The Formation Criteria of LPSO Phase in Type I LPSO Mg-Y-X Alloy from the Perspective of Liquid–Solid Correlation
Abstract
1. Introduction
2. Methodology
2.1. Calculation Details
2.2. Experimental Procedures
3. Results and Discussion
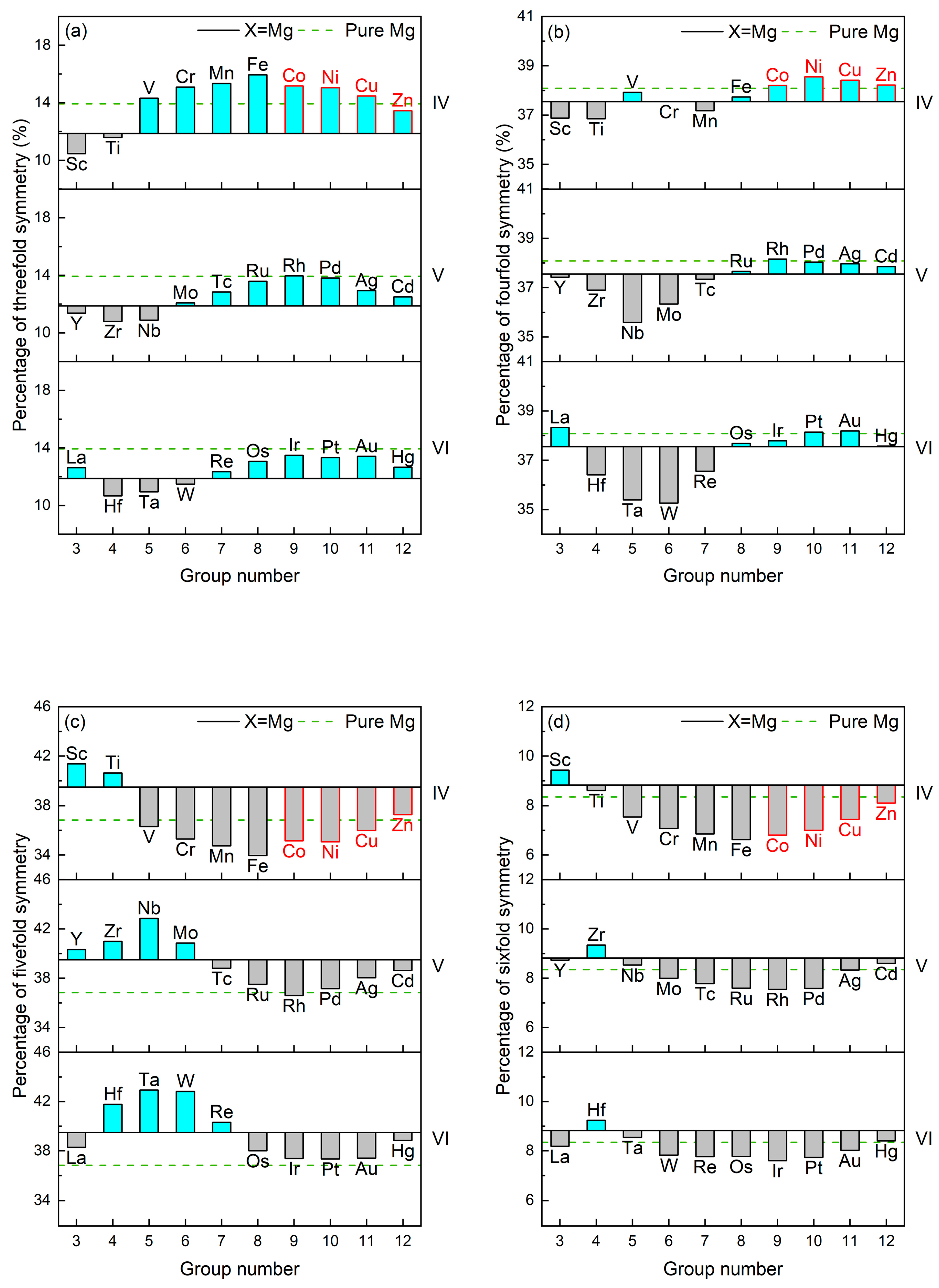
3.1. The Common Liquid Characteristics of Type I LPSO Mg-Y-X Alloys
3.2. The Experimental Determination of New Type I LPSO Mg-Y-X Alloy
3.3. The Liquid–Solid Correlation in Type I LPSO Mg-Y-X Alloy
4. Conclusions
- (1)
- The common liquid characteristics of Type I LPSO Mg-Y-X alloys are described in three aspects: X should result in the reduction in equilibrium volume and cohesive energy; Y should repulse Y and be attracted by both Mg and X, and X should be repulsed by both Mg and X; X should enhance the threefold and fourfold symmetries and weaken the fivefold and sixfold ones so that the local structural symmetries are distributed as PCTfourfold > PCTfivefold > PCTthreefold > PCTsixfold.
