Conversion of Lignin to Nitrogenous Chemicals and Functional Materials
Abstract
1. Introduction
2. Lignin
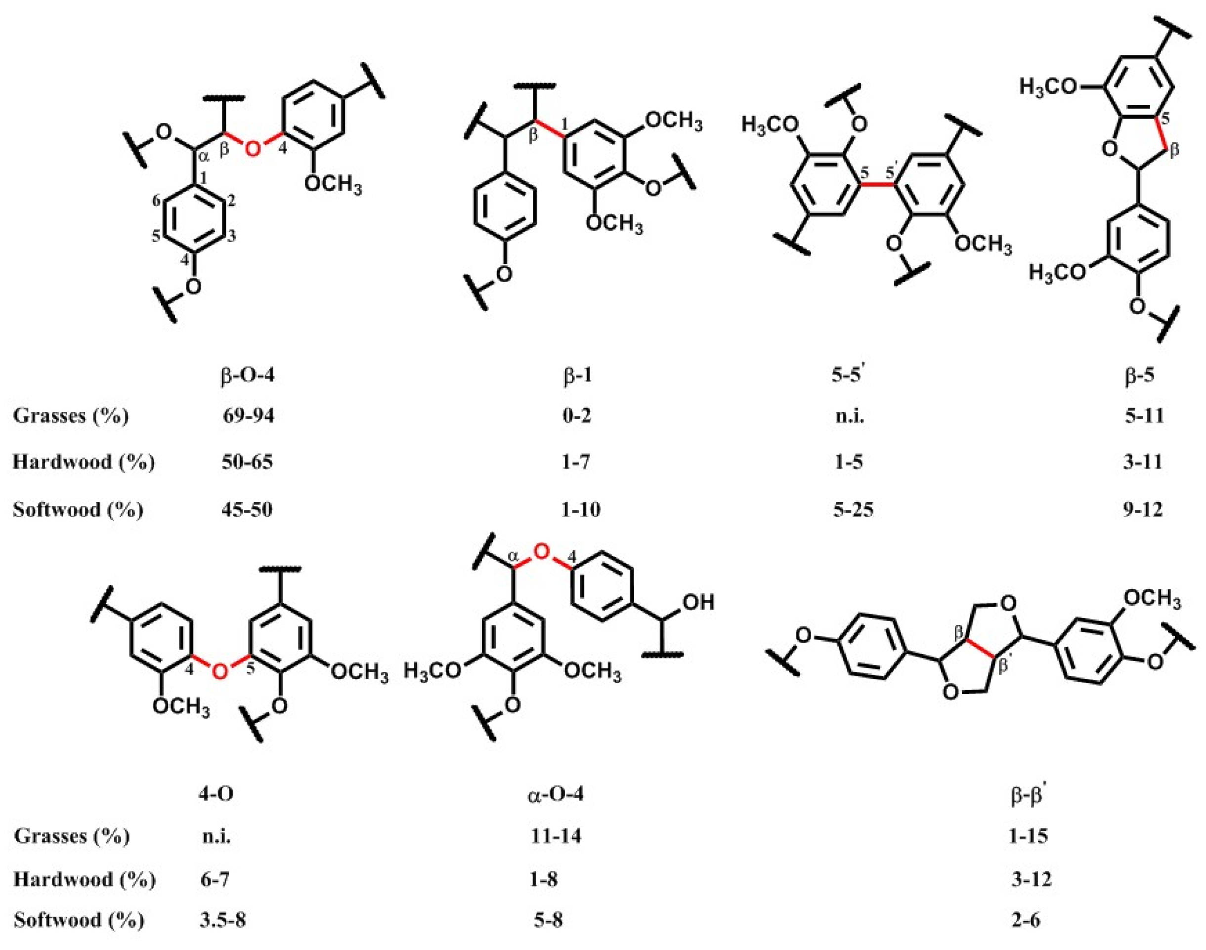
2.1. Structure and Properties of Lignin
2.2. Types of Technical Lignin
2.2.1. Alkali Lignin
2.2.2. Lignosulfonates
2.2.3. Organosolv Lignin
2.2.4. Enzymatic Lignin
3. Preparation of Nitrogenous Functionalized Lignin Materials
3.1. Modified Methods to Prepared Lignin with Nitrogen-Containing Functional Groups
3.1.1. Ammoxidation
3.1.2. Mannich Reaction
3.1.3. Nitration
3.1.4. Reductive Amination
3.1.5. Quaternary Amination
3.2. Lignin-Based Polyurethanes
3.2.1. Directly Using Lignin to Prepare Polyurethanes
3.2.2. Using Modified Lignin to Prepare Polyurethane
3.3. Nitrogenous Lignin-Based Carbon Materials
4. Applications of Nitrogenous Functionalized Lignin Materials
4.1. Application in Wastewater Treatment
4.2. Application in Slow-Release Fertilizer
4.3. Application in Bio-Based Adhesive
4.4. Applications in Coatings
4.5. Application in the Biomedical Field
5. Conclusions
Author Contributions
Funding
Institutional Review Board Statement
Informed Consent Statement
Data Availability Statement
Conflicts of Interest
References
- Riseh, R.S.; Vazvani, M.G.; Hassanisaadi, M.; Thakur, V.K. Agricultural wastes: A practical and potential source for the isolation and preparation of cellulose and application in agriculture and different industries. Ind. Crops Prod. 2024, 208, 117904. [Google Scholar] [CrossRef]
- Chen, J.; Fan, X.L.; Zhang, L.D.; Chen, X.J.; Sun, S.L.; Sun, R.C. Research Progress in Lignin-Based Slow/Controlled Release Fertilizer. ChemSusChem 2020, 13, 4356–4366. [Google Scholar] [CrossRef] [PubMed]
- Nadányi, R.; Ház, A.; Lisy, A.; Jablonsky, M.; Surina, I.; Majová, V.; Baco, A. Lignin Modifications, Applications, and Possible Market Prices. Energies 2022, 15, 6520. [Google Scholar] [CrossRef]
- Wang, T.Y.; Li, H.Y.; Diao, X.Y.; Lu, X.B.; Ma, D.G.; Ji, N. Lignin to dispersants, adsorbents, flocculants and adhesives: A critical review on industrial applications of lignin. Ind. Crops Prod. 2023, 199, 116715. [Google Scholar] [CrossRef]
- Chen, W.J.; Zhao, C.X.; Li, B.Q.; Yuan, T.Q.; Zhang, Q. Lignin-derived materials and their applications in rechargeable batteries. Green Chem. 2022, 24, 565–584. [Google Scholar] [CrossRef]
- Christina Pappa, E.F.; Karolien Vanbroekhoven Konstantinos, S. Triantafyllidis. Recent advances in epoxy resins and composites derived from lignin and related bio-oils. Curr. Opin. Green Sustain. Chem. 2022, 38, 100687. [Google Scholar] [CrossRef]
- Gan, M.J.; Niu, Y.Q.; Qu, X.J.; Zhou, C.H. Lignin to value-added chemicals and advanced materials: Extraction, degradation, and functionalization. Green Chem. 2022, 24, 7705–7750. [Google Scholar] [CrossRef]
- Li, X.; Xu, Y.; Alorku, K.; Wang, J.; Ma, L.L. A review of lignin-first reductive catalytic fractionation of lignocellulose. Mol. Catal. 2023, 550, 113551. [Google Scholar] [CrossRef]
- Rath, S.; Pradhan, D.; Du, H.S.; Mohapatra, S.; Thatoi, H. Transforming lignin into value-added products: Perspectives on lignin chemistry, lignin-based biocomposites, and pathways for augmenting ligninolytic enzyme production. Adv. Compos. Hybrid Mater. 2024, 7, 27. [Google Scholar] [CrossRef]
- Liu, Y.Q.; Wang, X.C.; Wu, Q.M.; Pei, W.H.; Teo, M.J.; Chen, Z.S.; Huang, C.X. Application of lignin and lignin-based composites in different tissue engineering fields. Int. J. Biol. Macromol. 2022, 222, 994–1006. [Google Scholar] [CrossRef]
- Karagoz, P.; Khiawjan, S.; Marques, M.P.C.; Santzouk, S.; Bugg, T.D.H.; Lye, G.J. Pharmaceutical applications of lignin-derived chemicals and lignin-based materials: Linking lignin source and processing with clinical indication. Biomass Convers. Biorefin. 2023, 208, 117904. [Google Scholar] [CrossRef]
- Hu, M.T.; Lv, X.X.; Wang, Y.X.; Ma, L.; Zhang, Y.H.; Dai, H.J. Recent advance on lignin-containing nanocelluloses: The key role of lignin. Carbohydr. Polym. 2024, 343, 122460. [Google Scholar] [CrossRef] [PubMed]
- Abu-Omar, M.M.; Barta, K.; Beckham, G.T.; Luterbacher, J.S.; Ralph, J.; Rinaldi, R.; Román-Leshkov, Y.; Samec, J.S.M.; Sels, B.F.; Wang, F. Guidelines for performing lignin-first biorefining. Energy Environ. Sci. 2021, 14, 262–292. [Google Scholar] [CrossRef]
- Bertella, S.; Luterbacher, J.S. Lignin Functionalization for the Production of Novel Materials. Trends Chem. 2020, 2, 440–453. [Google Scholar] [CrossRef]
- Dixon, R.A.; Puente-Urbina, A.; Beckham, G.T.; Romáan-Leshkov, Y. Enabling Lignin Valorization Through Integrated Advances in Plant Biology and Biorefining. Annu. Rev. Plant Biol. 2024, 75, 239–263. [Google Scholar] [CrossRef]
- Sun, Z.H.; Fridrich, B.; de Santi, A.; Elangovan, S.; Barta, K. Bright Side of Lignin Depolymerization: Toward New Platform Chemicals. Chem. Rev. 2018, 118, 614–678. [Google Scholar] [CrossRef]
- Wu, H.; Li, H.; Fang, Z. Hydrothermal amination of biomass to nitrogenous chemicals. Green Chem. 2021, 23, 6675–6697. [Google Scholar] [CrossRef]
- Rong, Y.; Ji, N.; Yu, Z.; Diao, X.; Li, H.; Lei, Y.; Lu, X.; Fukuoka, A. Lignin amination valorization: Heterogeneous catalytic synthesis of aniline and benzylamine from lignin-derived chemicals. Green Chem. 2021, 23, 6761–6788. [Google Scholar] [CrossRef]
- Jayaramudu, T.; Varaprasad, K.; Adamus, G.; Jennings, J.A.; Bumgardner, J.D. Mannich Reaction: Review of Amine-Functionalized Lignin Derivatives and Their Applications. Chemistryselect 2023, 8, e202204451. [Google Scholar] [CrossRef]
