1. Introduction
Spin waves (SWs) are collective excitations in magnetically ordered media, which are called magnon because of their particle-like nature. Since SW carries information similar to what the spin current does without a charge flow, it can be a good candidate for low-dissipation devices in magnon spintronics [
1,
2,
3].
SW has precessional polarizations, similar to electromagnetic waves. A ferromagnet (FM) has only a single circularly polarized mode due to broken time-reversal symmetry, while antiferromagnetic SWs have two circularly polarized modes due to the negative exchange interaction. Using these properties, the phases of antiferromagnetic SWs have been controlled [
4,
5,
6], including manipulating the polarization [
6,
7,
8] in the system with a lack of inversion symmetry. Such AFM SWs, depending on two different polarizations, are detectable via the inverse spin Hall effect [
9,
10] and can be utilized with magnon torques for magnetization switching [
11]. Thus, AFM-based magnonics are promising compared to their ferromagnetic counterparts.
Despite the advantages of AFM spin waves, a major challenge lies in extending their propagation length within a medium. A large amplitude for a given input power enables stable and robust wave propagation over a long distance. One approach to overcome this challenge is the use of low-damping materials, a strategy that has been extensively studied [
12,
13,
14,
15]; however, this method is fundamentally constrained by the intrinsic properties of the materials themselves. Another approach focuses on extrinsically modifying the propagation characteristics of SWs. It has been demonstrated in FMs and AFMs that a current-induced spin-transfer torque (STT) can amplify SWs, altering their attenuation length [
16] and damping constant [
17]. Through SW scattering [
18], the SW dispersion relations shift due to the Doppler effect [
19], which enables resonant amplification of emerging SWs. However, SW scattering has been primarily implemented in FMs and has not yet been established in AFMs. The realization of SW scattering by Doppler shift in AFMs seems to be difficult compared to that in FMs [
18]; the equations of motion of AFMs are the second order in frequency rather than the first order of FMs. This means that the negative frequencies that play a key role in resonant scattering in FMs [
18] are not manipulated to the positive ones by an SW Doppler shift in AFMs.
Recognizing that implementing a Doppler shift in AFMs is not feasible, we propose an alternative method to amplify antiferromagnetic SWs. This method leverages the Dzyaloshinskii-Moriya (DM) interaction and pseudo-dipole anisotropy induced by an electric field. Our target materials are Mott insulating AFMs, which are known to induce both the DM interaction and pseudo-dipole anisotropy by electric fields [
20,
21,
22,
23,
24]; the DM interaction, which is known to induce the Doppler effect [
18], similar to the STT [
18,
19], causes an asymmetric modification of the SW dispersion relation, where the SW frequencies are linearly shifted in the wavevector
k direction by adding or subtracting the SW frequency for favored or unfavored chirality, respectively [
25,
26].
The proposed device setup is shown in
Figure 1. Antiferromagnetic- and ferromagnetic-order parameters are defined as Néel order,
l = (
si −
sj)/2 and
m = (
si +
sj)/2, where each spin is normalized by its magnitude
si =
Si/|
Si|. We generate SWs from the fluctuation of
l at the left side, as indicated in the yellow box of
Figure 1. The wire length is set to be long enough so that the SW is not reflected from the end of the wire. The inset of
Figure 1 shows SW dispersion relations without and with DM interaction and pseudo-dipole anisotropy. The dispersion relations (or a graph of frequency
against wavevector
k) relying on different chiralities (+ and − are right- and left-handed circularly polarized SW modes, respectively) are separated into two frequencies
(solid blue line) and
(dotted blue line) when the DM interaction is turned on, but they degenerate without the DM interaction (black line). The SWs with the wavevector,
k, with the positive sign, propagate along the waveguide from region 1 to region 3. When the electric field is applied in region 2, four emerging SWs,
,
,
, and
for
, are partially reflected and transmitted at both boundaries, and they are amplified in the resonance condition when (
kI −
kII)
L/
π is an odd integer. Here, the role of the pseudo-dipole anisotropy is to secure the parabolic-like SW band by dragging SW bands upward in the presence of the DM interaction (see the inset of
Figure 1). For
, the phase difference between the SWs is proportional to
, leading to the generation of multiple resonant modes, but for
, the phase difference between two chiral SWs is almost linear to
, and a single resonant mode is possibly generated. Due to the pseudo-dipole anisotropy, the bound state is prevented throughout the wire; in the bound state, the propagating SWs are subject to decay or tunneling [
27,
28].
