Influence of Conductive Filler Types on the Ratio of Reflection and Absorption Properties in Cement-Based EMI Shielding Composites
Abstract
1. Introduction
2. Experimental Procedure
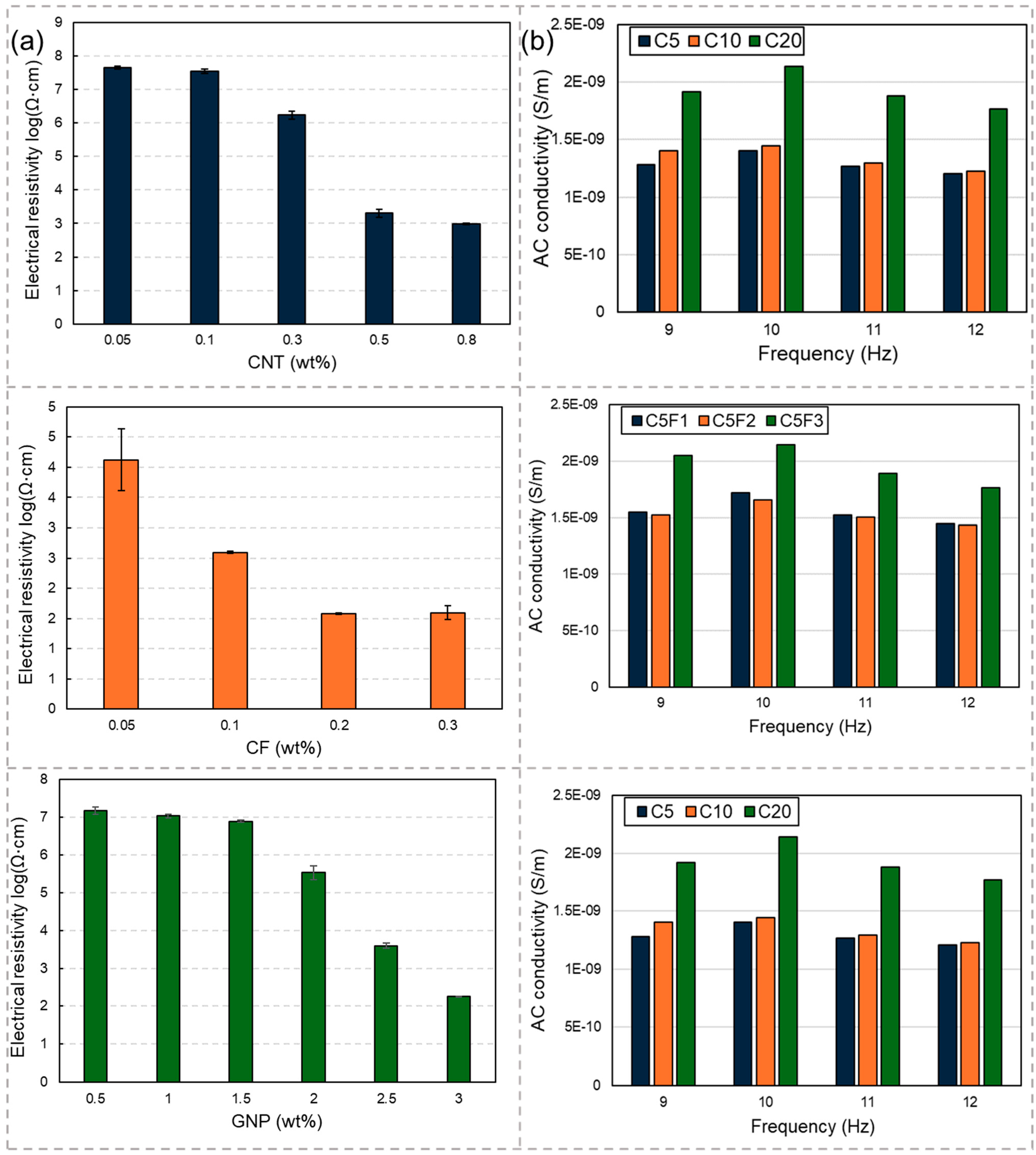
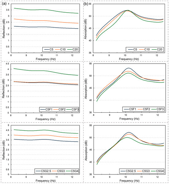
3. Results and Discussion
4. Limitations and Outlook
5. Concluding Remarks
Author Contributions
Funding
Institutional Review Board Statement
Informed Consent Statement
Data Availability Statement
Acknowledgments
Conflicts of Interest
References
- Ma, R.-Y.; Yi, S.-Q.; Li, J.; Zhang, J.-L.; Sun, W.-J.; Jia, L.-C.; Yan, D.-X.; Li, Z.-M. Highly Efficient Electromagnetic Interference Shielding and Superior Mechanical Performance of Carbon Nanotube/Polydimethylsiloxane Composite with Interface-Reinforced Segregated Structure. Compos. Sci. Technol. 2023, 232, 109874. [Google Scholar] [CrossRef]
- Wang, L.; Ma, Z.; Qiu, H.; Zhang, Y.; Yu, Z.; Gu, J. Significantly Enhanced Electromagnetic Interference Shielding Performances of Epoxy Nanocomposites with Long-Range Aligned Lamellar Structures. Nano-Micro Lett. 2022, 14, 224. [Google Scholar] [CrossRef] [PubMed]
- Sedlacik, M.; Mrlik, M.; Babayan, V.; Pavlínek, V. Magnetorheological Elastomers with Efficient Electromagnetic Shielding. Compos. Struct. 2016, 135, 199–204. [Google Scholar] [CrossRef]
- Liu, P.; Ng, V.M.H.; Yao, Z.; Zhou, J.; Lei, Y.; Yang, Z.; Lv, H.; Kong, L.B. Facile Synthesis and Hierarchical Assembly of Flowerlike NiO Structures with Enhanced Dielectric and Microwave Absorption Properties. ACS Appl. Mater. Interfaces 2017, 9, 16404–16416. [Google Scholar] [CrossRef]
- Li, Y.; Liu, Y.; Jin, C.; Mu, J.; Liu, J. Research on Mechanical and Electromagnetic Shielding Properties of Cement Paste with Different Contents of Fly Ash and Slag. NDT E Int. 2023, 133, 102736. [Google Scholar] [CrossRef]
- Ma, C.; Xie, S.; Wu, Z.; Si, T.; Wu, J.; Ji, Z.; Wang, J. Research and Simulation of Three-Layered Lightweight Cement-Based Electromagnetic Wave Absorbing Composite Containing Expanded Polystyrene and Carbon Black. Constr. Build. Mater. 2023, 393, 132047. [Google Scholar] [CrossRef]
- Zhang, X.; Wang, J.; Yang, S.; Feng, H. The Growth of In-Situ CNTs on Slag to Enhance Electromagnetic Interference Shielding Effectiveness of Cement-Based Composite. Constr. Build. Mater. 2024, 411, 134643. [Google Scholar] [CrossRef]
- Zhang, L.; Li, L.; Wang, Y.; Yu, X.; Han, B. Multifunctional Cement-Based Materials Modified with Electrostatic Self-Assembled CNT/TiO2 Composite Filler. Constr. Build. Mater. 2020, 238, 117787. [Google Scholar] [CrossRef]
- Sum, Y.L.; Rheinheimer, V.; Soong, B.H.; Monteiro, P.J.M. Effects of Cement Paste Enhanced with Iron-Based Magnetic Particles on an Embedded Small Resonator Antenna. Sci. Rep. 2017, 7, 15185. [Google Scholar] [CrossRef]