- Yang, Y.; Wang, Y.; Zhu, M.; Zhao, J.; Cai, D.; Cao, H. Valorization of lignin for renewable non-isocyanate polyurethanes: A state-of-the-art review. Mater. Today Sustain. 2023, 22, 100367. [Google Scholar] [CrossRef]
- Hassani Khorshidi, F.; Kazemi Najafi, S.; Najafi, F.; Pizzi, A.; Behrooz, R.; Sandberg, D. The extraction of polyol for the synthesis of lignin-based polyurethane coatings—A review. Wood Mater. Sci. Eng. 2024, 19, 794–802. [Google Scholar] [CrossRef]
- Shafiq, A.; Bhatti, I.A.; Amjed, N.; Zeshan, M.; Zaheer, A.; Kamal, A.; Naz, S.; Rasheed, T. Lignin derived polyurethanes: Current advances and future prospects in synthesis and applications. Eur. Polym. J. 2024, 209, 112899. [Google Scholar] [CrossRef]
- Santander, P.; Butter, B.; Oyarce, E.; Yáñez, M.; Xiao, L.-P.; Sánchez, J. Lignin-based adsorbent materials for metal ion removal from wastewater: A review. Ind. Crops Prod. 2021, 167, 113510. [Google Scholar] [CrossRef]
- Abbas, A.; Wang, Z.; Zhang, Y.; Peng, P.; She, D. Lignin-based controlled release fertilizers: A review. Int. J. Biol. Macromol. 2022, 222, 1801–1817. [Google Scholar] [CrossRef]
- Savy, D.; Cozzolino, V. Novel fertilising products from lignin and its derivatives to enhance plant development and increase the sustainability of crop production. J. Clean. Prod. 2022, 366, 132832. [Google Scholar] [CrossRef]
- Wang, T.; Jiang, M.W.; Yu, X.L.; Niu, N.; Chen, L.G. Application of lignin adsorbent in wastewater Treatment: A review. Sep. Purif. Technol. 2022, 302, 122116. [Google Scholar] [CrossRef]
- Elgarahy, A.M.; Eloffy, M.G.; Guibal, E.; Alghamdi, H.M.; Elwakeel, K.Z. Use of biopolymers in wastewater treatment: A brief review of current trends and prospects. Chin. J. Chem. Eng. 2023, 64, 292–320. [Google Scholar] [CrossRef]
- Chio, C.; Sain, M.; Qin, W. Lignin utilization: A review of lignin depolymerization from various aspects. Renew. Sustain. Energy Rev. 2019, 107, 232–249. [Google Scholar] [CrossRef]
- Feng, N.J.; Zhao, X.D.; Hu, J.X.; Tang, F.; Liang, S.; Wu, Q.; Zhang, C.Q. Recent advance in preparation of lignin nanoparticles and their medical applications: A review. Phytomedicine 2024, 130, 155711. [Google Scholar] [CrossRef]
- Patel, R.; Dhar, P.; Babaei-Ghazvini, A.; Dafchahi, M.N.; Acharya, B. Transforming lignin into renewable fuels, chemicals, and materials: A review. Bioresour. Technol. Rep. 2023, 22, 101463. [Google Scholar] [CrossRef]
- Ruthran, V.B.; Barman, P.; Kadam, R.; Kumar, A. Lignin-based adsorbent for effective removal of toxic heavy metals from wastewater. Emergent Mater. 2022, 5, 923–943. [Google Scholar] [CrossRef]
- Argyropoulos, D.D.S.; Crestini, C.; Dahlstrand, C.; Furusjö, E.; Gioia, C.; Jedvert, K.; Henriksson, G.; Hulteberg, C.; Lawoko, M.; Pierrou, C.; et al. Kraft Lignin: A Valuable, Sustainable Resource, Opportunities and Challenges. ChemSusChem 2023, 16, e202300492. [Google Scholar] [CrossRef] [PubMed]
- Meier, D.; Zunigapartida, V.; Ramirezcano, F.; Hahn, N.C.; Faix, O. Conversion of technical lignins into slow-release nitrogenous fertilizers by ammoxidation in liquid-phase. Bioresour. Technol. 1994, 49, 121–128. [Google Scholar] [CrossRef]
- Qi-Pei, J.; Xiao-Yong, Z.; Hai-Tao, M.; Zuo-Hu, L. Ammoxidation of straw-pulp alkaline lignin by hydrogen peroxide. Environ. Prog. 2006, 25, 251–256. [Google Scholar] [CrossRef]
- Ling, C.; Quan, J.Y.; Li, Z.Z. A study on the structure of ammoxidative lignin. J. Nanjing For. Univ. 1998, 22, 68–72. [Google Scholar] [CrossRef]
- Suman, B.; Neha, S.; Anu, K.; Sunil, K.; Vipin, S. Mannich Bases: An Important Pharmacophore in Present Scenario. Int. J. Med. Chem. 2014, 2014, 191072. [Google Scholar] [CrossRef]
- Jiao, G.-J.; Peng, P.; Sun, S.-L.; Geng, Z.-C.; She, D. Amination of biorefinery technical lignin by Mannich reaction for preparing highly efficient nitrogen fertilizer. Int. J. Biol. Macromol. 2019, 127, 544–554. [Google Scholar] [CrossRef]
- Pan, H.; Sun, G.; Zhao, T. Synthesis and characterization of aminated lignin. Int. J. Biol. Macromol. 2013, 59, 221–226. [Google Scholar] [CrossRef]
- Du, X.; Li, J.; Lindstr?M, M.E. Modification of industrial softwood kraft lignin using Mannich reaction with and without phenolation pretreatment. Ind. Crops Prod. 2014, 52, 729–735. [Google Scholar] [CrossRef]
- Suota, M.J.; Kochepka, D.M.; Moura, M.G.G.; Pirich, C.L.; Matos, M.; Magalhaes, W.L.E.; Ramos, L.P. Lignin Functionalization Strategies and the Potential Applications of Its Derivatives-A Review. Bioresources 2021, 16, 6471–6511. [Google Scholar] [CrossRef]
- Meister, J.J. Modification of lignin. J. Macromol. Sci. Polym. Rev. 2002, C42, 235–289. [Google Scholar] [CrossRef]
- Bunton, C.A.; Hughes, E.D.; Ingold, C.K.; Jacobs, D.I.H.; Reed, R.I. Kinetics and mechanism of aromatic nitration. Part VI. The nitration of phenols and phenolic ethers: The concomitant dealkylation of phenolic ethers. The role of nitrous acid. J. Chem. Soc. 1950, 2628–2656. [Google Scholar] [CrossRef]
- Khvan, A.M.; Abduazimov, B.B.; Abduazimov, K.A. Nitration of lignin and sorptive properties of the resulting products. Chem. Nat. Compd. 2002, 38, 471–472. [Google Scholar] [CrossRef]
- Ahmad, Z.; Paleologou, M.; Xu, C.B.C. Oxidative depolymerization of lignin using nitric acid under ambient conditions. Ind. Crops Prod. 2021, 170, 113757. [Google Scholar] [CrossRef]