- (2)
- Besides the reported Type I LPSO Mg-Y-X alloys (X = Co, Ni, Cu, Zn), the Mg-Y-X alloys (X = Ru, Rh, Pd, Pt, Au) also satisfy all the common liquid characteristics and are predicted as the candidate Type I LPSO alloys. As the representative of the candidates, Type I LPSO Mg-Y-Au alloy is experimentally confirmed, in which the LPSO phase has 18R structure with the period of 4.69 nm.
- (3)
- The discovery of a new Type I LPSO alloy supports the liquid–solid correlation. In the crystal structures of the LPSO phases, the atom distribution within the solute segregation layers is consistent with the CSRO in the liquid alloy, and Y8X6 clusters should be the atom arrangement mode alleviating the structural changes caused by the addition of solutes in HCP-Mg.
Author Contributions
Funding
Institutional Review Board Statement
Informed Consent Statement
Data Availability Statement
Conflicts of Interest
References
- Kawamura, Y.; Hayashi, K.; Inoue, A.; Masumoto, T. Rapidly Solidified Powder Metallurgy Mg97Zn1Y2 Alloys with Excellent Tensile Yield Strength above 600 MPa. Mater. Trans. 2001, 42, 1172–1176. [Google Scholar] [CrossRef]
- Shao, X.H.; Yang, Z.Q.; Ma, X.L. Strengthening and toughening mechanisms in Mg-Zn-Y alloy with a long period stacking ordered structure. Acta Mater. 2010, 58, 4760–4771. [Google Scholar] [CrossRef]
- Liu, W.; Zhang, J.; Xu, C.; Zong, X.; Zhu, W.; Ma, Q. Precipitation behaviors of 14H LPSO lamellae in Mg96Gd3Zn0.5Ni0.5 alloys during severe plastic deformation. J. Mater. Sci. 2017, 52, 13271–13283. [Google Scholar] [CrossRef]
- Dai, C.; Wang, J.; Pan, Y.; Ma, K.; Peng, Y.; Wang, Y.; Wang, D.; Ran, C.; Wang, J.; Ma, Y. Achieving exceptionally high strength and rapid degradation rate of Mg-Er-Ni alloy by strengthening with lamellar γ′ and bulk LPSO phases. J. Mater. Sci. Technol. 2024, 168, 88–102. [Google Scholar] [CrossRef]
- Yuan, S.; Wang, J.; Li, X.; Ma, H.; Zhang, L.; Jin, P. Enhanced mechanical properties of Mg-1Al-12Y alloy containing long period stacking ordered phase. J. Magnes. Alloys 2023, 11, 4679–4688. [Google Scholar] [CrossRef]
- Guan, K.; Egami, M.; Egusa, D.; Kimizuka, H.; Yamasaki, M.; Kawamura, Y.; Abe, E. Short-range order clusters in the long-period stacking/order phases with an intrinsic-I type stacking fault in Mg-Co-Y alloys. Scripta Mater. 2022, 207, 114282. [Google Scholar] [CrossRef]
- Lu, R.; Jiao, K.; Li, N.; Hou, H.; Wang, J.; Zhao, Y. Microstructure and damping properties of LPSO phase dominant Mg-Ni-Y and Mg-Zn-Ni-Y alloys. J. Magnes. Alloys 2024, 12, 1131–1153. [Google Scholar] [CrossRef]
- Bi, G.; Zhang, N.; Jiang, J.; Li, Y.; Chen, T.; Fu, W.; Zhang, X.; Fang, D.; Ding, X. Microstructure and yield phenomenon of an extruded Mg-Y-Cu alloy with LPSO phase. J. Rare Earths 2023, 41, 454–461. [Google Scholar] [CrossRef]