2. Results
The exchange energy
J has a negative sign for AFMs, and the magnetic crystalline anisotropy,
Ky, is positive along the
y axis. AFM texture is along the long
x axis of the wire and sandwiched by two electrodes with a length of
L, and the voltage is applied between two electrodes. The geometric inversion asymmetry may induce the DM interaction along the
y axis, according to
Dij ∝
z ×
eij, where the
z axis is normal to the interface, and
eij is the unit vector connecting neighbor spins
si and
sj [
20,
29]. We ignore the geometric DM interaction to describe our scenario explicitly. Instead, when the electric field along the
z axis breaks the inversion symmetry, the electric-field-induced DM vector,
DE, moves effectively toward the
y axis due to
Dij ∝
Ezz ×
eij [
20,
21,
22,
23,
24]. When |
DE| is strongly induced, the pseudo-dipolar anisotropy energy
KE in the easy plane should be taken into account, which is proportional to
Ez1/2 [
20,
21,
22,
23,
24]. Here, the
y component of
KE is considered, assuming that the AFM wire is a one-dimensional texture.
Under an exchange approximation where |
J|Dy,
Ky, and
KE, we can assume that the magnetic moments are linearly distributed in space,
and
, where
d is the interspacing of the nearest neighbor Néel spins. The total energy
E1D is set as
where
a,
A, and
B are the homogeneous, the inhomogeneous, and the parity-breaking exchange constant, respectively [
30]. These parameters are defined as
,
,
, and
, where
d is used as the unit length. The effective anisotropy,
Keff, is defined as the summation of the pseudo-dipole anisotropy,
KE, and crystalline anisotropy,
Ky. The Landau–Lifshitz–Gilbert (LLG) equations on
m and
l are derived from Equation (1):
where the effective magnetic fields
and
are defined as the functional derivative of energy density:
and
, respectively [
30]. Here, we ignore the phenomenological damping constant,
β, reflecting the property of an insulator.
By taking the cross product of
l in Equation (2a), we obtained the analytical relation between
m and
l:
. Setting the first order for small excitations on
in a spherical coordinate system and inserting
m into Equation (2b), the equation of motion for SW excitations on
and
are obtained:
where the ± sign indicates the SW chirality. Using a plane wave ansatz
, it results in the time-independent Schrödinger-type wave equations [
31] and the non-degenerate SW dispersion relations of AFM:
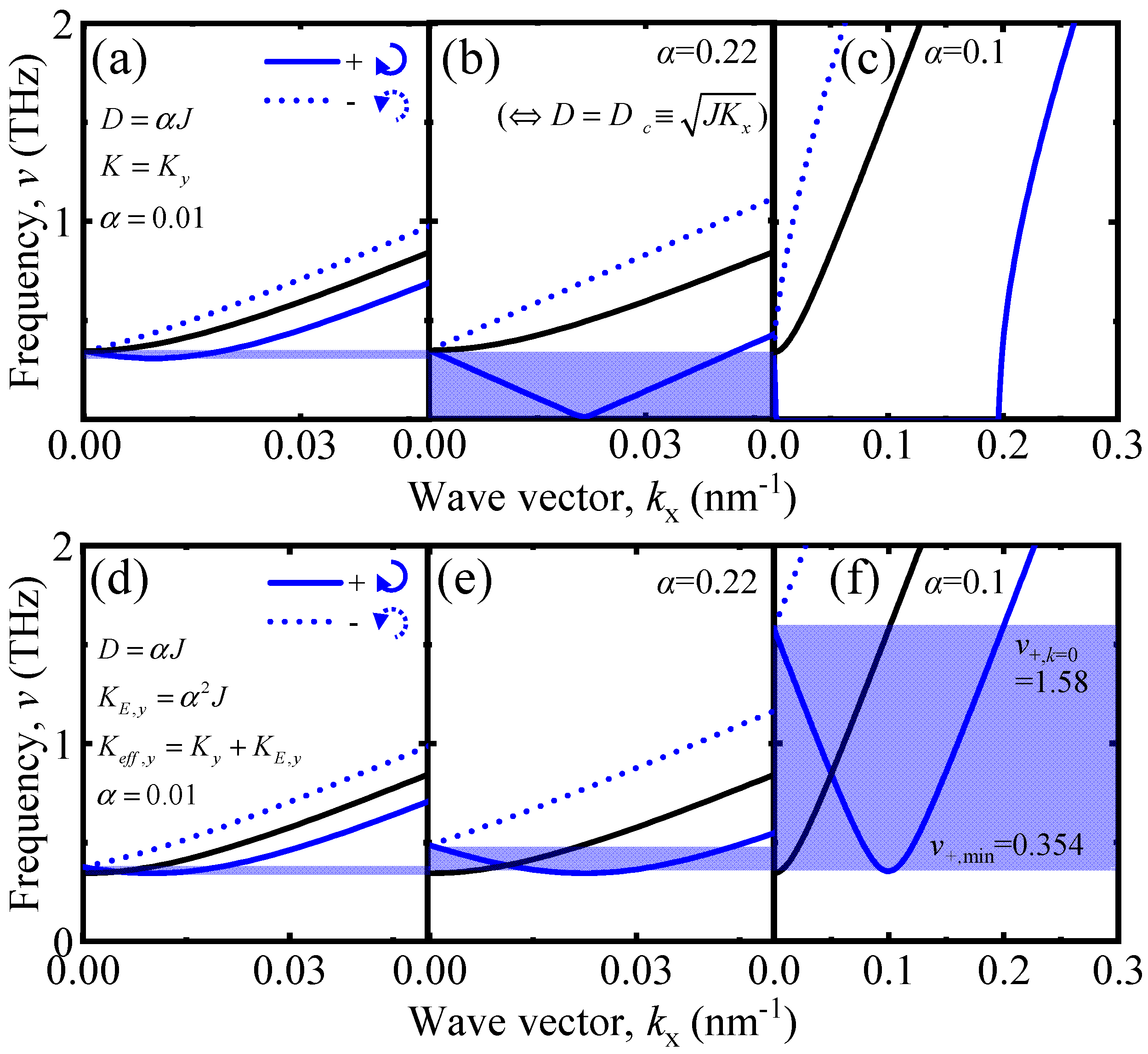
where the reduced gyromagnetic ratio
