Influence of Silane Coupling Agent and Anionic Dispersant on the Dispersion Effect of Silicon Carbide Particles
Abstract
1. Introduction
2. Materials and Method
2.1. Materials
2.2. Preparation of Modified SiC Powders
2.3. Laboratory and Characterization
3. Results and Discussions
3.1. Characterization of Unmodified Ultrafine SiC Micropowders
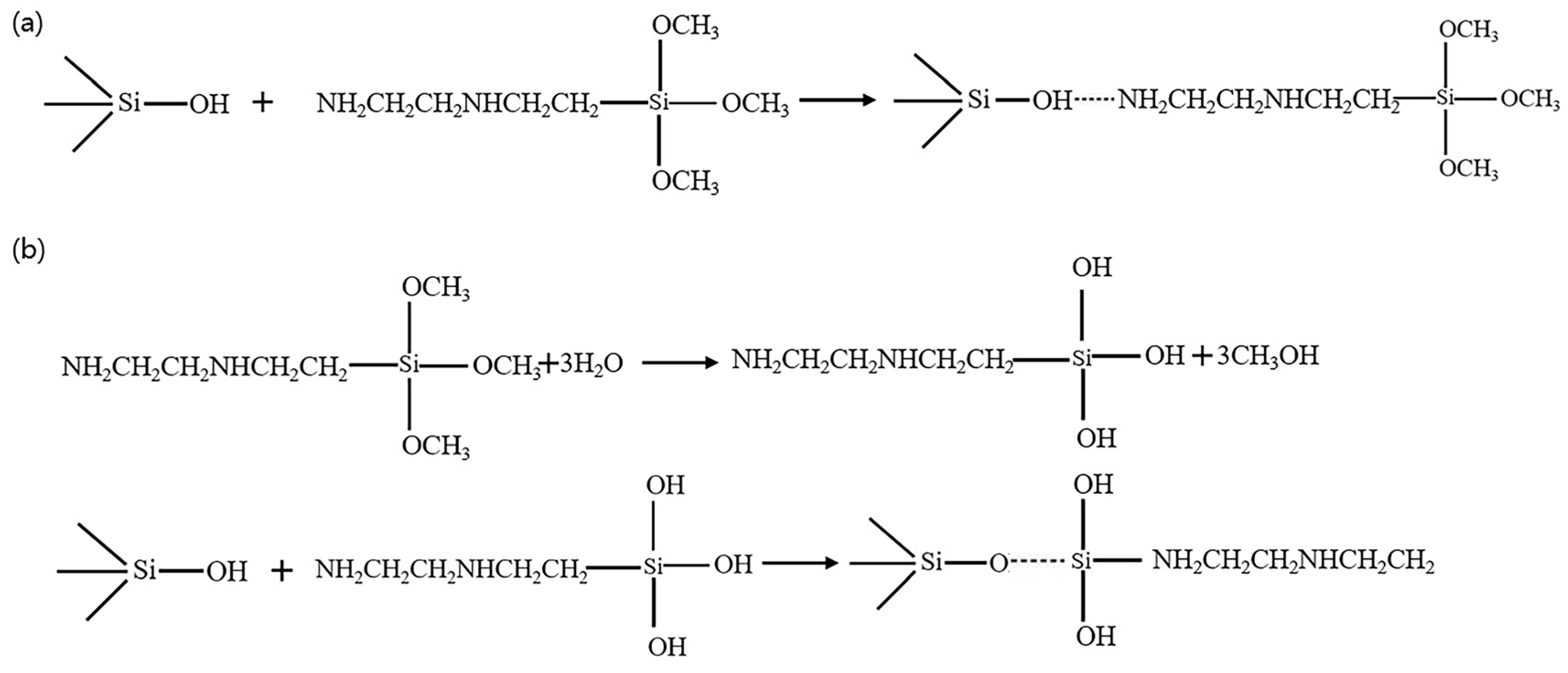
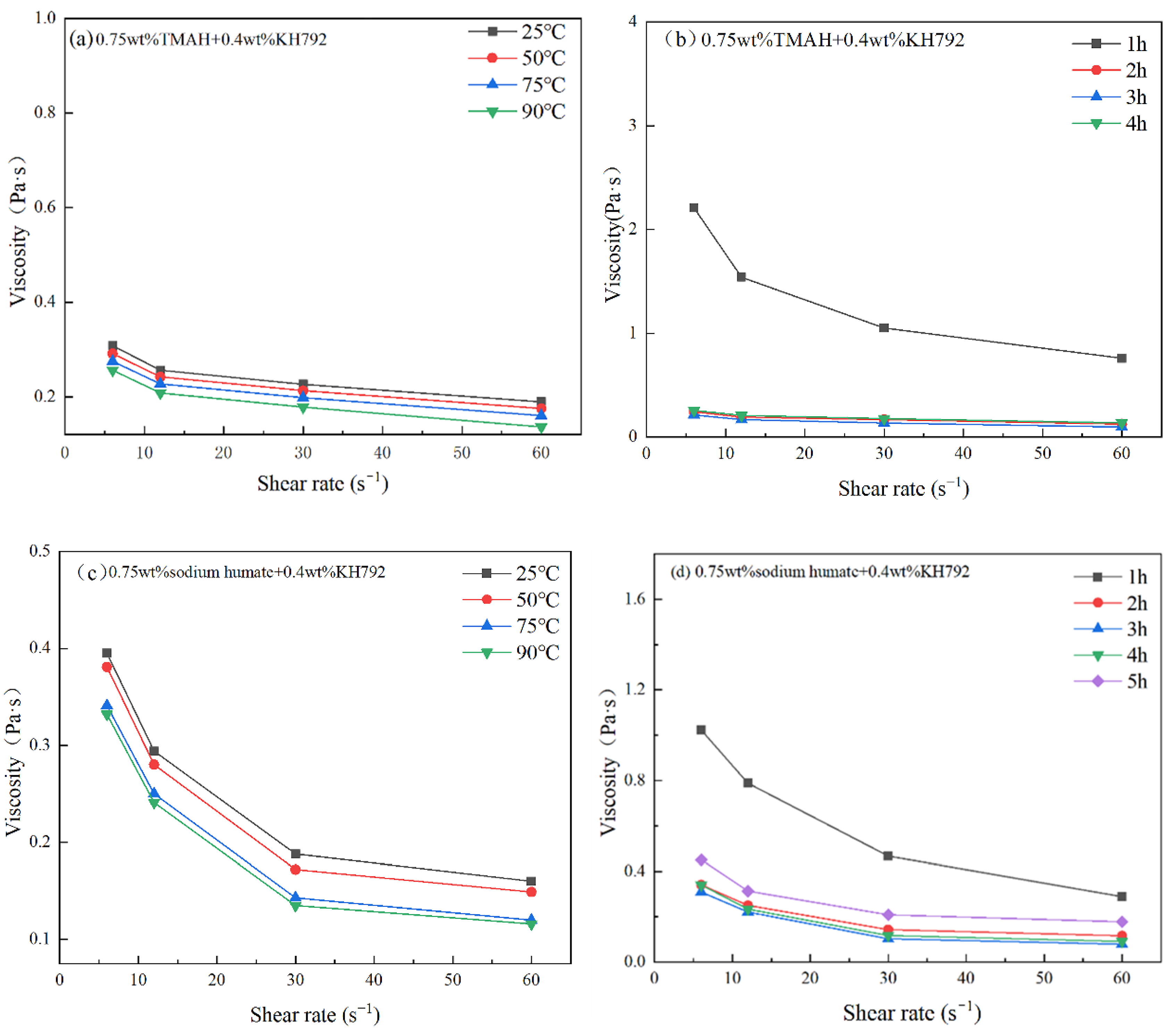
3.2. Rheological and Stability Characterization of Modified SiC Slurry
4. Conclusions
Author Contributions
Funding
Institutional Review Board Statement
Informed Consent Statement
Data Availability Statement
Conflicts of Interest
References
- Chen, S.; Shang, M.; Wang, L.; Yang, Z.; Gao, F.; Zheng, J.; Yang, W. Superior B-Doped SiC Nanowire Flexible Field Emitters: Ultra-Low Turn-On Fields and Robust Stabilities against Harsh Environments. ACS Appl. Mater. Interfaces 2017, 9, 35178–35190. [Google Scholar] [CrossRef] [PubMed]
- Eom, J.-H.; Kim, Y.-W.; Raju, S. Processing and properties of macroporous silicon carbide ceramics: A review. J. Asian Ceram. Soc. 2013, 1, 220–242. [Google Scholar] [CrossRef]
- Kota, N.; Charan, M.S.; Laha, T.; Roy, S. Review on development of metal/ceramic interpenetrating phase composites and critical analysis of their properties. Ceram. Int. 2022, 48, 1451–1483. [Google Scholar] [CrossRef]
- Gryn, S.; Nychyporuk, T.; Bezverkhyy, I.; Korytko, D.; Iablokov, V.; Lysenko, V.; Alekseev, S. Mesoporous SiC with Potential Catalytic Application by Electrochemical Dissolution of Polycrystalline 3C-SiC. ACS Appl. Nano Mater. 2018, 1, 2609–2620. [Google Scholar] [CrossRef]
- Kumar, P.V.; Gupta, G.S. Study of formation of silicon carbide in the Acheson process. Steel Res. 2002, 73, 31–38. [Google Scholar] [CrossRef]
- Monteverde, F.; Scatteia, L. Resistance to Thermal Shock and to Oxidation of Metal Diborides–SiC Ceramics for Aerospace Application. J. Am. Ceram. Soc. 2007, 90, 1130–1138. [Google Scholar] [CrossRef]
- Duong-Viet, C.; Ba, H.; El-Berrichi, Z.; Nhut, J.M.; Ledoux, M.J.; Liu, Y.F.; Pham-Huu, C. Silicon carbide foam as a porous support platform for catalytic applications. New J. Chem. 2016, 40, 4285–4299. [Google Scholar] [CrossRef]
