Investigating the Corrosive Influence of Chloride Ions on Slag Recovery Machine Inner Guide Wheel in Power Plants
Abstract
1. Introduction
2. Experimental
2.1. Material and Sample Preparation
2.2. Characterization Methods
2.2.1. Hanging Piece Experiment
2.2.2. 20CrMnTi Surface Corrosion Analysis
2.2.3. Electrochemical Tests
3. Results
3.1. Hanging Experimental Analysis
3.2. 20CrMnTi Surface Morphology Analysis
3.2.1. Composition of Corrosion-Producing Films
3.2.2. Corrosion Product Form
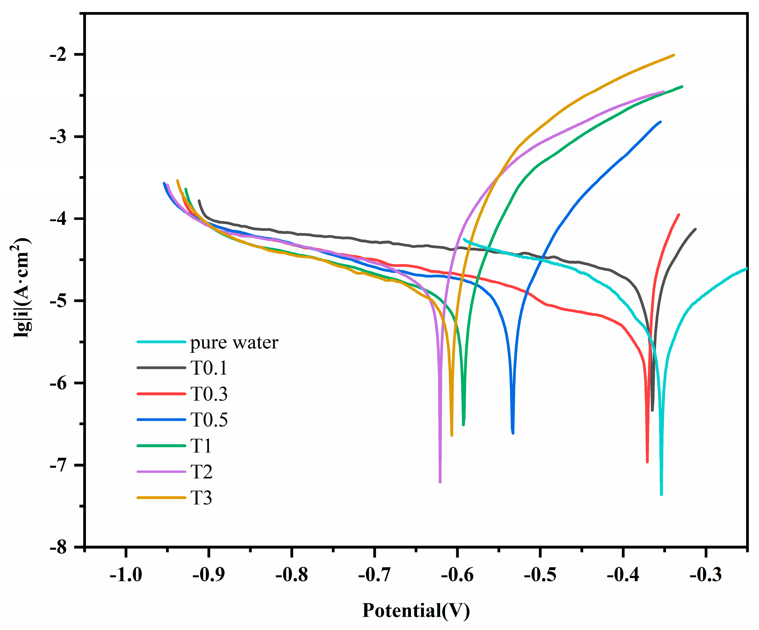
3.2.3. Electrochemical Characteristics
4. Discussion
5. Conclusions
- (a)
- The results of the weight loss and electrochemical experiments showed that the corrosion product films in the samples became looser and less dense as the Cl− concentration increased.
- (b)
- The elemental distribution results indicated that the protective effect of Cr on the substrate is only evident at low Cl− concentrations.
- (c)
- The XRD and surface micromorphology results showed that, as the Cl− concentration increased, the amount of α-FeOOH decreased, while that of γ-FeOOH increased.