- Khabarov, Y.G.; Kuzyakov, N.Y.; Veshnyakov, V.A.; Komarova, G.V.; Garkotin, A.Y. Nitration of sulfate lignin under homogeneous conditions studied by electron spectroscopy. Russ. Chem. Bull. 2016, 65, 2925–2931. [Google Scholar] [CrossRef]
- Zhang, B.; Guo, T.; Liu, Y.; Kühn, F.E.; Wang, C.; Zhao, Z.K.; Xiao, J.; Li, C.; Zhang, T. Sustainable Production of Benzylamines from Lignin. Angew. Chem. Int. Ed. 2021, 60, 20666–20671. [Google Scholar] [CrossRef]
- Ma, J.; Le, D.; Yan, N. Single-step conversion of wood lignin into amines. Chem 2023, 9, 2869–2880. [Google Scholar] [CrossRef]
- Zhang, P.; Dai, S.Y.; Yuan, J.S. Improve value for lignin-first strategy: Producing functional molecules from wood biomass. Chem Catal. 2023, 3, 100781. [Google Scholar] [CrossRef]
- Yang, A.L.; Jiang, W.J. Studies on a cationically modified quaternary ammonium salt of lignin. Chem. Res. Chin. Univ. 2007, 23, 479–482. [Google Scholar] [CrossRef]
- Zheng, T.; Zheng, D.F.; Li, X.K.; Cai, C.; Lou, H.M.; Liu, W.F.; Qiu, X.Q. Synthesis of Quaternized Lignin and Its Clay-Tolerance Properties in Montmorillonite-Containing Cement Paste. ACS Sustain. Chem. Eng. 2017, 5, 7743–7750. [Google Scholar] [CrossRef]
- Saini, P.; Gao, W.; Soliman, A.; Fatehi, P. A new solvent-free pathway for inducing quaternized lignin-derived high molecular weight polymer. Int. J. Biol. Macromol. 2023, 252, 126382. [Google Scholar] [CrossRef] [PubMed]
- Quinsaat, J.E.Q.; Feghali, E.; van de Pas, D.J.; Vendamme, R.; Torr, K.M. Preparation of Biobased Nonisocyanate Polyurethane/Epoxy Thermoset Materials Native. Biomacromolecules 2022, 23, 4562–4573. [Google Scholar] [CrossRef] [PubMed]
- Terreni, E.; Caserio, L.; Mauri, E.; Storti, G.; Moscatelli, D. Synthesis of novel bio-based and degradable polyurethanes using lignin oligomers. Chem. Eng. Sci. 2024, 298, 120325. [Google Scholar] [CrossRef]
- Wang, X.H.; Jang, J.; Su, Y.Q.; Liu, J.A.; Zhang, H.J.; He, Z.B.; Ni, Y.H. Starting materials, processes and characteristics of bio-based foams: A review. J. Bioresour. Bioprod. 2024, 9, 160–173. [Google Scholar] [CrossRef]
- Li, H.; Liang, Y.; Li, P.; He, C. Conversion of biomass lignin to high-value polyurethane: A review. J. Bioresour. Bioprod. 2020, 5, 163–179. [Google Scholar] [CrossRef]
- Shao, L.S.; Liu, N.; Wang, Z.J.; Zhan, P.; Zhang, L.; Wu, Z.P. Functional Lignin-based Polymers: Isolation, Synthetic Methods and High-valued Applications. ChemistrySelect 2023, 8, e202301633. [Google Scholar] [CrossRef]
- Fernanda Rosa Vieira, S.M.; Dmitry, V. Evtuguin and Ana Barros-Timmons. Lignin as a Renewable Building Block for Sustainable Polyurethanes. Materials 2022, 15, 6182. [Google Scholar] [CrossRef]
- Khorshidi, F.H.; Najafi, S.K.; Najafi, F.; Pizzi, A.; Sandberg, D.; Behrooz, R. The effect of lignin-based polyols on the properties of polyurethane coatings. Green Mater. 2024, 12, 29–40. [Google Scholar] [CrossRef]
- Ma, X.Z.; Chen, J.; Zhu, J.; Yan, N. Lignin-Based Polyurethane: Recent Advances and Future Perspectives. Macromol. Rapid Commun. 2021, 42, 2000492. [Google Scholar] [CrossRef]
- Bello, K.O.; Yan, N. Mechanical and Insulation Performance of Rigid Polyurethane Foam Reinforced with Lignin-Containing Nanocellulose Fibrils. Polymers 2024, 16, 2119. [Google Scholar] [CrossRef]
- Haridevan, H.; Evans, D.A.C.; Martin, D.J.; Annamalai, P.K. Rational analysis of dispersion and solubility of Kraft lignin in polyols for polyurethanes. Ind. Crops Prod 2022, 185, 115129. [Google Scholar] [CrossRef]
- Luo, S.; Gao, L.; Guo, W. Effect of incorporation of lignin as bio-polyol on the performance of rigid lightweight wood–polyurethane composite foams. J. Wood Sci. 2020, 66, 23. [Google Scholar] [CrossRef]
- Wang, Y.Y.; Li, M.; Wyman, C.E.; Cai, C.M.; Ragauskas, A.J. Fast Fractionation of Technical Lignins by Organic Cosolvents. ACS Sustain. Chem. Eng. 2018, 6, 6064–6072. [Google Scholar] [CrossRef]
- Dias, R.M.; Petrin, L.C.G.; Da, A.; Lopes, C.; Sosa, F.H.B. Investigation of Kraft Lignin Solubility in Protic Ionic Liquids and Their Aqueous Solutions. Ind. Eng. Chem. Res. 2020, 59, 18193–18202. [Google Scholar] [CrossRef]
- Jiang, X.; Abbati de Assis, C.; Kollman, M.; Sun, R.; Jameel, H.; Chang, H.-m.; Gonzalez, R. Lignin fractionation from laboratory to commercialization: Chemistry, scalability and techno-economic analysis. Green Chem. 2020, 22, 7448–7459. [Google Scholar] [CrossRef]
- Liu, P.; Zhang, N.; Yi, Y.; Gibril, M.E.; Wang, S.; Kong, F. Effect of lignin-based monomer on controlling the molecular weight and physical properties of the polyacrylonitrile/lignin copolymer. Int. J. Biol. Macromol. 2020, 164, 2312–2322. [Google Scholar] [CrossRef]
- Smit, A.T.; Bellinetto, E.; Dezaire, T.; Boumezgane, O.; Riddell, L.A.; Turri, S.; Hoek, M.; Bruijnincx, P.C.A.; Griffini, G. Tuning the Properties of Biobased PU Coatings via Selective Lignin Fractionation and Partial Depolymerization. ACS Sustain. Chem. Eng. 2023, 11, 7193–7202. [Google Scholar] [CrossRef]
- Wang, S.Y.; Liu, W.F.; Yang, D.J.; Qiu, X.Q. Highly Resilient Lignin-Containing Polyurethane Foam. Ind. Eng. Chem. Res. 2019, 58, 496–504. [Google Scholar] [CrossRef]
- Chen, Y.C.; Fu, S.Y.; Zhang, H. Signally improvement of polyurethane adhesive with hydroxy-enriched lignin from bagasse. Colloids Surf. A 2020, 585, 124164. [Google Scholar] [CrossRef]
- Vieira, F.R.; Barros-Timmons, A.; Evtuguin, D.V.; Pinto, P. Oxyalkylation of Lignoboost™ Kraft Lignin with Propylene Carbonate: Design of Experiments towards Synthesis Optimization. Materials 2022, 15, 1925. [Google Scholar] [CrossRef]
