The Synthesis of a Large Stokes-Shift Dye and Intercalation into the Nanochannels of Zeolite L
Abstract
1. Introduction
2. Materials and Methods
2.1. Chemicals
2.2. Synthesis of BBTN and BBTA
2.3. Synthesis of the BBTA-ZL Composite
2.4. Characterization
3. Results and Discussion
3.1. BBTN
3.2. BBTA
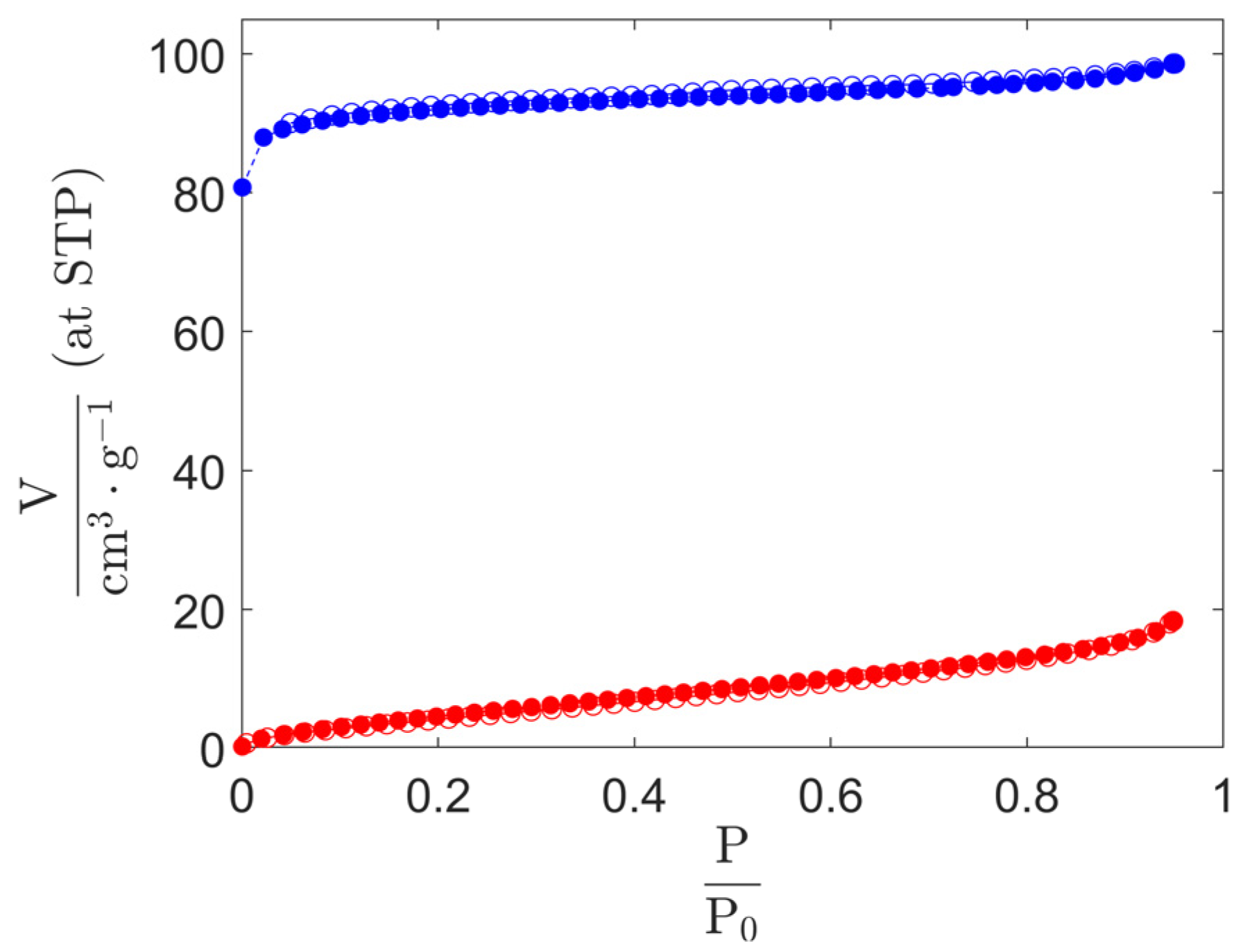
3.3. BBTA-ZL
3.4. BBTA-ZL-s
4. Conclusions
Supplementary Materials
Author Contributions
Funding
Data Availability Statement
Acknowledgments
Conflicts of Interest
References
- Woodtli, P.; Giger, S.; Müller, P.; Sägesser, L.; Zucchetto, N.; Reber, M.J.; Ecker, A.; Brühwiler, D. Indigo in the Nanochannels of Zeolite L: Towards a New Type of Colorant. Dye. Pigment. 2018, 149, 456–461. [Google Scholar] [CrossRef]
- Cao, P.; Khorev, O.; Devaux, A.; Sägesser, L.; Kunzmann, A.; Ecker, A.; Häner, R.; Brühwiler, D.; Calzaferri, G.; Belser, P. Supramolecular Organization of Dye Molecules in Zeolite L Channels: Synthesis, Properties, and Composite Materials. Chem. Eur. J. 2016, 22, 4046–4060. [Google Scholar] [CrossRef] [PubMed]
- Strassert, C.A.; Otter, M.; Albuquerque, R.Q.; Höne, A.; Vida, Y.; Maier, B.; De Cola, L. Photoactive Hybrid Nanomaterial for Targeting, Labeling, and Killing Antibiotic-Resistant Bacteria. Angew. Chem. Int. Ed. 2009, 48, 7928–7931. [Google Scholar] [CrossRef] [PubMed]
- Brühwiler, D.; Calzaferri, G.; Torres, T.; Ramm, J.H.; Gartmann, N.; Dieu, L.-Q.; López-Duarte, I.; Martínez-Díaz, M.V. Nanochannels for Supramolecular Organization of Luminescent Guests. J. Mater. Chem. 2009, 19, 8040. [Google Scholar] [CrossRef]
- Devaux, A.; Calzaferri, G.; Belser, P.; Cao, P.; Brühwiler, D.; Kunzmann, A. Efficient and Robust Host–Guest Antenna Composite for Light Harvesting. Chem. Mater. 2014, 26, 6878–6885. [Google Scholar] [CrossRef]
- Calzaferri, G.; Brühwiler, D.; Megelski, S.; Pfenniger, M.; Pauchard, M.; Hennessy, B.; Maas, H.; Devaux, A.; Graf, U. Playing with Dye Molecules at the Inner and Outer Surface of Zeolite L. Solid State Sci. 2000, 2, 421–447. [Google Scholar] [CrossRef]
- Weber, W.H.; Lambe, J. Luminescent Greenhouse Collector for Solar Radiation. Appl. Opt. 1976, 15, 2299–2300. [Google Scholar] [CrossRef]
- Batchelder, J.S.; Zewail, A.H.; Cole, T. Luminescent Solar Concentrators. 1: Theory of Operation and Techniques for Performance Evaluation. Appl. Opt. 1979, 18, 3090–3110. [Google Scholar] [CrossRef]
- Goetzberger, A.; Greubel, W. Solar Energy Conversion with Fluorescent Collectors. Appl. Phys. 1977, 14, 123–139. [Google Scholar] [CrossRef]
- Dienel, T.; Bauer, C.; Dolamic, I.; Brühwiler, D. Spectral-Based Analysis of Thin Film Luminescent Solar Concentrators. Sol. Energy 2010, 84, 1366–1369. [Google Scholar] [CrossRef]