- Akatsu, T.; Nakanishi, S.; Tanabe, Y. Toughening enhanced at elevated temperatures in an alumina/zirconia dual-phase matrix composite reinforced with silicon carbide whiskers. J. Eur. Ceram. Soc. 2013, 33, 3157. [Google Scholar] [CrossRef]
- Bai, C.Y.; Deng, X.Y.; Li, J.B. Fabrication and properties of cordierite–mullite bonded porous SiC ceramics. Ceram. Int. 2014, 40, 6225. [Google Scholar] [CrossRef]
- Chae, S.H.; Kim, Y.W.; Song, I.H. Porosity control of porous silicon carbide ceramics. J. Eur. Ceram. Soc. 2009, 29, 2867. [Google Scholar] [CrossRef]
- Chen, W.W.; Miyamoto, Y. Fabrication of porous silicon carbide ceramics with high porosity and highstrength. J. Eur. Ceram. Soc. 2014, 34, 837. [Google Scholar] [CrossRef]
- Ding, S.; Zhu, S.; Zeng, Y. Effect of Y2O3 addition on the properties of reaction-bonded porous SiC ceramics. Ceram. Int. 2006, 32, 461. [Google Scholar] [CrossRef]
- Guicciardi, S.; Silverstroni, L.; Nygren, M.; Sciti, D. Microstructure and Toughening Mechanisms in Spark Plasma-Sintered ZrB2Ceramics Reinforced by SiC Whiskers or SiC-Chopped Fibers. J. Am. Ceram. Soc. 2010, 93, 2384. [Google Scholar] [CrossRef]
- Barati, A.; Kokabi, M.; Famili, M.H.N. Drying of gelcast ceramic parts via the liquid desiccant method. J. Eur. Ceram. Soc. 2003, 23, 2265–2272. [Google Scholar] [CrossRef]
- Zhang, C.; Huang, X.; Yin, Y.; Xia, F.; Dai, J.; Zhu, Z. Preparation of boron carbide–aluminum composites by non-aqueous gelcasting. Ceram. Int. 2009, 35, 2255–2259. [Google Scholar] [CrossRef]
- Liu, J.; Song, Y.; Wu, W.; Wang, X.; Zhou, Q.; Niu, G.; Liu, P. Giant permittivity in (Nb0.5La0.5)xTi1−xO2 ceramics prepared by slip casting in a strong magnetic field. J. Am. Ceram. Soc. 2023, 106, 5922–5932. [Google Scholar] [CrossRef]
- Ayode Otitoju, T.; Ugochukwu Okoye, P.; Chen, G.; Li, Y.; Onyeka Okoye, M.; Li, S. Advanced ceramic components: Materials, fabrication, and applications. J. Ind. Eng. Chem. 2020, 85, 34–65. [Google Scholar] [CrossRef]
- Cesconeto, F.R.; Frade, J.R. Cellular ceramics by slip casting of emulsified suspensions. J. Eur. Ceram. Soc. 2020, 40, 4949–4954. [Google Scholar] [CrossRef]
- Evans, J.R.G. Seventy ways to make ceramics. J. Eur. Ceram. Soc. 2008, 28, 1421–1432. [Google Scholar] [CrossRef]