is used. The parameters suitable for antiferromagnetic insulators are set as
J = −31.9 meV and
Kz = 0.0005|
J|. With these parameters, the SW dispersion relations for AFM are plotted in
Figure 2a–c as a function of the DM interaction and
Figure 2d–f as functions of the DM interaction and pseudo-dipole anisotropy; since it shows a symmetric dispersion relation for
, as in Equation (3), we omitted
in
Figure 2.
When |
DE| and
KE are induced by the electric field [
20,
21,
22,
23,
24], they are simply formulated with respect to
J,
, and
, where
α is proportional to the electric field; even in a strong
DE, the chiral structure is suppressed by
KE because the instability condition is defined as
.
The effective SW band with + chirality for
k > 0 (with − chirality for
k < 0) is defined as the frequency range from
to
(from
to
in
Figure 1), as indicated by the blue box in
Figure 2, where
is the frequency at
k = 0, and
is the minimum frequency.
Consider the SW dispersion relation relying on DM interaction. In
Figure 2a,b, the effective SW band width is proportional to
D in a finite range:
or
and starts to decrease for
D ≥
Dc because
and
become partially imaginary. In the end, the effective SW band disappears as
or
α = 0.1, where the phase difference between two SWs is nearly constant (see
Figure 2c). In all cases above, SWs within the effective SW band could not transmit into region 2 because SWs in region 2 belong to the forbidden band of region 1 (see
Figure 2a,b), where the SW tunneling phenomenon is excluded [
25,
26].
However, as shown in
Figure 2d–f, when the pseudo-dipole anisotropy is included, the effective SW band in region 2 overlaps with the degenerate band of region 1 for all ranges of
α because the pseudo-dipole anisotropy energy adds frequencies of chiral SW modes. In the ferromagnetic system, the SW dispersion relation is obtained as
by replacing the sign of
J with a positive. Here, the spin wave frequency is not imaginary under the strong DM interaction. Instead, the negative spin wave band becomes partially positive, and corresponding SWs undergo scattering with each other [
18].
Now, we solve the SW scattering problem using the transfer matrix method (TMM) [
32]. The TMM is an excellent tool for solving the linearized wave equation; the SW dispersion relation without linear approximation is obtained as
, and it is almost identical to Equation (3) for
α = 0.1. For
α > 0.1, another approach to calculate the scattering problem is necessary for the non-linear Schrödinger equation.