Author Contributions
Funding
Data Availability Statement
Conflicts of Interest
References
- Ma, S.; Chai, J.; Wu, K.; Xiang, Y. Experimental research on bypass evaporation tower technology for zero liquid discharge of desulfurization wastewater. J. Environ. Technol. 2019, 40, 2715–2725. [Google Scholar] [CrossRef]
- Larki, I.; Zahedi, A.; Asadi, M.; Forootan, M.M.; Farajollahi, M.; Ahmadi, R.; Ahmadi, A. Mitigation approaches and techniques for combustion power plants flue gas emissions: A comprehensive review. J. Sci. Total Environ. 2023, 903, 166108. [Google Scholar] [CrossRef] [PubMed]
- Han, X.; Zhang, D.; Yan, J.; Zhao, S.; Liu, J. Process development of flue gas desulphurization wastewater treatment in coal-fired power plants towards zero liquid discharge: Energetic, economic and environmental analyses. J. Clean. Prod. 2020, 261, 121144. [Google Scholar] [CrossRef]
- Zhang, S.; Wu, Q.; Ji, H. Research on zero discharge treatment technology of mine wastewater. J. Energy Rep. 2022, 8 (Suppl. S2), 275–280. [Google Scholar] [CrossRef]
- An, W.; Zhao, J.; Lu, J.; Han, Y.; Li, D. Zero-liquid discharge technologies for desulfurization wastewater: A review. J. Environ. Manag. 2022, 321, 115953. [Google Scholar] [CrossRef] [PubMed]
- Liu, H.; Liu, Z. Recycling utilization patterns of coal mining waste in China. J. Resour. Conserv. Recycl. 2010, 54, 1331–1340. [Google Scholar] [CrossRef]
- Liu, X.; Zhang, H.; Yang, X. Chloride removal from flue gas desulfurization wastewater through Friedel’s salt precipitation method: A review. J. Sci. Total Environ. 2023, 862, 160906. [Google Scholar] [CrossRef]
- Permeh, S.; Lau, K. Corrosion of galvanized steel in alkaline solution associated with sulfate and chloride ions. Constr. Build. Mater. 2023, 392, 131889. [Google Scholar] [CrossRef]
- Hua, Y.; Shamsa, A.; Barker, R. Protectiveness, morphology and composition of corrosion products formed on carbon steel in the presence of Cl−, Ca2+ and Mg2+ in high pressure CO2 environments. Appl. Surf. Sci. 2018, 455, 667–682. [Google Scholar] [CrossRef]
- Chen, R.; Li, Z.; Zhang, Q.; Li, X. The roles of Al addition and heat treatment temperature on chloride corrosion of 9Cr alloy steel. Corros. Sci. 2022, 209, 110784. [Google Scholar] [CrossRef]
- Nicoletta, R.; Matteo, G.; Luca, S. Effects of cracks on chloride-induced corrosion initiation and propagation of carbon and stainless steel rebar. Struct. Concr. 2023, 24, 156–169. [Google Scholar] [CrossRef]
- Van Steen, C.; Nasser, H.; Verstrynge, E.; Wevers, M. Acoustic emission source characterisation of chloride-induced corrosion damage in reinforced concrete. Struct. Health Monit. 2022, 21, 1266–1286. [Google Scholar] [CrossRef]
- Mohammad, B.G. Influence of chloride corrosion on tension capacity of rebars. J. Cent. South Univ. 2021, 28, 3018–3028. [Google Scholar] [CrossRef]
- Xue, F.; Wei, X.; Dong, J.; Wang, C.; Ke, W. Effect of chloride ion on corrosion behavior of low carbon steel in 0.1 M NaHCO3 solution with different dissolved oxygen concentrations. J. Mater. Sci. Technol. 2019, 35, 596–603. [Google Scholar] [CrossRef]
- Zhou, S.; Yan, Q.; Tang, C.; Mao, F.; Pu, J.; Macdonald, D.D. Effect of the chloride on passivity breakdown of Al-Zn-Mg alloy. Corros. Sci. 2020, 163, 108254. [Google Scholar] [CrossRef]
- Yamashita, M.; Miyuki, H.; Matsuda, Y.; Nagano, H.; Misawa, T. The long term growth of the protective rust layer formed on weathering steel by atmospheric corrosion during a quarter of a century. Corros. Sci. 1994, 36, 283–299. [Google Scholar] [CrossRef]