- Nicolás, G.O.; Yasnó, J.P.; Gamba, M.; Lorenzo, G.; Suárez, G. Dense m-Li2ZrO3 formed by aqueous slip casting technique: Colloidal and rheological characterization. Ceram. Int. 2023, 49, 8827–8838. [Google Scholar]
- Marcin, W.; Justyna, Z.; Robert, K.; Paulina, P.; Radosław, Ż.; Anna, W.; Lucjan, Ś. Study on Manufacturing via Slip Casting and Properties of Alumina-Titanium Composite Enhanced by Thialite Phase. Materials 2022, 16, 79. [Google Scholar]
- Kashkarov, E.; Krinitcyn, M.; Dyussambayev, A.; Pirozhkov, A.; Koptsev, M. Structure and Properties of Porous Ti3AlC2-Doped Al2O3 Composites Obtained by Slip Casting Method for Membrane Application. Materials 2022, 16, 1537. [Google Scholar] [CrossRef]
- Raju, P.; Khanra, A.K.; Suresh, M.B.; Rao, Y.S.; Johnson, R. Pressure slip cast processing of alumina (Al2O3) products and comparative evaluation of mechanical properties. Adv. Appl. Ceram. 2022, 121, 211–221. [Google Scholar] [CrossRef]
- Omatete, O.O.; Janney, M.A.; Nunn, S.D. Gelcasting: From laboratory development toward industrial production. J. Eur. Ceram. Soc. 1997, 17, 407–413. [Google Scholar] [CrossRef]
- Amirkhanyan, N.; Kirakosyan, H.; Zakaryan, M.; Zurnachyan, A.; Rodriguez, M.A.; Abovyan, L.; Aydinyan, S. Sintering of silicon carbide obtained by combustion synthesis. Ceram. Int. 2023, 49, 26129–26134. [Google Scholar] [CrossRef]
- Björkegren, S.M.S.; Nordstierna, L.; Törncrona, A.; Persson, M.E.; Palmqvist, A.E.C. Surface activity and flocculation behavior of polyethylene glycol-functionalized silica nanoparticles. J. Colloid. Interface Sci. 2015, 452, 215–223. [Google Scholar] [CrossRef]
- Yang, J.; Yu, J.; Huang, Y. Recent developments in gelcasting of ceramics. J. Eur. Ceram. Soc. 2011, 31, 2569–2591. [Google Scholar] [CrossRef]
- Liu, Y.; Liu, J.; Yang, T. Surface Modification of SiC Powder with Sodium Humate: Adsorption Kinetics, Equilibrium, and Mechanism. Langmuir 2018, 34, 9645–9653. [Google Scholar] [CrossRef]
- Tian, C.; Huang, X.; Guo, W.; Gao, P.; Xiao, H. Preparation of SiC porous ceramics by a novel gelcasting method assisted with surface modification. Ceram. Int. 2020, 46, 16047–16055. [Google Scholar] [CrossRef]