- Bizet, B.; Grau, E.; Asua, J.M.; Cramail, H. Hybrid Nonisocyanate Polyurethanes (H-NIPUs): A Pathway towards a Broad Range of Novel Materials. Macromol. Chem. Phys. 2022, 223, 2100437. [Google Scholar] [CrossRef]
- Chelike, D.K.; Thangavelu, S.G. Catalyzed and Non-catalyzed Synthetic Approaches to Obtain Isocyanate-free Polyurethanes. ChemistrySelect 2023, 8, e202300921. [Google Scholar] [CrossRef]
- Iswanto, A.H.; Lubis, M.A.R.; Sutiawan, J.; Al-Edrus, S.S.O.; Lee, S.H.; Antov, P.; Kristak, L.; Reh, R.; Mardawati, E.; Santoso, A.; et al. Latest Advancements in the Development of High-Performance Lignin- and Tannin-Based Non-Isocyanate Polyurethane Adhesive for Wood Composites. Polymers 2023, 15, 3864. [Google Scholar] [CrossRef] [PubMed]
- Khatoon, H.; Iqbal, S.; Irfan, M.; Darda, A.; Rawat, N.K. A review on the production, properties and applications of non-isocyanate polyurethane: A greener perspective. Prog. Org. Coat. 2021, 154, 106124. [Google Scholar] [CrossRef]
- Rayung, M.; Ghani, N.A.; Hasanudin, N. A review on vegetable oil-based non isocyanate polyurethane: Towards a greener and sustainable production route. RSC Adv. 2024, 14, 9273–9299. [Google Scholar] [CrossRef]
- Stachak, P.; Lukaszewska, I.; Hebda, E.; Pielichowski, K. Recent Advances in Fabrication of Non-Isocyanate Polyurethane-Based Composite Materials. Materials 2021, 14, 3497. [Google Scholar] [CrossRef]
- Sternberg, J.; Pilla, S. Materials for the biorefinery: High bio-content, shape memory Kraft lignin-derived non-isocyanate polyurethane foams using a non-toxic protocol. Green Chem. 2020, 22, 6922–6935. [Google Scholar] [CrossRef]
- Arias, A.; Entrena-Barbero, E.; Feijoo, G.; Moreira, M.T. Sustainable non-isocyanate polyurethanes bio-adhesives for engineered wood panels are revealed as promising candidates to move from formaldehyde-based alternatives. J. Environ. Chem. Eng. 2022, 10, 107053. [Google Scholar] [CrossRef]
- Meng, X.; Zhang, S.; Scheidemantle, B.; Wang, Y.-y.; Pu, Y.; Wyman, C.E.; Cai, C.M.; Ragauskas, A.J. Preparation and characterization of aminated co-solvent enhanced lignocellulosic fractionation lignin as a renewable building block for the synthesis of non-isocyanate polyurethanes. Ind. Crops Prod. 2022, 178, 114579. [Google Scholar] [CrossRef]
- Al-Hajri, W.; De Luna, Y.; Bensalah, N. Review on Recent Applications of Nitrogen-Doped Carbon Materials in CO2 Capture and Energy Conversion and Storage. Energy Technol. 2022, 10, 2200498. [Google Scholar] [CrossRef]
- Deng, C.; Xu, L.J.; Hu, K.H.; Chen, X.X.; Gao, R.X.; Zhang, L.Y.; Wang, L.; Zhang, C.D. Research Advances on Nitrogen-Doped Carbon Materials in COx Hydrogenation. Atmosphere 2023, 14, 1510. [Google Scholar] [CrossRef]
- Li, J.; Liu, T.Y.; Singh, N.; Huang, Z.C.; Ding, Y.; Huang, J.S.; Sudarsanam, P.; Li, H. Photocatalytic C-N bond construction toward high-value nitrogenous chemicals. Chem. Commun. 2023, 59, 14341–14352. [Google Scholar] [CrossRef] [PubMed]
- Li, Y.; Verma, V.; Su, H.L.; Zhang, X.R.; Zhou, S.J.; Lawson, T.; Li, J.L.; Amal, R.; Hou, Y.; Dai, L.M. Rationally Designed Carbon-Based Catalysts for Electrochemical C-N Coupling. Adv. Energy Mater. 2024, 14, 2401341. [Google Scholar] [CrossRef]
- Liu, Y.T.; Liu, K.; Wang, P.F.; Jin, Z.Y.; Li, P.P. Electrocatalytic upcycling of nitrogenous wastes into green ammonia: Advances and perspectives on materials innovation. Carbon Neutrality 2023, 2, 14. [Google Scholar] [CrossRef]
- Mainali, K.; Mood, S.H.; Pelaez-Samaniego, M.R.; Sierra-Jimenez, V.; Garcia-Perez, M. Production and applications of N-doped carbons from bioresources: A review. Catal. Today 2023, 423, 114248. [Google Scholar] [CrossRef]
- Park, S.; Kim, J.; Kwon, K. A review on biomass-derived N-doped carbons as electrocatalysts in electrochemical energy applications. Chem. Eng. J. 2022, 446, 137116. [Google Scholar] [CrossRef]
- Shaker, M.; Ghazvini, A.A.S.; Shahalizade, T.; Gaho, M.A.; Mumtaz, A.; Javanmardi, S.; Riahifar, R.; Meng, X.M.; Jin, Z.; Ge, Q. A review of nitrogen-doped carbon materials for lithium-ion battery anodes. New Carbon Mater. 2023, 38, 247–278. [Google Scholar] [CrossRef]
- Thakur, A.K.; Kurtyka, K.; Majumder, M.; Yang, X.Q.; Ta, H.Q.; Bachmatiuk, A.; Liu, L.J.; Trzebicka, B.; Rummeli, M.H. Recent Advances in Boron- and Nitrogen-Doped Carbon-Based Materials and Their Various Applications. Adv. Mater. Interfaces 2022, 9, 2101964. [Google Scholar] [CrossRef]
- Zafar, H.K.; Zainab, S.; Masood, M.; Sohail, M.; Shah, S.S.A.; Karim, M.R.; O’Mullane, A.; Ostrikov, K.; Will, G.; Wahab, M.A. Recent Advances on Nitrogen-doped Porous Carbons Towards Electrochemical Supercapacitor Applications. Chem. Rec. 2024, 24, e202300161. [Google Scholar] [CrossRef]
- Dong, R.; Yang, Z.; Fu, Y.; Chen, Z.; Hu, Y.; Zhou, Y.; Qin, H. Aminated lignin chelated metal derived bifunctional electrocatalyst with high catalytic performance. Appl. Surf. Sci. 2022, 580, 152205. [Google Scholar] [CrossRef]
- An, J.; Li, C.; Wang, Q.; Zhang, X.; Zhang, D.; Xu, X.; Feng, L.; Cheng, Y. Aminated lignin-derived sponge carbon for the capacitive deionization of copper ions. Desalination 2024, 575, 117322. [Google Scholar] [CrossRef]
- Guo, J.; Abbas, S.C.; Huang, H.; Hua, Z.; Manik Mian, M.; Cao, S.; Ma, X.; Ni, Y. Rational design of pyrrolic-N dominated carbon material derived from aminated lignin for Zn-ion supercapacitors. J. Colloid Interface Sci. 2023, 641, 155–165. [Google Scholar] [CrossRef] [PubMed]