- Fan, Y.; Liu, W.; Sun, Z.; Chowwanonthapunya, T.; Zhao, Y.; Dong, B.; Zhang, T.; Banthukul, W. Effect of chloride ion on corrosion resistance of Ni-advanced weathering steel in simulated tropical marine atmosphere. Constr. Build. Mater. 2021, 266, 120937. [Google Scholar] [CrossRef]
- Sarka, M.; Jaroslav, F.; Pavel, N. Effects of Cu microalloying on corrosion behavior of spring steel 54SiCr6. Mater. Chem. Phys. 2023, 309, 128323. [Google Scholar] [CrossRef]
- Li, G.; Wu, W.; Chai, P.; Yang, X.; Song, L. Influence of Cr and Ni elements on the electrochemical and early corrosion behavior of FeMnAlC low-density steel. J. Mater. Res. Technol. 2023, 23, 5892–5906. [Google Scholar] [CrossRef]
- Yamashita, M.; Konishi, H.; Mizuki, J.; Uchida, H. Nanostructure of protective rust layer on weathering steel examined using synchrotron radiation X-rays. Mater. Trans. 2004, 45, 1920–1924. [Google Scholar] [CrossRef]
- Pathirana, M.; Laleh, M.; Somers, A.; Hinton, B.; Tan, M.Y. The critical effect of rust layers on localised corrosion of steel exposed to waterline environments. Corros. Sci. 2023, 221, 111333. [Google Scholar] [CrossRef]
- Jilna, J.; Sathyashankara, S.P.R.P. Microstructural changes and their influence on corrosion post-annealing treatment of copper and AISI 5140 steel in 3.5 wt% NaCl medium. Cogent Eng. 2023, 10, 2244770. [Google Scholar] [CrossRef]
- Jiang, S.; Cao, J.; Liu, Z.; Xu, X.; Yang, J.; Li, X. Effect of Ni on the oxidation behavior of corrosion products that form on low alloy steel exposed to a thin electrolyte layer environment. Corros. Sci. 2022, 206, 110471. [Google Scholar] [CrossRef]
- De Motte, R.; Basilico, E.; Mingant, R.; Kittel, J.; Ropital, F.; Combrade, P.; Necib, S.; Deydier, V.; Crusset, D.; Marcelin, S. A study by electrochemical impedance spectroscopy and surface analysis of corrosion product layers formed during CO2 corrosion of low alloy steel. Corros. Sci. 2020, 172, 108666. [Google Scholar] [CrossRef]
- Mundhenk, N.; Carrero, S.; Knauss, K.G.; Wonneberger, R.; Undisz, A.; Wu, Y. Kinetic and thermodynamic analysis of high-temperature CO2 corrosion of carbon steel in simulated geothermal NaCl fluids. Corros. Sci. 2020, 171, 108597. [Google Scholar] [CrossRef]
- He, C.C.; Xu, L.; Chen, L.; Xu, X.F.; OuYang, P.W. Mechanism prediction of flow-induced corrosion and optimization of protection measures in overhead system of atmospheric tower. Chem. Eng. J. 2019, 70, 1027–1034. [Google Scholar] [CrossRef]
- Bobina, M.; Kellenberger, A.; Millet, J.P.; Muntean, C.; Vaszilcsin, N. Corrosion resistance of carbon steel in weak acid solutions in the presence of l-histidine as corrosion inhibitor. Corros. Sci. 2013, 69, 389–395. [Google Scholar] [CrossRef]
- Kadowaki, M.; Muto, I.; Sugawara, Y.; Doi, T.; Kawano, K.; Hara, N. Real-time microelectrochemical observations of very early stage pitting on ferrite-pearlite steel in chloride solutions. J. Electrochem. Soc. 2017, 164, C261–C268. [Google Scholar] [CrossRef]
- Kadowaki, M.; Muto, I.; Sugawara, Y.; Hara, N. Beneficial role of retained austenite in pitting corrosion resistance of Fe-C-Si-Mn steel in chloride environments. Corros. Sci. 2022, 200, 110251. [Google Scholar] [CrossRef]
- ASTM A668/A668M-04; Standard Specification for Steel Forgings, Carbon and Alloy, for General Industrial Use. American Association State: West Conshohocken, PA, USA, 2009. Available online: https://dl.doc88.com/download/d714566e6a1bde9d/ASTMA668A668M.pdf (accessed on 15 January 2024).
