 | 110–120 | 200–250 | 
| Weld cap1 | 230 | 13 | 45 | 120 | 220 | 
| Weld cap2 | 220 | 13 | 45 | 110 | 225 | 
| Parameters | Value | Parameters | Value | 
|---|---|---|---|
| σu/MPa | 580 | a0/mm | 0.0381 | 
| σs/MPa | 506 | n | 2.8 | 
| KIc/MPa·m1/2 | 109.9 | c | 1.23 × 10−12 | 
| ΔK0/MPa·m1/2 | 6.59 | P | 0.5 | 
| Ak | 0.75 | q | 0.5 | 
| Bk | 0.5 | Cth | 2.2 | 
| Specimen No. | Stress Range Δσ/MPa | Internal Pressure σmean/MPa | Loading Cycle | Post-Weld Treatment | 
|---|---|---|---|---|
| L-1 | 68.9 | 72 | 32,003,250 (run-out) | Cap flush | 
| L-2 | 68.9 | 65 | 32,900,204 (run-out) | As-weld | 
| M-1 | 103.4 | 68 | 12,965,535 (run-out) | Cap flush | 
| M-2 | 103.4 | 71 | 13,555,804 (run-out) | As-weld | 
| H-1 | 172.4 | 67 | 559,600 | Cap flush | 
| H-2 | 173.0 | 67 | 755,400 | As-weld | 
| H-3 | 193.0 | 70 | 1,150,000 | As-weld | 
| H-4 | 193.0 | 70 | 3,050,000 | Cap flush | 
| Specimen | Crack Location | L/mm | B/mm | z/mm | L/B | z/B | v | w | Mk | 
|---|---|---|---|---|---|---|---|---|---|
| H-1 | Weld root toe | 3.2 | 18.3 | 0.1 | ≤2 | ≤0.05(L/B)0.55 | 0.3185 | −0.31 | 1.6 | 
| H-2 | Weld cap toe | 14.1 | 18.3 | 0.1 | ≤2 | ≤0.05(L/B)0.55 | 0.4753 | −0.31 | 2.4 | 
| H-3 | Weld cap toe | / | / | 0.1 | / | / | / | / | 1.0 | 
| H-4 | Weld cap toe | 15.5 | 18.3 | 0.1 | ≤2 | ≤0.05(L/B)0.55 | 0.4876 | −0.31 | 2.5 | 
| Specimen | Crack Location | Mk | 
|---|---|---|
| H-1 | Weld root | 1.0 | 
| H-1 | Weld root | 1.6 | 
| H-1 | Weld root | 1.0 | 
| H-2 | Weld toe | 1.0 | 
| H-2 | Weld toe | 2.4 | 
| H-2 | Weld toe | 1.0 | 
| H-3 | Weld toe | 1.0 | 
| H-4 | Weld toe | 2.5 | 
| Specimen | Stress Ratio | Mk | Fatigue Life/Cycle | 
|---|---|---|---|
| H-1 | 0.1 | 1 | 573,012 | 
| 0.5 | 1 | 67,642 | |
| 0.1 | 1.6 | 112,353 | |
| H-2 | 0.1 | 1 | 614,744 | 
| 0.5 | 1 | 77,834 | |
| 0.1 | 2.4 | 10,011 | |
| H-3 | 0.1 | 1 | 551,000 | 
| 0.5 | 1 | 69,000 | |
| H-4 | 0.1 | 1 | 556,452 | 
| 0.5 | 1 | 71,872 | |
| 0.1 | 2.5 | 9144 | 
| Specimen | Fracture Position | Welding Misalignment/mm | 
|---|---|---|
| H-1 | Inner | 1.008 | 
| H-2 | Outer | 0.272 | 
| H-3 | Outer | 0.0 | 
| H-4 | Outer | 0.0 | 
| Specimen No. | Stress Ratio/R | Failure Crack Size/mm | Fatigue Life N/Cycle | ||
|---|---|---|---|---|---|
| a | 2c | ||||
| H-1 | H1R1 | 0.1 | 7.31 | 17.74 | 295,000 | 
| H1R5 | 0.5 | 3.99 | 9.25 | 270,000 | |
| H-2 | H2R1 | 0.1 | 7.85 | 18.52 | 462,000 | 
| H2R5 | 0.5 | 4.86 | 11.14 | 437,000 | |
| H-3 | H3R1 | 0.1 | 7.52 | 17.41 | 382,000 | 
| H3R5 | 0.5 | 4.42 | 10.03 | 358,000 | |
| Specimen No. | FEA | FAD | ||
|---|---|---|---|---|
| Stress Ratio/R | Mk | Percentage Deviation/% | Percentage Deviation/% | |
| H-1 | 0.1 | 1.0 | +2.38 | −47.29 | 
| 1.6 | −79.93 | |||
| H-2 | 0.1 | 1.0 | −18.63 | −38.85 | 
| 2.4 | −98.67 | |||
| H-3 | 0.1 | 1.0 | −52.09 | −66.78 | 
| H-4 | 0.1 | 1.0 | −81.76 | −66.78 | 
| 0.1 | 2.5 | −99.70 | ||
| Disclaimer/Publisher’s Note: The statements, opinions and data contained in all publications are solely those of the individual author(s) and contributor(s) and not of MDPI and/or the editor(s). MDPI and/or the editor(s) disclaim responsibility for any injury to people or property resulting from any ideas, methods, instructions or products referred to in the content. | 
© 2024 by the authors. Licensee MDPI, Basel, Switzerland. This article is an open access article distributed under the terms and conditions of the Creative Commons Attribution (CC BY) license (https://creativecommons.org/licenses/by/4.0/).
Share and Cite
Zhang, N.; Deng, C.; Zhang, W.; Li, S.; Gong, B. Steel Catenary Riser Fatigue Assessment: Fracture Mechanics Approach Versus S–N Curve Method. Materials 2024, 17, 5677. https://doi.org/10.3390/ma17225677
Zhang N, Deng C, Zhang W, Li S, Gong B. Steel Catenary Riser Fatigue Assessment: Fracture Mechanics Approach Versus S–N Curve Method. Materials. 2024; 17(22):5677. https://doi.org/10.3390/ma17225677
Chicago/Turabian StyleZhang, Niantao, Caiyan Deng, Wenqiang Zhang, Siyuan Li, and Baoming Gong. 2024. "Steel Catenary Riser Fatigue Assessment: Fracture Mechanics Approach Versus S–N Curve Method" Materials 17, no. 22: 5677. https://doi.org/10.3390/ma17225677
APA StyleZhang, N., Deng, C., Zhang, W., Li, S., & Gong, B. (2024). Steel Catenary Riser Fatigue Assessment: Fracture Mechanics Approach Versus S–N Curve Method. Materials, 17(22), 5677. https://doi.org/10.3390/ma17225677
 
        

 
       