- Roa, K.; Oyarce, E.; Boulett, A.; Alsamman, M.; Oyarzun, D.; Pizarro, G.D.C.; Sanchez, J. Lignocellulose-based materials and their application in the removal of dyes from water: A review. Sustain. Mater. Technol. 2021, 29, e00320. [Google Scholar] [CrossRef]
- Al-Gethami, W.; Qamar, M.A.; Shariq, M.; Alaghaz, A.M.A.; Farhan, A.; Areshi, A.A.; Alnasir, M.H. Emerging environmentally friendly bio-based nanocomposites for the efficient removal of dyes and micropollutants from wastewater by adsorption: A comprehensive review. RSC Adv. 2024, 14, 2804–2834. [Google Scholar] [CrossRef] [PubMed]
- Qamar, M.A.; Al-Gethami, W.; Alaghaz, A.-N.M.A.; Shariq, M.; Mohammed, A.; Areshi, A.A.; Khan, Z.; Qayyum, W. Progress in the development of phyto-based materials for adsorption of dyes from wastewater: A review. Mater. Today Commun. 2024, 38, 108385. [Google Scholar] [CrossRef]
- Xiao, W.; Sun, R.; Hu, S.; Meng, C.; Xie, B.; Yi, M.; Wu, Y. Recent advances and future perspective on lignocellulose-based materials as adsorbents in diverse water treatment applications. Int. J. Biol. Macromol. 2023, 253, 126984. [Google Scholar] [CrossRef]
- Sajjadi, M.; Ahmadpoor, F.; Nasrollahzadeh, M.; Ghafuri, H. Lignin-derived (nano)materials for environmental pollution remediation: Current challenges and future perspectives. Int. J. Biol. Macromol. 2021, 178, 394–423. [Google Scholar] [CrossRef]
- Ge, Y.; Li, Z. Application of Lignin and Its Derivatives in Adsorption of Heavy Metal Ions in Water: A Review. ACS Sustain. Chem. Eng. 2018, 6, 7181–7192. [Google Scholar] [CrossRef]
- Wang, B.; Wang, S.-F.; Lam, S.S.; Sonne, C.; Yuan, T.-Q.; Song, G.-Y.; Sun, R.-C. A review on production of lignin-based flocculants: Sustainable feedstock and low carbon footprint applications. Renew. Sustain. Energy Rev. 2020, 134, 110384. [Google Scholar] [CrossRef]
- Wang, B.; Cao, X.-F.; Yu, S.-X.; Sun, Z.-H.; Shen, X.-J.; Wen, J.-L.; Yuan, T.-Q. New sustainable Mannich-functionalized lignin flocculants for ultra-efficiently tailoring wastewater purification. J. Clean. Prod. 2023, 387, 135801. [Google Scholar] [CrossRef]
- Wang, B.; Sun, Z.; Lam, S.S.; Sonne, C.; Yuan, T.-Q.; Sun, R.-C. A scalable and simple lignin-based polymer for ultra-efficient flocculation and sterilization. Sep. Purif. Technol. 2022, 292, 120960. [Google Scholar] [CrossRef]
- Wang, B.; Wang, H.-M.; Sun, D.; Yuan, T.-Q.; Song, G.-Y.; Shi, Q.; Zheng, L.; Wang, S.-F.; Sun, R.-C. Chemosynthesis, characterization and application of lignin-based flocculants with tunable performance prepared by short-wavelength ultraviolet initiation. Ind. Crops Prod. 2020, 157, 112897. [Google Scholar] [CrossRef]
- Meng, X.; Scheidemantle, B.; Li, M.; Wang, Y.Y.; Zhao, X.; Toro-Gonzalez, M.; Singh, P.; Pu, Y.; Wyman, C.E.; Ozcan, S.; et al. Synthesis, Characterization, and Utilization of a Lignin-Based Adsorbent for Effective Removal of Azo Dye from Aqueous Solution. ACS Omega 2020, 5, 2865–2877. [Google Scholar] [CrossRef] [PubMed]
- Song, C.; Gao, C.; Fatehi, P.; Wang, S.; Jiang, C.; Kong, F. Influence of structure and functional group of modified kraft lignin on adsorption behavior of dye. Int. J. Biol. Macromol. 2023, 240, 124368. [Google Scholar] [CrossRef]
- Du, B.; Bai, Y.; Pan, Z.; Xu, J.; Wang, Q.; Wang, X.; Lv, G.; Zhou, J. pH fractionated lignin for the preparation of lignin-based magnetic nanoparticles for the removal of methylene blue dye. Sep. Purif. Technol. 2022, 295, 121302. [Google Scholar] [CrossRef]
- Zong, E.; Fan, R.; Hua, H.; Yang, J.; Jiang, S.; Dai, J.; Liu, X.; Song, P. A magnetically recyclable lignin-based bio-adsorbent for efficient removal of Congo red from aqueous solution. Int. J. Biol. Macromol. 2023, 226, 443–453. [Google Scholar] [CrossRef]
- Guo, L.; Peng, L.; Li, J.; Zhang, W.; Shi, B. Ultrafast uranium recovery from high-salinity nuclear wastewater using amine-functionalized lignin microspheres. J. Clean. Prod. 2023, 388, 136006. [Google Scholar] [CrossRef]
- Xiao, D.; Ding, W.; Zhang, J.; Ge, Y.; Wu, Z.; Li, Z. Fabrication of a versatile lignin-based nano-trap for heavy metal ion capture and bacterial inhibition. Chem. Eng. J. 2019, 358, 310–320. [Google Scholar] [CrossRef]
- Zhou, X.; Jin, C.; Liu, G.; Wu, G.; Huo, S.; Kong, Z. Functionalized lignin-based magnetic adsorbents with tunable structure for the efficient and selective removal of Pb(II) from aqueous solution. Chem. Eng. J. 2021, 420, 130409. [Google Scholar] [CrossRef]
- Zhang, Y.; Ni, S.; Wang, X.; Zhang, W.; Lagerquist, L.; Qin, M.; Willför, S.; Xu, C.; Fatehi, P. Ultrafast adsorption of heavy metal ions onto functionalized lignin-based hybrid magnetic nanoparticles. Chem. Eng. J. 2019, 372, 82–91. [Google Scholar] [CrossRef]
- Zhang, D.; Wang, L.; Zeng, H.; Rhimi, B.; Wang, C. Novel polyethyleneimine functionalized chitosan–lignin composite sponge with nanowall-network structures for fast and efficient removal of Hg(ii) ions from aqueous solution. Environ. Sci. Nano 2020, 7, 793–802. [Google Scholar] [CrossRef]
- Popovic, A.L.; Rusmirovic, J.D.; Velickovic, Z.; Radovanovic, Z.; Ristic, M.; Pavlovic, V.P.; Marinkovic, A.D. Novel amino-functionalized lignin microspheres: High performance biosorbent with enhanced capacity for heavy metal ion removal. Int. J. Biol. Macromol. 2020, 156, 1160–1173. [Google Scholar] [CrossRef] [PubMed]
- Luo, X.; Liu, C.; Yuan, J.; Zhu, X.; Liu, S. Interfacial Solid-Phase Chemical Modification with Mannich Reaction and Fe(III) Chelation for Designing Lignin-Based Spherical Nanoparticle Adsorbents for Highly Efficient Removal of Low Concentration Phosphate from Water. ACS Sustain. Chem. Eng. 2017, 5, 6539–6547. [Google Scholar] [CrossRef]