- Kamimura, T.; Hara, S.; Miyuki, H. Composition and protective ability of rust layer formed on weathering steel exposed to various environments. Corros. Sci. 2005, 48, 2799–2812. [Google Scholar] [CrossRef]
- You, M.; Jin, P.; Tan, X.; Wang, D.; Su, Y. Effects of temperature and chloride ion concentration on corrosion rate of 30CrMnSiNiA. Environ. Eng. Sci. 2017, 1672, 9242. [Google Scholar] [CrossRef]
- Dong, B.; Liu, W.; Zhang, T.; Chen, L.; Fan, Y.; Zhao, Y.; Li, H.; Yang, W.; Sun, Y. Clarifying the effect of a small amount of Cr content on the corrosion of Ni-Mo steel in tropical marine atmospheric environment. Corros. Sci. 2023, 210, 110813. [Google Scholar] [CrossRef]
- Renner, F.U.; Ankah, G.N.; Bashir, A.; Ma, D.; Biedermann, P.U.; Shrestha, B.R.; Nellessen, M.; Khorashadizadeh, A.; Losada-Pérez, P.; Duarte, M.J.; et al. Star-shaped crystallographic cracking of localized nanoporous defects. Adv. Mater. 2015, 27, 4877–4882. [Google Scholar] [CrossRef] [PubMed]
- Yu, Q.; Dong, W.; Yang, X.Y.; Wang, Q.F.; Zhang, F.C. Insights into the corrosion mechanism and electrochemical properties of the rust layer evolution for weathering steel with various Cl—Deposition in the simulated atmosphere. Mater. Res. Express 2021, 8, 036515. [Google Scholar] [CrossRef]
- Nishikata, A.; Zhu, Q.J.; Tada, E. Long-term monitoring of atmospheric corrosion at weathering steel bridges by an electrochemical impedance method. Corros. Sci. 2014, 87, 80–88. [Google Scholar] [CrossRef]
- Dong, B.J.; Liu, W.; Chen, L.J.; Zhang, T.Y.; Fan, Y.Y.; Zhao, Y.Y.; Li, S.; Yang, W.; Banthukul, W. Optimize Ni, Cu, Mo element of low Cr-steel rebars in tropical marine atmosphere environment through two years of corrosion monitoring. Cem. Concr. Compos. 2022, 125, 104317. [Google Scholar] [CrossRef]
- Lukács, Z.; Kristóf, T. A Generalized Model of the Equivalent Circuits in the Electrochemical Impedance Spectroscopy. Electrochim. Acta 2020, 363, 137199. [Google Scholar] [CrossRef]
- Kappel, M.A.A.; Peixoto, F.C.; Platt, G.M.; Domingos, R.P.; Bastos, I.N. A study of equivalent electrical circuit fitting to electrochemical impedance using a stochastic method. Appl. Soft Comput. 2017, 50, 183–193. [Google Scholar] [CrossRef]
- Ramón, J.; Martínez-Ibernón, A.; Gandía-Romero, J. Characterization of electrochemical systems using potential step voltammetry. Part I: Modeling by means of equivalent circuits. Electrochim. Acta 2019, 323, 134702. [Google Scholar] [CrossRef]
- Arrousse, N.; Mabrouk, E.; Salim, R.; Ismaily alaoui, K.; El Hajjaji, F.; Rais, Z.; Taleb, M.; Hammouti, B. Fluorescein as commercial and environmentally friendly inhibitor against corrosion of mild steel in molar hydrochloric acid medium. Mater. Today Proc. 2020, 27, 3184–3192. [Google Scholar] [CrossRef]