At first, we consider wavefunctions
with a single wavevector
at two points,
xa and
xb:
for forward propagation and
for backward propagation (see the inset of
Figure 1). When the polarization of incident SWs is parallel to the
z axis (see
Figure 1), the phase differences between
and
with respect to
and
are 0 and
π, respectively. They are decomposed into two complex wave components,
and
. Since the two functions
are required to be continuous [
18,
32], they are connected by inner products with two matrix components; the one is related to the phase evolution across a constant potential,
, and the other is the transfer matrix on the potential step,
The upper (the lower) one of signs is attributed to the phase difference between and for lz (lx); for example, (). When the incident SWs are linearly polarized along the x axis, the upper and the lower signs should be reversed.
Overall transfer matrices from
x = 0 to
x =
x0 are expressed as
and
where
x0 is divided into
N segments with uniform spacing;
l and
i is the segment number. Therefore,
t(
x0) and
r(
x0) are defined as det(
M)/
M22 and
M21/
M22, respectively, where det is the determinant of the matrix, and
Mij is denoted by the element at row
i and column
j [
32].
Now, wavefunctions with two different
k are taken into account:
and
for forward propagation and
and
for backward propagation (see the inset of
Figure 1). Since
and
, two different wavevectors
and
are derived as an inverse function of
:
and
Therefore, wave components are divided by two folds as
and
. Thus, the total matrix is recast into
where
. Therefore,
tIII(
x0) and
rIII(
x0) are obtained from
MIII, respectively.
Figure 3 shows two types of electric field profiles and corresponding
tIII(
x0) and
rIII(
x0) calculated from
to
for
lz. First, consider
tIII(
x0 =
L) and
rIII(
x0 =
L) for the electric field applied uniformly throughout the wire in
Figure 3a,c. The electric field,
E1 induces the DM interaction and pseudo-dipole anisotropy that corresponds to
α = 0.1, as shown in
Figure 2f.
Ms is the identity matrix because the off-diagonal component of
Ms is zero, and the diagonal components of
M0 are not coupled with each other; for example,
, and thereby, the transfer matrix is summarized as
. As a result,
and
lead to oscillating patterns with the relative phase difference,
, as the constructive (destructive) interference occurs when
is an even (odd) integer, respectively. In addition, the oscillating period is not constant because of parabolic-like SW dispersion relation of AFM, as shown in
Figure 3c. The number of oscillations is proportional to
L because a number of SWs that take part in the interference is proportional to
L; in small
L, SWs with low
k could not achieve sufficient phase evolution for the interference.
Second, consider
tIII(
x0 >
L0) and
rIII(
x0 >
L0) when the electric field distribution is given as a barrier-like function in
Figure 3b.
Ms is not an identity matrix, and the reflection channels are activated at boundaries.
MIII is simplified as
, where
and
are the matrices at boundaries. It is confirmed that the numerical result is identical to the analytically simplified equation (see open circles and solid line in
Figure 3d). It suggests that incoming and outgoing SWs outside the cavity have a negligible contribution to amplification. As a result,
tIII(
x0 >
L0) and
rIII(
x0 >
L0) are calculated as
and
Here, |
tIII(
x0 >
L0) | and |
rIII(
x0 >
L0)| curves are characterized with oscillating patterns and resonant peaks (see
Figure 3d); the oscillating maxima occur when
is an even integer, which corresponds to the case in which two SWs have an in-phase condition. The resonant amplification takes place at the frequency where
is an odd integer or two SWs are of an out-of-phase condition (see
Figure 4b).