- Meng, F.H.; Zhang, R.F.; Zhang, Y.Q.; Li, W.M.; Zhang, Y.S.; Zhang, M.W.; Yang, X.Z.; Yang, H.S. Improving maize carbon and nitrogen metabolic pathways and yield with nitrogen application rate and nitrogen forms. PeerJ 2024, 12, 16548. [Google Scholar] [CrossRef]
- Salata, A.; Nurzynska-Wierdak, R.; Lombardo, S.; Pandino, G.; Mauromicale, G.; Ibáñez-Asensio, S.; Moreno-Ramón, H.; Kalisz, A. Polyphenol Profile, Antioxidant Activity and Yield of Cynara cardunculus altilis in Response to Nitrogen Fertilisation. Agronomy 2024, 14, 739. [Google Scholar] [CrossRef]
- Zhang, J.J.; He, P.; Ding, W.C.; Ullah, S.; Abbas, T.; Li, M.Y.; Ai, C.; Zhou, W. Identifying the critical nitrogen fertilizer rate for optimum yield and minimum nitrate leaching in a typical field radish cropping system in China. Environ. Pollut. 2021, 268, 115004. [Google Scholar] [CrossRef]
- Duan, Q.F.; Jiang, S.; Chen, F.Y.; Li, Z.X.; Ma, L.T.; Song, Y.; Yu, X.J.; Chen, Y.X.; Liu, H.S.; Yu, L. Fabrication, evaluation methodologies and models of slow-release fertilizers: A review. Ind. Crops Prod. 2023, 192, 116075. [Google Scholar] [CrossRef]
- Priya, E.; Sarkar, S.; Maji, P.K. A review on slow-release fertilizer: Nutrient release mechanism and agricultural sustainability. J. Environ. Chem. Eng. 2024, 12, 113211. [Google Scholar] [CrossRef]
- Ramírez-Cano, F.; Ramos-Quirarte, A.; Faix, O.; Meier, D.; González-Alvarez, V.; Zúñiga-Partida, V. Slow-release effect of N-functionalized kraft lignin tested with Sorghum over two growth periods. Bioresour. Technol. 2001, 76, 71–73. [Google Scholar] [CrossRef]
- De la Rosa, J.M.; Liebner, F.; Pour, G.; Knicker, H. Partitioning of N in growing plants, microbial biomass and soil organic matter after amendment of N-ammonoxidized lignins. Soil Biol. Biochem. 2013, 60, 125–133. [Google Scholar] [CrossRef]
- Ramirez, F.; Gonzalez, V.; Crespo, M.; Meier, D.; Faix, O.; Zuniga, V. Ammoxidized kraft lignin as a slow-release fertilizer tested on Sorghum vulgare. Bioresour. Technol. 1997, 61, 43–46. [Google Scholar] [CrossRef]
- Wang, H.; Chen, X.; Zhang, L.; Li, Z.; Fan, X.; Sun, S. Efficient production of lignin-based slow-release nitrogen fertilizer via microwave heating. Ind. Crops Prod. 2021, 166, 113481. [Google Scholar] [CrossRef]
- Wang, H.; Liang, J.; Huo, P.; Zhang, L.; Fan, X.; Sun, S. Understanding the cadmium passivation and nitrogen mineralization of aminated lignin in soil. Sci. Total Environ. 2023, 873, 162334. [Google Scholar] [CrossRef] [PubMed]
- Li, T.; Lü, S.Y.; Ji, Y.Z.; Qi, T.M.; Liu, M.Z. A biodegradable Fe-fertilizer with high mechanical property and sustainable release for potential agriculture and horticulture applications. New J. Chem. 2018, 42, 19129–19136. [Google Scholar] [CrossRef]
- Li, T.; Lü, S.Y.; Yan, J.; Bai, X.; Gao, C.M.; Liu, M.Z. An Environment-Friendly Fertilizer Prepared by Layer-by-Layer Self-Assembly for pH-Responsive Nutrient Release. ACS Appl. Mater. Interfaces 2019, 11, 10941–10950. [Google Scholar] [CrossRef]
- Li, T.; Tong, Z.; Zheng, Q.; Bao, H.; Partow, A.; Meng, S.; Li, L.; Li, Y.C. Fabrication of a Lignin-Based Magnetic Nanocomposite Adsorbent to Recover Phosphorus in Water for Agricultural Reuse. ACS Sustain. Chem. Eng. 2021, 9, 10468–10478. [Google Scholar] [CrossRef]
- Li, T.; Lu, S.; Wang, Z.; Huang, M.; Yan, J.; Liu, M. Lignin-based nanoparticles for recovery and separation of phosphate and reused as renewable magnetic fertilizers. Sci. Total Environ. 2021, 765, 142745. [Google Scholar] [CrossRef]
- Li, H.; Wang, N.; Zhang, L.; Wei, Y.; Zhang, L.; Ma, Y.; Ruso, J.M.; Liu, Z. Engineering and slow-release properties of lignin-based double-layer coated fertilizer. Polym. Adv. Technol. 2023, 34, 2029–2043. [Google Scholar] [CrossRef]
- Liu, X.; Li, Y.; Meng, Y.; Lu, J.; Cheng, Y.; Tao, Y.; Wang, H. Pulping black liquor-based polymer hydrogel as water retention material and slow-release fertilizer. Ind. Crops Prod. 2021, 165, 113445. [Google Scholar] [CrossRef]
- Zhu, C.; Zhang, S.; Yi, C.; Heng, Z.; Wang, Z.; Liu, C.; Zheng, X. Aminated rice straw/oxidized sodium alginate/iron(III): Synthesis and slow-release properties of a biomass-based material used as base fertilizer. Ind. Crops Prod. 2023, 205, 117533. [Google Scholar] [CrossRef]
- Zhang, S.; Fu, X.; Tong, Z.; Liu, G.; Meng, S.; Yang, Y.; Helal, M.I.D.; Li, Y.C. Lignin–Clay Nanohybrid Biocomposite-Based Double-Layer Coating Materials for Controllable-Release Fertilizer. ACS Sustain. Chem. Eng. 2020, 8, 18957–18965. [Google Scholar] [CrossRef]
- Chen, X.; Yang, H.; Zhang, L.; Li, Z.; Xue, Y.; Wang, R.; Fan, X.; Sun, S. Green construction and release mechanism of lignin-based double-layer coated urea. Biotechnol. Biofuels Bioprod. 2023, 16, 97. [Google Scholar] [CrossRef] [PubMed]
- Cadenaro, M.; Josic, U.; Maravic, T.; Mazzitelli, C.; Marchesi, G.; Mancuso, E.; Breschi, L.; Mazzoni, A. Progress in Dental Adhesive Materials. J. Dent. Res. 2023, 102, 254–262. [Google Scholar] [CrossRef] [PubMed]
- Ciastowicz, Z.; Pamula, R.; Bialowiec, A. Utilization of Plant Oils for Sustainable Polyurethane Adhesives: A Review. Materials 2024, 17, 1738. [Google Scholar] [CrossRef]
- Czakaj, J.; Sztorch, B.; Romanczuk-Ruszuk, E.; Brzakalski, D.; Przekop, R.E. Organosilicon Compounds in Hot-Melt Adhesive Technologies. Polymers 2023, 15, 3708. [Google Scholar] [CrossRef]