- Presser, V.; Nickel, K.G. Silica on Silicon Carbide. Crit. Rev. Solid. State Mater. Sci. 2008, 33, 1–99. [Google Scholar] [CrossRef]
- Romero, C.P.; Jeldres, R.I.; Quezada, G.R.; Concha, F.; Toledo, P.G. Zeta potential and viscosity of colloidal silica suspensions: Effect of seawater salts, pH, flocculant, and shear rate. Colloids Surf. A Physicochem. Eng. Asp. 2018, 538, 210–218. [Google Scholar] [CrossRef]
- Zhang, J.; Jiang, D.; Lin, Q. Poly(Vinyl Pyrrolidone), a Dispersant for Non-Aqueous Processing of Silicon Carbide. J. Am. Ceram. Soc. 2005, 88, 1054–1056. [Google Scholar] [CrossRef]
- Shang, X.; Zhu, Y.; Li, Z. Dispersion of silicon carbide in poly alpha olefins-6 and trimethylopropane trioleate. Colloids Surf. A Physicochem. Eng. Asp. 2016, 509, 244–251. [Google Scholar] [CrossRef]
- Liang, H.; Pang, X.; Xu, M.; Xu, T. Dispersion mechanisms of aqueous silicon nitride suspensions at high solid loading. Mater. Sci. Eng. A 2007, 465, 13–21. [Google Scholar]
- Zhang, Y.; Binner, J. In Situ Surface Modification of Silicon Carbide Particles Using Al3+ Complexes and Polyelectrolytes in Aqueous Suspensions. J. Am. Ceram. Soc. 2002, 85, 529–534. [Google Scholar] [CrossRef]
- Li, W.; Chen, P.; Gu, M.; Jin, Y. Effect of TMAH on rheological behavior of SiC aqueous suspension. J. Eur. Ceram. Soc. 2004, 24, 3679–3684. [Google Scholar] [CrossRef]
- Wołowicz, A.; Staszak, K. Study of surface properties of aqueous solutions of sodium dodecyl sulfate in the presence of hydrochloric acid and heavy metal ions. J. Mol. Liq. 2020, 299, 112170. [Google Scholar] [CrossRef]
- Gnyla, J.; Gubernat, A.; Zych, Ł.; Nocuń, M.; Góral, Z.; Lach, R. Influence of TMAH and NaOH on the stability of SiC aqueous suspensions. Ceram. Int. 2020, 46, 11208–11217. [Google Scholar] [CrossRef]
- Li, P.; Wang, Z.; Liu, Y.; Zhao, S.; Wang, J.; Wang, S. A synergistic strategy via the combination of multiple functional groups into membranes towards superior CO2 separation performances. J. Membr. Sci. 2015, 476, 243–255. [Google Scholar] [CrossRef]
- Qiu, L.; Zou, K.; Xu, G. Investigation on the sulfur state and phase transformation of spent and regenerated S zorb sorbents using XPS and XRD. Appl. Surf. Sci. 2013, 266, 230–234. [Google Scholar] [CrossRef]