To understand SW spectroscopy explicitly, the spatially resolved SW propagation profiles are calculated using the propagating parameters,
ΦIII(
x0) = |
tIII(
x0)|exp(
iarg(
tIII(
x0))) for
v+ = 1.035 THz and 1.15 THz (see
Figure 4a,b), together with
ΦI(
x0) = |
tI(
x0)|exp(
iarg(
tI(
x0))) and
ΦII(
x0) = |
tII(
x0)|exp(
iarg(
tII(
x0))). Here, arg(
t(
x0)) indicates the transmission phase. In
v+ = 1.035 THz,
= 8 is an even number, indicating an in-phase condition between
ΦI(
x0) and
ΦII(
x0). However, both
ΦI(
x0) and
ΦII(
x0) have a non-resonant condition for the cavity,
kIL/
π = 10.34 and
kIIL/
π = 2.34. If they are resonant with the cavity where both
kIL/
π and
kIIL/
π are even integers, they propagate with |
t(
x0 > 150 nm)| = 1, |
r(
x0 > 150 nm)| = 0. Until
x0 = 50 nm, spin wave propagation is similar to the non-scattering case because
Ms is an identical matrix. Therefore,
ΦI(
x0) and
ΦII(
x0) are in-phase, and their summation is identical to
ΦIII(
x0), as shown in
Figure 4a. For 50 nm <
x0 < 150 nm, a single SW with
k0 is split into two SWs with
kI and
kII. They undergo the reflection and the transmission at
x = 50 nm. As a result, |
ΦI(
x0)| is larger because the wavevector
kI is lower than
k0; in general, the transmission coefficient propagating from medium 1 to medium 2 is defined as 2/(1 +
k2/
k1). This relation explains the reduced amplitude of
ΦII(
x0), where
kII is larger than
k0. Remarkably,
ΦIII(
x0) can be larger than the summation of
ΦI(
x0) and
ΦII(
x0) because of the existence of SW scattering
ΦIII(
x0) − (
ΦI(
x0) +
ΦII(
x0)). For
x0 > 150 nm, two SWs experience transmission and reflection both at
x = 50 nm and at
x = 150 nm, where SW scattering plays an additional role in |
tIII(
x0)|; |
tIII(
x0)| can be larger than 1 (see
Figure 3b). Even though two SWs are simultaneously resonant with the cavity, or |
tI(
x0)| = 0.5 and |
tII(
x0)| = 0.5, |
tI(
x0)| + |
tII(
x0)| cannot be larger than 1 without SW scattering.
Now, we discuss the out-of-phase condition of
v+ = 1.15 THz where
/
π = 9. At
x0 > 150 nm, |
ΦIII| increases dramatically because SWs are resonant with each other; abrupt changes in amplitude at
x0 = 50 nm and
x0 = 150 nm are shown in
Figure 4b. It proves again that
ΦIII includes SW scattering by showing that
ΦIII is identical to
ΦIII − (
ΦI +
ΦII) for
x0 > 150 nm. For example,
ΦI and
ΦII are canceled out, and the contribution to the amplification is solely ascribed to two-SW resonance. Compared to SW resonance with the cavity, resonance between SWs is characterized by a distinct phase evolution pattern. When SW is resonant with the cavity, the phase shift is simply estimated by
nπ, where
n is an integer. The phase shift at a SW-scattering resonant frequency that depends on
L is
kIL/π +
nπ or
kIIL/
π + (
n + 1)
π. Similar to the case of the uniform electric field, the number of amplified SWs depends on
L. The amplified SW frequency is tuned by the strength of the electric field because it modifies the SW band structure. It implies that the electric field plays the role of programmable SW modular for an incoming SW packet. Both in the uniform and non-uniform electric field,
and
on
lx and
lz are identical with each other, implying that when the SWs that polarized fully along the
x or
z axis are incident to region 2, the same resonant effect is expected to occur.
Finally, we attempt to estimate the strength of the electric field required for applications. Mott insulator AFM with transition metal compounds is known to have the characteristic spin-orbit coupling energy
ESO ~ 3 eV in Y
3Fe
5O
12 garnet [
21]. Therefore, the electric field required for
α = 0.1 is roughly obtained from the relation
~
, where
d is the distance between the nearest neighbor magnetic ions and is set as ~1 nm [
21]. In our research, we have primarily focused on the THz regime. However, our findings suggest that assuming the magnetic system is identical to the Mott insulating AFM, the amplification of spin waves is achievable even in the gigahertz frequency range (see
Table 1).
Recent research on the manipulation of the polarization has focused on the control of relative phase between SWs with different chirality using non-collinear spin structures [
6,
7] or inhomogeneous DM interaction steps [
33]. However, this work shows that the coherent scattering between two opposite chiral SWs triggers resonant amplification. Therefore, both the amplitude and polarization can be controlled by operating multiple gates in one medium if the electric field is properly controlled. As a result, the high-amplitude SW with controlled polarization would be realized for applications for various magnon devices.
Table 1.
The comparison of our work with existing AFM materials.
Table 1.
The comparison of our work with existing AFM materials.
| | Our Work | YFeO3 [34] | NiO [35] | α-Fe2O3 [36] |
|---|
| J | −31.9 meV | −2.48 meV | −112.6 meV | −107.6 meV |
| K | 0.15 meV (easy axis) | 0.0115 meV (easy axis) | −0.072 meV (hard axis) | −0.002 meV (hard axis) |
| Resonance frequency | 0.34 THz | 0.299 THz (low-frequency mode) 0.52 THz (high frequency mode) | 1 THz | 0.148 THz (low-temperature phase) |