- Fitzgerald, D.M.; Colson, Y.L.; Grinstaff, M.W. Synthetic pressure sensitive adhesives for biomedical applications. Prog. Polym. Sci. 2023, 142, 101692. [Google Scholar] [CrossRef]
- Lee, Y.S.; Kim, M.S.; Kim, D.; Pang, C.H.Y. Intelligent structured nanocomposite adhesive for bioelectronics and soft robots. Nano Res. 2024, 17, 534–549. [Google Scholar] [CrossRef]
- Liu, Y.W.; Wang, H.; Li, J.C.; Li, P.Y.; Li, S.J. Gecko-Inspired Controllable Adhesive: Structure, Fabrication, and Application. Biomimetics 2024, 9, 149. [Google Scholar] [CrossRef]
- Okada, M.; Matsumoto, T. Solid-state inorganic and metallic adhesives for soft biological tissues. Jpn. Dent. Sci. Rev. 2023, 59, 439–445. [Google Scholar] [CrossRef]
- Wang, C.X.; Zhang, X.Y.; Fan, Y.N.; Yu, S.H.; Liu, M.; Feng, L.H.; Sun, Q.S.; Pan, P.P. Principles and Design of Bionic Hydrogel Adhesives for Skin Wound Treatment. Polymers 2024, 16, 1937. [Google Scholar] [CrossRef]
- Wang, H.S.; Gao, S.S.; Xie, Y.T.; Shi, X.Y.; Lai, C.H.; Zhang, D.H.; Wang, C.P.; Chu, F.X. Strong and Reusable Biobased Multiblock Copolyester Adhesives. ACS Appl. Polym. Mater. 2024. [Google Scholar] [CrossRef]
- Eisen, A.; Bussa, M.; Röder, H. A review of environmental assessments of biobased against petrochemical adhesives. J. Clean. Prod. 2020, 277, 124277. [Google Scholar] [CrossRef]
- Gong, X.Y.; Meng, Y.; Lu, J.; Tao, Y.H.; Cheng, Y.; Wang, H.S. A Review on Lignin-Based Phenolic Resin Adhesive. Macromol. Chem. Phys. 2022, 223, 2100434. [Google Scholar] [CrossRef]
- Ghahri, S.; Park, B.-D. Amination and crosslinking of acetone-fractionated hardwood kraft lignin using different amines and aldehydes for sustainable bio-based wood adhesives. Bioresour. Technol. 2024, 399, 130645. [Google Scholar] [CrossRef]
- Chen, S.; Zhang, W.; Ye, Y.; Ying, X.; Huang, J.; Li, X. Introduction of aminated sodium lignosulfonate as a chain extender for preparation of high-performance waterborne polyurethane. Int. J. Adhes. Adhes. 2023, 125, 103415. [Google Scholar] [CrossRef]
- Zhu, Y.; Bian, R.; Yu, Y.; Li, J.; Li, C.; Lyu, Y.; Li, X.; Luo, J.; Li, J. Aminated alkali lignin nanoparticles enabled formaldehyde-free biomass wood adhesive with high strength, toughness, and mildew resistance. Chem. Eng. J. 2024, 494, 152914. [Google Scholar] [CrossRef]
- dos Santos, D.J.; Tavares, L.B.; Gouveia, J.R.; Batalha, G.F. Lignin-based polyurethane and epoxy adhesives: A short review. Arch. Mater. Sci. Eng. 2021, 2, 56–63. [Google Scholar] [CrossRef]
- Marcuello, C.; Foulon, L.; Chabbert, B.; Aguié-Béghin, V.; Molinari, M. Atomic force microscopy reveals how relative humidity impacts the Young’s modulus of lignocellulosic polymers and their adhesion with cellulose nanocrystals at the nanoscale. Int. J. Biol. Macromol. 2020, 147, 1064–1075. [Google Scholar] [CrossRef]
- Bergamasco, S.; Tamantini, S.; Zikeli, F.; Vinciguerra, V.; Scarascia Mugnozza, G.; Romagnoli, M. Synthesis and Characterizations of Eco-Friendly Organosolv Lignin-Based Polyurethane Coating Films for the Coating Industry. Polymers 2022, 14, 416. [Google Scholar] [CrossRef]
- Wang, J.; Seidi, F.; Huang, Y.; Xiao, H. Smart lignin-based polyurethane conjugated with corrosion inhibitor as bio-based anticorrosive sublayer coating. Ind. Crops Prod. 2022, 188, 115719. [Google Scholar] [CrossRef]
- Wang, L.; Zhang, J.; Wang, F.; Liu, Z.; Su, W.; Chen, Z.; Jiang, J. Investigation on the effects of polyaniline/lignin composites on the performance of waterborne polyurethane coating for protecting cement-based materials. J. Build. Eng. 2023, 64, 105665. [Google Scholar] [CrossRef]
- Khadem, E.; Ghafarzadeh, M.; Kharaziha, M.; Sun, F.B.; Zhang, X.M. Lignin derivatives-based hydrogels for biomedical applications. Int. J. Biol. Macromol. 2024, 261, 129877. [Google Scholar] [CrossRef] [PubMed]
- Jayan, J.S.; Jayan, S.S.; Deeraj, B.D.S.; Saritha, A. Biomedical applications of fluorescent lignin derived quantum dots: An emerging arena. Ind. Crops Prod. 2024, 213, 118402. [Google Scholar] [CrossRef]
- Mukheja, Y.; Kaur, J.; Pathania, K.; Sah, S.P.; Salunke, D.B.; Sangamwar, A.T.; Pawar, S.V. Recent advances in pharmaceutical and biotechnological applications of lignin-based materials. Int. J. Biol. Macromol. 2023, 241, 124601. [Google Scholar] [CrossRef]
- Li, K.Y.; Zhong, W.; Li, P.H.; Ren, J.P.; Jiang, K.J.; Wu, W.J. Antibacterial mechanism of lignin and lignin-based antimicrobial materials in different fields. Int. J. Biol. Macromol. 2023, 252, 126281. [Google Scholar] [CrossRef]
- Sathasivam, T.; Kai, J.; Sugiarto, S.; Yu, Y.; Soo, D.X.Y.; Zhu, Q.; Merzaban, J.; Kai, D. Nano-Strategies for Lignin Biomaterials toward Cancer Therapy. Adv. Healthc. Mater. 2023, 12, 2300024. [Google Scholar] [CrossRef]
- Nugroho, R.A.; Saputra, O.A.; Pradita, A.L.; Fajar, A.N.; Wibowo, F.R. Lignin-based polyurethane composites enhanced with hydroxyapatite for controlled drug delivery and potential cellular scaffold applications. Polym. Compos. 2024. [Google Scholar] [CrossRef]
- Pahlevanneshan, Z.; Deypour, M.; Kefayat, A.; Rafienia, M.; Sajkiewicz, P.; Neisiany, R.E.; Enayati, M.S. Polyurethane-Nanolignin Composite Foam Coated with Propolis as a Platform for Wound Dressing: Synthesis and Characterization. Polymers 2021, 13, 3191. [Google Scholar] [CrossRef]
- Yi, C.; Xu, Q.; Yang, D.; Wang, M. A novel pH-responsive charge reversal nanospheres based on acetylated histidine-modified lignin for drug delivery. Ind. Crops Prod. 2022, 186, 115193. [Google Scholar] [CrossRef]