- Zheng, D.; Zhu, Q.; Zeng, X.; Li, Y. Unveiling the strengthening effect of LPSO phase in a Mg-Y-Zn alloy. Mater. Lett. 2022, 311, 131524. [Google Scholar] [CrossRef]
- Hao, Y.; Chen, X.; Zhao, Z.; Chen, Z.; Chen, B. The interface between long-period stacking-ordered (LPSO) structure and β’ phase in Mg-Gd-Al alloys. J Alloys Compd. 2022, 923, 166267. [Google Scholar] [CrossRef]
- Bi, G.; Han, Y.; Jiang, J.; Li, Y.; Zhang, D.; Qiu, D.; Easton, M. Microstructure and mechanical properties of an extruded Mg-Dy-Ni alloy. Mat. Sci. Eng. A 2019, 760, 246–257. [Google Scholar] [CrossRef]
- Guan, K.; Egusa, D.; Abe, E. Dilute long period stacking/order (LPSO)-variant phases along the composition gradient in a Mg-Ho-Cu alloy. J. Magnes. Alloys 2022, 10, 1573–1580. [Google Scholar] [CrossRef]
- Zhang, L.; Zhang, S.; Ouyang, K.; Zhou, Y.; Huang, H.; Xu, P. Microstructure and Mechanical Properties of Mg-Er-Cu/Ni/Zn Alloys with Long Period Stacking Ordered Phases. Adv. Eng. Mater. 2021, 23, 2100368. [Google Scholar] [CrossRef]
- Kawamura, Y.; Morisaka, T.; Yamasaki, M. Structure and mechanical properties of rapidly solidified Mg97Zn1RE2 alloys. Mater. Sci. Forum 2003, 419–422, 751–756. [Google Scholar]
- Kawamura, Y.; Kasahara, T.; Izumi, S.; Yamasaki, M. Elevated temperature Mg97Y2Cu1 alloy with long period ordered structure. Scr. Mater. 2006, 55, 453–456. [Google Scholar] [CrossRef]
- Mizutani, U. Hume-Rothery rules for structurally complex alloy phases. In Surface Properties and Engineering of Complex Intermetallics; World Scientific: Singapore, 2011. [Google Scholar]
- Kawamura, Y.; Yamasaki, M. Formation and Mechanical Properties of Mg97Zn1RE2 Alloys with Long-Period Stacking Ordered Structure. Mater. Trans. 2007, 48, 2986–2992. [Google Scholar] [CrossRef]
- Saal, J.E.; Wolverton, C. Thermodynamic stability of Mg-Y-Zn long-period stacking ordered structures. Scr. Mater. 2012, 67, 798–801. [Google Scholar] [CrossRef]
- Saal, J.E.; Wolverton, C. Thermodynamic stability of Mg-based ternary long-period stacking ordered structures. Acta Mater. 2014, 68, 325–338. [Google Scholar] [CrossRef]
- Ma, S.-Y.; Liu, L.-M.; Wang, S.-Q. The predominant role of Zn6Y9 cluster in the long period stacking order structures of Mg-Zn-Y alloys: A first-principles study. J. Mater. Sci. 2013, 48, 1407–1412. [Google Scholar] [CrossRef]
- Li, Y.X.; Qiu, D.; Rong, Y.H.; Zhang, M.X. Effect of long-period stacking ordered phase on thermal stability of refined grains in Mg-RE-based alloys. Philos. Mag. 2014, 94, 1311–1326. [Google Scholar] [CrossRef]
- Liu, Z.-R.; Li, D.-Y. Stability and formation of long period stacking order structure in Mg-based ternary alloys. Comput. Mater. Sci. 2015, 103, 90–96. [Google Scholar] [CrossRef]
- Luo, S.Q.; Tang, A.T.; Jiang, B.; Liu, W.J.; Cheng, R.J.; Pan, F.S. The element features and criterion of formation of LPSO in magnesium alloys. Mater. Res. Innov. 2015, 19, S133–S137. [Google Scholar] [CrossRef]