- Liu, H.; Jiang, G.; Ke, G.; Ren, T.; Yuan, L. Organic Fluorophores with Large Stokes Shift for Bioimaging and Biosensing. ChemPhotoChem 2024, 8, e202300277. [Google Scholar] [CrossRef]
- Horváth, P.; Šebej, P.; Šolomek, T.; Klán, P. Small-Molecule Fluorophores with Large Stokes Shifts: 9-Iminopyronin Analogues as Clickable Tags. J. Org. Chem. 2015, 80, 1299–1311. [Google Scholar] [CrossRef] [PubMed]
- Lehnert, M.; Kipf, E.; Schlenker, F.; Borst, N.; Zengerle, R.; Von Stetten, F. Fluorescence Signal-to-Noise Optimisation for Real-Time PCR Using Universal Reporter Oligonucleotides. Anal. Methods 2018, 10, 3444–3454. [Google Scholar] [CrossRef]
- Yue, Y.; Zhao, T.; Xu, Z.; Chi, W.; Chai, X.; Ai, J.; Zhang, J.; Huo, F.; Strongin, R.M.; Yin, C. Enlarging the Stokes Shift by Weakening the π -Conjugation of Cyanines for High Signal-to-Noise Ratiometric Imaging. Adv. Sci. 2023, 10, 2205080. [Google Scholar] [CrossRef] [PubMed]
- Ruiz, A.Z.; Brühwiler, D.; Ban, T.; Calzaferri, G. Synthesis of Zeolite L. Tuning Size and Morphology. Monatshefte Chem. Chem. Mon. 2005, 136, 77–89. [Google Scholar] [CrossRef]
- Gomez, A.G.; de Silveira, G.; Doan, H.; Cheng, C.-H. A Facile Method to Tune Zeolite L Crystals with Low Aspect Ratio. Chem. Commun. 2011, 47, 5876–5878. [Google Scholar] [CrossRef]
- Ban, T.; Saito, H.; Naito, M.; Ohya, Y.; Takahashi, Y. Synthesis of Zeolite L Crystals with Different Shapes. J. Porous Mater. 2007, 14, 119–126. [Google Scholar] [CrossRef]
- Tsapatsis, M.; Lovallo, M.; Okubo, T.; Davis, M.E.; Sadakata, M. Characterization of Zeolite L Nanoclusters. Chem. Mater. 1995, 7, 1734–1741. [Google Scholar] [CrossRef]
- Gao, Z.; Hao, Y.; Zheng, M.; Chen, Y. A Fluorescent Dye with Large Stokes Shift and High Stability: Synthesis and Application to Live Cell Imaging. RSC Adv. 2017, 7, 7604–7609. [Google Scholar] [CrossRef]
- Kutzelnigg, A.; Königsheim, F. Die Einstellung Der Relativen Feuchte Mit Hilfe von Gesättigten Salzlösungen. Mater. Corros. 1963, 14, 181–186. [Google Scholar] [CrossRef]
- Robin, M.; Faure, R.; Périchaud, A.; Galy, J.-P. Synthesis of new tetracycle fused acridine analogues bearing oxazole ring. Synth. Commun. 2002, 32, 981–988. [Google Scholar] [CrossRef]
- Reichardt, C. Empirical Parameters of Solvent Polarity as Linear Free-Energy Relationships. Angew. Chem. Int. Ed. Engl. 1979, 18, 98–110. [Google Scholar] [CrossRef]
- Reichardt, C. Solvatochromic Dyes as Solvent Polarity Indicators. Chem. Rev. 1994, 94, 2319–2358. [Google Scholar] [CrossRef]
- Su, Y.; Ren, H.; Li, X. Novel Nonequilibrium Solvation Theory for Calculating the Solvatochromic Stokes Shift by State-Specific TD-DFT. Chem. Phys. Lett. 2019, 732, 136640. [Google Scholar] [CrossRef]