- Pang, Z.; Fu, Y.; Yu, H.; Liu, S.; Yu, S.; Liu, Y.; Wu, Q.; Liu, Y.; Nie, G.; Xu, H. Efficient ethanol solvothermal synthesis of high-performance nitrogen-doped carbon quantum dots from lignin for metal ion nanosensing and cell imaging. Ind. Crops Prod. 2022, 183, 114957. [Google Scholar] [CrossRef]








| Lignin Type | Solubility | Characteristics | |
|---|---|---|---|
| Alkali lignin | Kraft lignin | Alkali, organic solvents | Lower sulfur content, high molecular weight (Mw) |
| Soda lignin | Alkali | Sulfur-free, lower Mw, high p-hydroxyl, carboxyl groups | |
| Lignosulfonates | Water, some organic solvents | High sulfur content, high Mw, polydispersity index | |
| Organosolv lignin | Most organic solvents | High purity, sulfur-free, lower Mw, hydrophobic | |
| Enzymatic lignin | Minority organic solvents | Sulfur-free, high impurity | |
| Types of Lignin | Preparation Methods | Performance | Ref. |
|---|---|---|---|
| Kraft lignin | Copolymerization with acrylamide in a UV-induced manner and then modified with formaldehyde and diethylenetriamine | 99.3% removal rate for kaolin >99.6% decolorization rates for Acid Black 1, Direct Red 80, and Reactive Red 2 | [100] |
| Ethyl acetate -soluble hydrothermal lignin | Copolymerization with (2-methacryloyloxyethyl) trimethyl ammonium chloride under low-power ultraviolet light and in the presence of a photo-initiator | 99.6% removal rate for E. coli | [101] |
| Lignosulfonate | Copolymerization with [2-(methacryloyloxy) ethyl] trimethyl ammonium chloride under short-wavelength ultraviolet light | >95% removal rate for Acid Black 1 99.2% removal rate for kaolin 97.5% removal rate for E. coli | [102] |
| Organosolv lignin | Copolymerization with diethylenetriamine and formaldehyde | >90% decolorization rate for DB 1 dye 502.7 mg⋅g−1 adsorption capacity for DB 1 dye | [103] |
| Kraft lignin | Oxidization with H2O2, followed by copolymerization with triethylenetetramine and formaldehyde. | 99.1% removal rate for malachite green | [104] |
| Alkaline lignin | Copolymerization with aminopropyl triethoxy silane and formaldehyde, and then cross-linking to the surface of magnetic Fe3O4 nanoparticles | 234.27 mg⋅g−1 adsorption capacity for methylene blue | [105] |
| Enzymatic lignin | Magnetically recyclable functionalized (EL-PEI@Fe3O4-Mg) enzymatic lignin composite was prepared by Mannish reaction and hydrolysis–precipitation | 92% removal rate for Congo red after 5 cycles | [106] |
| Alkaline lignin | Amine-functionalized lignin microspheres (AL-PEI/GMS) were prepared by reverse-phase suspension polymerization | 99% removal rate for U(VI) in high-salinity solutions >95% removal rate for U(VI) via a fixed-bed column system | [107] |
| Alkaline lignin | Copolymerization with an amine and formaldehyde | >99% removal rates for Ag(I), Hg (II), Cd (II), Pb (II), Cu (II) and Zn (II) 99.7% and 99.8% removal rates for E. coli and S. aureus by Ag@LBNT, respectively | [108] |
| Organosolv lignin | Amine-functionalized magnetic lignin nanoparticles were prepared using cyanuric chloride as a chemoselective cross-linker | >85% removal rate for Pb (II) after 5 cycles. 111.23 mg⋅g−1 | [109] |
| Organosolv lignin | Hybrid nanoparticles were prepared using epichlorohydrin as a cross-linker between amine-functionalized magnetic nanoparticles and carboxymethylated lignin | 150.33 and 70.69 mg⋅g−1 adsorption capacities for Pb (II) and Cu (II), respectively | [110] |
| Industrial lignin | Polyethyleneimine-functionalized chitosan-lignin (PEI-CS-L) composite sponge was synthesized by cross-linking and lyophilization | >83.5% removal rate for Hg (II) within 1 min | [111] |
| Kraft lignin | Copolymerization with poly (ethylene imine) grafting agent and epoxy chloropropane cross-linker | 74.84, 54.20, 53.12, and 49.42 mg⋅g−1 adsorption capacities for Cd (II), Cr (VI), As (V), and Ni (II), respectively | [112] |
| Alkaline lignin | Copolymerization with triethylenetetramine and formaldehyde, and then Fe (III) was chelated onto the aminated lignin | >90% removal rate for phosphate | [113] |
Disclaimer/Publisher’s Note: The statements, opinions and data contained in all publications are solely those of the individual author(s) and contributor(s) and not of MDPI and/or the editor(s). MDPI and/or the editor(s) disclaim responsibility for any injury to people or property resulting from any ideas, methods, instructions or products referred to in the content. |
© 2024 by the authors. Licensee MDPI, Basel, Switzerland. This article is an open access article distributed under the terms and conditions of the Creative Commons Attribution (CC BY) license (https://creativecommons.org/licenses/by/4.0/).
Share and Cite
Li, Y.; Li, J.; Ren, B.; Cheng, H. Conversion of Lignin to Nitrogenous Chemicals and Functional Materials. Materials 2024, 17, 5110. https://doi.org/10.3390/ma17205110
Li Y, Li J, Ren B, Cheng H. Conversion of Lignin to Nitrogenous Chemicals and Functional Materials. Materials. 2024; 17(20):5110. https://doi.org/10.3390/ma17205110
Chicago/Turabian StyleLi, Yan, Jingrong Li, Bo Ren, and Haiyang Cheng. 2024. "Conversion of Lignin to Nitrogenous Chemicals and Functional Materials" Materials 17, no. 20: 5110. https://doi.org/10.3390/ma17205110
APA StyleLi, Y., Li, J., Ren, B., & Cheng, H. (2024). Conversion of Lignin to Nitrogenous Chemicals and Functional Materials. Materials, 17(20), 5110. https://doi.org/10.3390/ma17205110