- Kishida, K.; Yokobayashi, H.; Inui, H. A formation criterion for Order-Disorder (OD) phases of the Long-Period Stacking Order (LPSO)-type in Mg-Al-RE (Rare Earth) Ternary Systems. Sci. Rep. 2017, 7, 12294. [Google Scholar] [CrossRef] [PubMed]
- Fan, T.; Wang, Z.; Tian, Y.; Liu, Y.; Tang, P. High-Throughput Predictions of the Stabilities of Multi-Type Long-Period Stacking Ordered Structures in High-Performance Mg Alloys. Nanomaterials 2022, 12, 3240. [Google Scholar] [CrossRef]
- Ma, T.; Wang, J.; Cheng, K.; Zhan, C.; Zhou, J.; Qin, J.; Zhao, G.; Zhang, X. The chemical environment and structural ordering in liquid Mg-Y-Zn system: An ab-initio molecular dynamics investigation of melt for the formation mechanism of LPSO structure. J. Magnes. Alloys 2024, 12, 815–824. [Google Scholar] [CrossRef]
- Kresse, G.; Hafner, J. Ab initio molecular dynamics for open-shell transition metals. Phys. Rev. B 1993, 48, 13115–13118. [Google Scholar] [CrossRef]
- Kresse, G.; Furthmüller, J. Efficiency of ab-initio total energy calculations for metals and semiconductors using a plane-wave basis set. Comput. Mater. Sci. 1996, 6, 15–50. [Google Scholar] [CrossRef]
- Hohenberg, P.; Kohn, W. Inhomogeneous Electron Gas. Phys. Rev. 1964, 136, B864–B871. [Google Scholar] [CrossRef]
- Blöchl, P.E. Projector augmented-wave method. Phys. Rev. B 1994, 50, 17953–17979. [Google Scholar] [CrossRef]
- Perdew, J.P.; Burke, K.; Ernzerhof, M. Generalized Gradient Approximation Made Simple. Phys. Rev. Lett. 1996, 77, 3865–3868. [Google Scholar] [CrossRef]
- Nosé, S. A unified formulation of the constant temperature molecular dynamics methods. J. Chem. Phys. 1984, 81, 511–519. [Google Scholar] [CrossRef]
- Hoover, W.G. Canonical dynamics: Equilibrium phase-space distributions. Phys. Rev. A 1985, 31, 1695–1697. [Google Scholar] [CrossRef] [PubMed]
- Tian, Z.A.; Liu, R.S.; Dong, K.J.; Yu, A.B. A new method for analyzing the local structures of disordered systems. Europhys. Lett. 2011, 96, 36001. [Google Scholar] [CrossRef]
- Honeycutt, J.D.; Andersen, H.C. Molecular dynamics study of melting and freezing of small Lennard-Jones clusters. J. Phys. Chem. 1987, 91, 4950–4963. [Google Scholar] [CrossRef]
- Zhou, J.; Wang, J.; Qin, J.; Cheng, K.; Zhan, C.; Li, X.; Zhao, G.; Zhou, Y. A new diagrammatic method for the prediction of solid solubility in Mg alloys based on the short-range ordered structure. Comput. Mater. Sci. 2019, 159, 32–42. [Google Scholar] [CrossRef]
- Wang, J.; Ma, T.; Cheng, K.; Zhan, C.; Zhou, J.; Qin, J.; Zhao, J.; Zhang, S.; Zhao, G.; Wang, X. The effect of additional element dissolving on the solid solubility of Zn in Mg alloy: A first-principles prediction strategy. J. Alloys Compd. 2021, 877, 160312. [Google Scholar] [CrossRef]
- Ruan, Y.; Li, C.; Ren, Y.; Wu, X.; Schmid-Fetzer, R.; Guo, C.; Du, Z. Phases equilibrated with long-period stacking ordered phases in the Mg-rich corner of the Mg-Y-Zn system. J. Mater. Sci. Technol. 2021, 68, 147–159. [Google Scholar] [CrossRef]