- Fung, S.Y.; Duhamel, J.; Chen, P. Solvent Effect on the Photophysical Properties of the Anticancer Agent Ellipticine. J. Phys. Chem. A 2006, 110, 11446–11454. [Google Scholar] [CrossRef]
- Divac, V.M.; Šakić, D.; Weitner, T.; Gabričević, M. Solvent Effects on the Absorption and Fluorescence Spectra of Zaleplon: Determination of Ground and Excited State Dipole Moments. Spectrochim. Acta A Mol. Biomol. Spectrosc. 2019, 212, 356–362. [Google Scholar] [CrossRef]
- Turro, N.J. Modern Molecular Photochemistry; University Science Books: Mill Valley, CA, USA, 1991; ISBN 978-0-935702-71-2. [Google Scholar]
- Lustenberger, S.; Brühwiler, D. Sealing of Zeolite L Channels with Ethoxysilanes: Influence of Molecular Structure and Thermal Treatment. ChemistrySelect 2024, 9, e202305048. [Google Scholar] [CrossRef]
- Albuquerque, R.Q.; Calzaferri, G. Proton Activity Inside the Channels of Zeolite L. Chem. Eur. J. 2007, 13, 8939–8952. [Google Scholar] [CrossRef]
- Pfenniger, M.; Calzaferri, G. Intrazeolite Diffusion Kinetics of Dye Molecules in the Nanochannels of Zeolite L, Monitored by Energy Transfer. ChemPhysChem 2000, 1, 211–217. [Google Scholar] [CrossRef]
- Thommes, M.; Kaneko, K.; Neimark, A.V.; Olivier, J.P.; Rodriguez-Reinoso, F.; Rouquerol, J.; Sing, K.S.W. Physisorption of Gases, with Special Reference to the Evaluation of Surface Area and Pore Size Distribution (IUPAC Technical Report). Pure Appl. Chem. 2015, 87, 1051–1069. [Google Scholar] [CrossRef]
- Calzaferri, G.; Huber, S.; Maas, H.; Minkowski, C. Host–Guest Antenna Materials. Angew. Chem. Int. Ed. 2003, 42, 3732–3758. [Google Scholar] [CrossRef] [PubMed]
- Más-Montoya, M.; García Alcaraz, A.; Espinosa Ferao, A.; Bautista, D.; Curiel, D. Insight into the Stokes Shift, Divergent Solvatochromism and Aggregation-Induced Emission of Boron Complexes with Locked and Unlocked Benzophenanthridine Ligands. Dye. Pigment. 2023, 209, 110924. [Google Scholar] [CrossRef]
- Mohd Yusof Chan, N.N.; Idris, A.; Zainal Abidin, Z.H.; Tajuddin, H.A.; Abdullah, Z. White Light Employing Luminescent Engineered Large (Mega) Stokes Shift Molecules: A Review. RSC Adv. 2021, 11, 13409–13445. [Google Scholar] [CrossRef] [PubMed]
- Khodadadi Yazdi, M.; Zarrintaj, P.; Hosseiniamoli, H.; Mashhadzadeh, A.H.; Saeb, M.R.; Ramsey, J.D.; Ganjali, M.R.; Mozafari, M. Zeolites for Theranostic Applications. J. Mater. Chem. B 2020, 8, 5992–6012. [Google Scholar] [CrossRef]
- Ma, Y.; Niu, J.; Liang, X.; Wang, L.; Zhang, Y.; Lv, H.; Wang, T.; Wang, J.; Zhang, X.; Xu, S.; et al. In-Situ Gastritis Diagnosis by an Oral-Administration NIR Fluorescent Probe with a Large Stokes Shift and High Signal-to-Noise Ratio. Chem. Eng. J. 2023, 464, 142767. [Google Scholar] [CrossRef]