- Fu, J.D.; Wan, S.; Yang, Y.; Su, Q.; Han, W.W.; Zhu, Y.B. Accelerated corrosion behavior of weathering steel Q345qDNH for bridge in industrial atmosphere. Constr. Build. Mater. 2021, 306, 124864. [Google Scholar] [CrossRef]
- Kokalj, A.; Lozinšek, M.; Kapun, B.; Taheri, P.; Neupane, S.; Losada-Pérez, P.; Xie, C.; Stavber, S.; Crespo, D.; Renner, F.U.; et al. Simplistic correlations between molecular electronic properties and inhibition efficiencies: Do they really exist? Corros. Sci. 2021, 179, 108856. [Google Scholar] [CrossRef]
- Kamimura, T.; Kashima, K.; Sugae, K.; Miyuki, H.; Kudo, T. The role of chloride ion on the atmospheric corrosion of steel and corrosion resistance of Sn-bearing steel. Corros. Sci. 2012, 62, 34–41. [Google Scholar] [CrossRef]
- Hai, C.; Wang, Z.; Lu, F.Y.; Zhang, S.P.; Du, C.W.; Cheng, X.Q.; Li, X. Analysis of corrosion evolution in carbon steel in the subtropical atmospheric environment of Sichuan. J. Mater. Eng. Perform. 2021, 30, 8014–8022. [Google Scholar] [CrossRef]
- Asami, K.; Kikuchi, M. In-depth distribution of rusts on a plain carbon steel and weathering steels exposed to coastal–industrial atmosphere for 17 years. Corros. Sci. 2003, 45, 2671–2688. [Google Scholar] [CrossRef]
- Weissenrieder, J.; Leygraf, C. In situ studies of filiform corrosion of iron. J. Electrochem. Soc. 2004, 151, B165–B171. [Google Scholar] [CrossRef]
- Mundra, S.; Criado, M.; Bernal, S.A.; Provis, J.L. Chloride-induced corrosion of steel rebars in simulated pore solutions of alkali-activated concretes. Cem. Concr. Res. 2017, 100, 385–397. [Google Scholar] [CrossRef]
- Gerwin, W.; Baumhauer, R. Effect of soil parameters on the corrosion of archaeological metal finds. Geoderma 2000, 96, 63–80. [Google Scholar] [CrossRef]
- Tamura, H. The role of rusts in corrosion and corrosion protection of iron and steel. Corros. Sci. 2008, 50, 1872–1883. [Google Scholar] [CrossRef]
- Tahri, W.; Hu, X. Review on corrosion of steel reinforcement in alkali-activated concretes in chloride-containing environments. Constr. Build. Mater. 2021, 293, 123484. [Google Scholar] [CrossRef]









| Label | Icorr (A/cm2) | Ecorr (V) | −βc (mV·dec−1) | Βa (mV·dec−1) |
|---|---|---|---|---|
| Pure water | 1.138 × 10−5 | −0.5240 | 5.099 | 5.458 |
| T0.1 | 2.225 × 10−5 | −0.3664 | 3.092 | 15.013 |
| T0.3 | 2.698 × 10−5 | −0.3726 | 3.017 | 13.849 |
| T0.5 | 3.293 × 10−5 | −0.5344 | 0.902 | 10.923 |
| T1 | 5.220 × 10−5 | −0.5946 | 2.994 | 8.875 |
| T2 | 2.629 × 10−4 | −0.6226 | 2.592 | 8.707 |
| T3 | 6.794 × 10−5 | −0.6080 | 2.381 | 10.251 |
| Solution (g/L) | Time (d) | Rs (Ω·cm2) | CPE110−4 (Ω−1cm−2S−n) | n1 | Rp (Ω·cm2) | CPE210−4 (Ω−1cm−2S-−n) | n2 | Rct (Ω·cm2) |
|---|---|---|---|---|---|---|---|---|
| 1 | 0 | 58.74 | 2.243 | 0.8601 | 4.407 | 2952 | 1.021 | 125.8 |
| 3 | 55.56 | 10.97 | 0.8974 | 81.23 | 2.178 | 0.8550 | 443.7 | |