- Zhang, L.; Huang, H.; Zhang, S.J.; Liu, X.R. Microstructure, Mechanical Properties and Tribological Behavior of Two-Phase Mg-Y-Cu Alloys with Long Period Stacking Ordered Phases. Met. Mater. Int. 2021, 27, 1605–1612. [Google Scholar] [CrossRef]
- Zhang, S.; Kim, J.; Wang, F.; Kang, K.; Xue, H.; Chen, X.; Pan, F. Microstructure and mechanical properties of LPSO dominant Mg-2Y-Cu-TM (TM=Cu, Zn, Co, Ni) alloys. Mater. Charact. 2022, 191, 112111. [Google Scholar] [CrossRef]
- Mao, P.; Xin, Y.; Han, K.; Liu, Z.; Yang, Z. Formation of long-period stacking-ordered (LPSO) structures and microhardness of as-cast Mg-4.5Zn-6Y alloy. Mat. Sci. Eng. A 2020, 777, 139019. [Google Scholar] [CrossRef]
- Kishida, K.; Nagai, K.; Matsumoto, A.; Yasuhara, A.; Inui, H. Crystal structures of highly-ordered long-period stacking-ordered phases with 18R, 14H and 10H-type stacking sequences in the Mg-Zn-Y system. Acta Mater. 2015, 99, 228–239. [Google Scholar] [CrossRef]









Disclaimer/Publisher’s Note: The statements, opinions and data contained in all publications are solely those of the individual author(s) and contributor(s) and not of MDPI and/or the editor(s). MDPI and/or the editor(s) disclaim responsibility for any injury to people or property resulting from any ideas, methods, instructions or products referred to in the content. |
© 2024 by the authors. Licensee MDPI, Basel, Switzerland. This article is an open access article distributed under the terms and conditions of the Creative Commons Attribution (CC BY) license (https://creativecommons.org/licenses/by/4.0/).
Share and Cite
Ma, T.; Wang, J.; Zhou, J.; Qin, J.; Cheng, K.; Yu, H.; Zhao, D.; Yang, H.; Zhan, C.; Zhao, G.; et al. The Formation Criteria of LPSO Phase in Type I LPSO Mg-Y-X Alloy from the Perspective of Liquid–Solid Correlation. Materials 2024, 17, 5032. https://doi.org/10.3390/ma17205032
Ma T, Wang J, Zhou J, Qin J, Cheng K, Yu H, Zhao D, Yang H, Zhan C, Zhao G, et al. The Formation Criteria of LPSO Phase in Type I LPSO Mg-Y-X Alloy from the Perspective of Liquid–Solid Correlation. Materials. 2024; 17(20):5032. https://doi.org/10.3390/ma17205032
Chicago/Turabian StyleMa, Tangpeng, Jin Wang, Jixue Zhou, Jingyu Qin, Kaiming Cheng, Huan Yu, Dongqing Zhao, Huabing Yang, Chengwei Zhan, Guochen Zhao, and et al. 2024. "The Formation Criteria of LPSO Phase in Type I LPSO Mg-Y-X Alloy from the Perspective of Liquid–Solid Correlation" Materials 17, no. 20: 5032. https://doi.org/10.3390/ma17205032
APA StyleMa, T., Wang, J., Zhou, J., Qin, J., Cheng, K., Yu, H., Zhao, D., Yang, H., Zhan, C., Zhao, G., & Li, X. (2024). The Formation Criteria of LPSO Phase in Type I LPSO Mg-Y-X Alloy from the Perspective of Liquid–Solid Correlation. Materials, 17(20), 5032. https://doi.org/10.3390/ma17205032