- Shang, X.; Zhu, Y.; Li, Z. Surface modification of silicon carbide with silane coupling agent and hexadecyl iodiele. Appl. Surf. Sci. 2017, 394, 169–177. [Google Scholar] [CrossRef]
- Xia, M.-M.; Dong, G.-M.; Yang, R.-J.; Li, X.-C.; Chen, Q. Study on fluorescence interaction between humic acid and PAHs based on two-dimensional correlation spectroscopy. J. Mol. Struct. 2020, 1217, 128428. [Google Scholar] [CrossRef]
- Dou, G.; Jiang, Z. Sodium humate as an effective inhibitor of low-temperature coal oxidation. Thermochim. Acta 2019, 673, 53–59. [Google Scholar] [CrossRef]











Disclaimer/Publisher’s Note: The statements, opinions and data contained in all publications are solely those of the individual author(s) and contributor(s) and not of MDPI and/or the editor(s). MDPI and/or the editor(s) disclaim responsibility for any injury to people or property resulting from any ideas, methods, instructions or products referred to in the content. |
© 2024 by the authors. Licensee MDPI, Basel, Switzerland. This article is an open access article distributed under the terms and conditions of the Creative Commons Attribution (CC BY) license (https://creativecommons.org/licenses/by/4.0/).
Share and Cite
Zheng, Z.; Li, M.; Zhang, W.; Zhang, X.; Liu, J.; Yang, T. Influence of Silane Coupling Agent and Anionic Dispersant on the Dispersion Effect of Silicon Carbide Particles. Materials 2024, 17, 425. https://doi.org/10.3390/ma17020425
Zheng Z, Li M, Zhang W, Zhang X, Liu J, Yang T. Influence of Silane Coupling Agent and Anionic Dispersant on the Dispersion Effect of Silicon Carbide Particles. Materials. 2024; 17(2):425. https://doi.org/10.3390/ma17020425
Chicago/Turabian StyleZheng, Zheng, Min Li, Wenxiao Zhang, Xuhui Zhang, Jiaxiang Liu, and Tianyu Yang. 2024. "Influence of Silane Coupling Agent and Anionic Dispersant on the Dispersion Effect of Silicon Carbide Particles" Materials 17, no. 2: 425. https://doi.org/10.3390/ma17020425
APA StyleZheng, Z., Li, M., Zhang, W., Zhang, X., Liu, J., & Yang, T. (2024). Influence of Silane Coupling Agent and Anionic Dispersant on the Dispersion Effect of Silicon Carbide Particles. Materials, 17(2), 425. https://doi.org/10.3390/ma17020425