| 5 | 59.35 | 15.99 | 0.6831 | 354.3 | 14.33 | 0.7027 | 1618 | |
| 3 | 0 | 26.08 | 6.781 | 0.6679 | 4.996 | 1266 | 1.019 | 117.7 |
| 3 | 33.49 | 14.18 | 0.4431 | 19.87 | 8.584 | 0.7038 | 600.4 | |
| 5 | 29.85 | 5.239 | 0.7724 | 456.1 | 24.59 | 0.6226 | 668.6 | |
| 5 | 0 | 19.60 | 4.106 | 0.7533 | 41.76 | 1165 | 1.000 | 441.0 |
| 3 | 19.39 | 6.260 | 0.6421 | 45.59 | 2.953 | 0.8154 | 899.5 | |
| 5 | 18.02 | 4.769 | 0.7801 | 423.8 | 4.837 | 0.7473 | 1878 | |
| 10 | 0 | 14.17 | 5.413 | 0.7925 | 47.25 | 6.658 | 0.7899 | 1121 |
| 3 | 17.11 | 6.859 | 0.7184 | 31.43 | 1736 | 1.010 | 675.1 | |
| 5 | 12.63 | 0.7896 | 0.6149 | 6.234 | 9.767 | 0.7574 | 228.4 | |
| 20 | 0 | 10.05 | 6.911 | 0.7426 | 561.9 | 12.85 | 0.7873 | 1324 |
| 3 | 9.350 | 16.37 | 0.7710 | 607.3 | 1350 | 1.009 | 262.8 | |
| 5 | 11.37 | 28.23 | 0.5683 | 21.70 | 980.1 | 0.6901 | 85.31 | |
| 30 | 0 | 5.082 | 2.021 | 0.8232 | 119.9 | 22.67 | 0.7474 | 894.5 |
| 3 | 5.576 | 12.05 | 0.7459 | 7.294 | 13.25 | 0.7231 | 367.0 | |
| 5 | 7.879 | 0.01934 | 0.7905 | 17.81 | 69.77 | 0.2549 | 220.1 |
Disclaimer/Publisher’s Note: The statements, opinions and data contained in all publications are solely those of the individual author(s) and contributor(s) and not of MDPI and/or the editor(s). MDPI and/or the editor(s) disclaim responsibility for any injury to people or property resulting from any ideas, methods, instructions or products referred to in the content. |
© 2024 by the authors. Licensee MDPI, Basel, Switzerland. This article is an open access article distributed under the terms and conditions of the Creative Commons Attribution (CC BY) license (https://creativecommons.org/licenses/by/4.0/).
Share and Cite
Hu, D.; Ma, X.; Bai, J.; Fan, Y.; Yu, Y.; Ma, R.; Zhang, J.; Du, A.; Xi, T.; Zhao, X.; et al. Investigating the Corrosive Influence of Chloride Ions on Slag Recovery Machine Inner Guide Wheel in Power Plants. Materials 2024, 17, 457. https://doi.org/10.3390/ma17020457
Hu D, Ma X, Bai J, Fan Y, Yu Y, Ma R, Zhang J, Du A, Xi T, Zhao X, et al. Investigating the Corrosive Influence of Chloride Ions on Slag Recovery Machine Inner Guide Wheel in Power Plants. Materials. 2024; 17(2):457. https://doi.org/10.3390/ma17020457
Chicago/Turabian StyleHu, Dalong, Xiaohan Ma, Jintao Bai, Yongzhe Fan, Yaohong Yu, Ruina Ma, Jiangtao Zhang, An Du, Tianhao Xi, Xue Zhao, and et al. 2024. "Investigating the Corrosive Influence of Chloride Ions on Slag Recovery Machine Inner Guide Wheel in Power Plants" Materials 17, no. 2: 457. https://doi.org/10.3390/ma17020457
APA StyleHu, D., Ma, X., Bai, J., Fan, Y., Yu, Y., Ma, R., Zhang, J., Du, A., Xi, T., Zhao, X., & Wang, S. (2024). Investigating the Corrosive Influence of Chloride Ions on Slag Recovery Machine Inner Guide Wheel in Power Plants. Materials, 17(2), 457. https://doi.org/10.3390/ma17020457