- Zhang, J.; Chen, R.; Zhu, Z.; Adachi, C.; Zhang, X.; Lee, C.-S. Highly Stable Near-Infrared Fluorescent Organic Nanoparticles with a Large Stokes Shift for Noninvasive Long-Term Cellular Imaging. ACS Appl. Mater. Interfaces 2015, 7, 26266–26274. [Google Scholar] [CrossRef]
- Zhao, Y.; Chen, K.; Zhu, L.; Huang, Q. Data-Driven Machine Learning Models for Quick Prediction of the Stokes Shift of Organic Fluorescent Materials. Dye. Pigment. 2023, 220, 111670. [Google Scholar] [CrossRef]
- Zhang, J.; Li, R.; Bei, Y.; Xu, X.-D.; Kang, W. Design of a Large Stokes Shift Ratiometric Fluorescent Sensor with Hypochlorite Detection towards the Potential Application as Invisible Security Ink. Spectrochim. Acta A Mol. Biomol. Spectrosc. 2023, 285, 121859. [Google Scholar] [CrossRef]
- Mandal, M.; Chatterjee, T.; Das, A.; Mandal, S.; Sen, A.; Ta, M.; Mandal, P.K. Meta-Fluors—A Unique Way to Create a 200 Da Ultrasmall Fluorophore Emitting in Red with Intense Stokes/Solvatochromic Shift: Imaging Subcellular Nanopolarity in Live Stem Cells. J. Phys. Chem. C 2019, 123, 24786–24792. [Google Scholar] [CrossRef]








Disclaimer/Publisher’s Note: The statements, opinions and data contained in all publications are solely those of the individual author(s) and contributor(s) and not of MDPI and/or the editor(s). MDPI and/or the editor(s) disclaim responsibility for any injury to people or property resulting from any ideas, methods, instructions or products referred to in the content. |
© 2024 by the authors. Licensee MDPI, Basel, Switzerland. This article is an open access article distributed under the terms and conditions of the Creative Commons Attribution (CC BY) license (https://creativecommons.org/licenses/by/4.0/).
Share and Cite
Walther, F.; Ecker, A.; Brühwiler, D.; Bornand, M. The Synthesis of a Large Stokes-Shift Dye and Intercalation into the Nanochannels of Zeolite L. Materials 2024, 17, 5669. https://doi.org/10.3390/ma17225669
Walther F, Ecker A, Brühwiler D, Bornand M. The Synthesis of a Large Stokes-Shift Dye and Intercalation into the Nanochannels of Zeolite L. Materials. 2024; 17(22):5669. https://doi.org/10.3390/ma17225669
Chicago/Turabian StyleWalther, Fabian, Achim Ecker, Dominik Brühwiler, and Marc Bornand. 2024. "The Synthesis of a Large Stokes-Shift Dye and Intercalation into the Nanochannels of Zeolite L" Materials 17, no. 22: 5669. https://doi.org/10.3390/ma17225669
APA StyleWalther, F., Ecker, A., Brühwiler, D., & Bornand, M. (2024). The Synthesis of a Large Stokes-Shift Dye and Intercalation into the Nanochannels of Zeolite L. Materials, 17(22), 5669. https://doi.org/10.3390/ma17225669