- Nam, I.W.; Lee, H.-K. Synergistic Effect of MWNT/Fly Ash Incorporation on the EMI Shielding/Absorbing Characteristics of Cementitious Materials. Constr. Build. Mater. 2016, 115, 651–661. [Google Scholar] [CrossRef]
- Wang, D.; Ding, S.; Li, L.; Han, B. Electromagnetic Properties of Multi-Layer Graphenes Filled Cementitious Composites. Mater. Res. Express 2019, 6, 045046. [Google Scholar] [CrossRef]
- Micheli, D.; Vricella, A.; Pastore, R.; Delfini, A.; Morles, R.B.; Marchetti, M.; Santoni, F.; Bastianelli, L.; Moglie, F.; Primiani, V.M. Electromagnetic Properties of Carbon Nanotube Reinforced Concrete Composites for Frequency Selective Shielding Structures. Constr. Build. Mater. 2017, 131, 267–277. [Google Scholar] [CrossRef]
- Nam, I.W.; Choi, J.H.; Kim, C.G.; Lee, H.K. Fabrication and Design of Electromagnetic Wave Absorber Composed of Carbon Nanotube-Incorporated Cement Composites. Compos. Struct. 2018, 206, 439–447. [Google Scholar] [CrossRef]
- Yoon, H.N.; Jang, D.; Lee, H.-K.; Nam, I.W. Influence of Carbon Fiber Additions on the Electromagnetic Wave Shielding Characteristics of CNT-Cement Composites. Constr. Build. Mater. 2021, 269, 121238. [Google Scholar] [CrossRef]
- Park, G.; Kim, S.; Park, G.K.; Lee, N. Influence of Carbon Fiber on the Electromagnetic Shielding Effectiveness of High-Performance Fiber-Reinforced Cementitious Composites. J. Build. Eng. 2021, 35, 101982. [Google Scholar] [CrossRef]
- Zhou, H.W.; Mishnaevsky Jr, L.; Yi, H.Y.; Liu, Y.Q.; Hu, X.; Warrier, A.; Dai, G.M. Carbon Fiber/Carbon Nanotube Reinforced Hierarchical Composites: Effect of CNT Distribution on Shearing Strength. Compos. Part B Eng. 2016, 88, 201–211. [Google Scholar] [CrossRef]
- Kim, G.M.; Yang, B.J.; Yoon, H.N.; Lee, H.-K. Synergistic Effects of Carbon Nanotubes and Carbon Fibers on Heat Generation and Electrical Characteristics of Cementitious Composites. Carbon 2018, 134, 283–292. [Google Scholar] [CrossRef]
- Kong, L.; Yin, X.; Xu, H.; Yuan, X.; Wang, T.; Xu, Z.; Huang, J.; Yang, R.; Fan, H. Powerful Absorbing and Lightweight Electromagnetic Shielding CNTs/RGO Composite. Carbon 2019, 145, 61–66. [Google Scholar] [CrossRef]
- Shahapurkar, K.; Gelaw, M.; Tirth, V.; Soudagar, M.E.M.; Shahapurkar, P.; Mujtaba, M.A.; MC, K.; Ahmed, G.M.S. Comprehensive Review on Polymer Composites as Electromagnetic Interference Shielding Materials. Polym. Polym. Compos. 2022, 30, 09673911221102127. [Google Scholar] [CrossRef]
- Wang, Y.-Y.; Sun, W.-J.; Yan, D.-X.; Dai, K.; Li, Z.-M. Ultralight Carbon Nanotube/Graphene/Polyimide Foam with Heterogeneous Interfaces for Efficient Electromagnetic Interference Shielding and Electromagnetic Wave Absorption. Carbon 2021, 176, 118–125. [Google Scholar] [CrossRef]
- Din, I.U.; Naresh, K.; Umer, R.; Khan, K.A.; Drzal, L.T.; Haq, M.; Cantwell, W.J. Processing and Out-of-Plane Properties of Composites with Embedded Graphene Paper for EMI Shielding Applications. Compos. Part A Appl. Sci. Manuf. 2020, 134, 105901. [Google Scholar] [CrossRef]
- Chung, D.D.L. A Review of Microwave Absorption and Reflection by Cement-Based Materials, with Emphasis on Electromagnetic Interference Shielding and Admixture Effects. Adv. Funct. Mater. 2024, 2408220. [Google Scholar] [CrossRef]
- Ozturk, M.; Chung, D.D.L. Enhancing the Electromagnetic Interference Shielding Effectiveness of Carbon-Fiber Reinforced Cement Paste by Coating the Carbon Fiber with Nickel. J. Build. Eng. 2021, 41, 102757. [Google Scholar] [CrossRef]
- Yuan, D.; Guo, H.; Ke, K.; Manas-Zloczower, I. Recyclable Conductive Epoxy Composites with Segregated Filler Network Structure for EMI Shielding and Strain Sensing. Compos. Part A Appl. Sci. Manuf. 2020, 132, 105837. [Google Scholar] [CrossRef]
- La Rosa, A.D.; Grammatikos, S.A.; Ursan, G.A.; Aradoaei, S.; Summerscales, J.; Ciobanu, R.C.; Schreiner, C.M. Recovery of Electronic Wastes as Fillers for Electromagnetic Shielding in Building Components: An LCA Study. J. Clean. Prod. 2021, 280, 124593. [Google Scholar] [CrossRef]
- Hu, Q.; Duan, Y.; Zheng, X.; Nie, W.; Zou, L.; Xu, Z. Lightweight, Flexible, and Highly Conductive Recycled Carbon Fiber Felt for Electromagnetic Interference Shielding. J. Alloys Compd. 2023, 935, 168152. [Google Scholar] [CrossRef]




| Sample Code | OPC * | Sand | SF | CNT | CF | GNP | Water | SP |
|---|---|---|---|---|---|---|---|---|
| C5 | 100 | 150 | 10 | 0.5 | 0 | 0 | 45 | 1 |
| C10 | 1.0 | 2 | ||||||
| C20 | 2.0 | 3 | ||||||
| C5F1 | 0.5 | 0.1 | 0 | 1 | ||||
| C5F2 | 0.2 | 1.5 | ||||||
| C5F3 | 0.3 | 2 | ||||||
| C5G2.5 | 0 | 2.5 | 1 | |||||
| C5G3 | 3.0 | 1 | ||||||
| C5F4 | 4.0 | 1 |
Disclaimer/Publisher’s Note: The statements, opinions and data contained in all publications are solely those of the individual author(s) and contributor(s) and not of MDPI and/or the editor(s). MDPI and/or the editor(s) disclaim responsibility for any injury to people or property resulting from any ideas, methods, instructions or products referred to in the content. |
© 2024 by the authors. Licensee MDPI, Basel, Switzerland. This article is an open access article distributed under the terms and conditions of the Creative Commons Attribution (CC BY) license (https://creativecommons.org/licenses/by/4.0/).
Share and Cite
Jang, D.; Park, J.; Jang, W.; Bang, J.; Kim, G.M.; Choi, J.; Seo, J.; Yang, B. Influence of Conductive Filler Types on the Ratio of Reflection and Absorption Properties in Cement-Based EMI Shielding Composites. Materials 2024, 17, 4913. https://doi.org/10.3390/ma17194913
Jang D, Park J, Jang W, Bang J, Kim GM, Choi J, Seo J, Yang B. Influence of Conductive Filler Types on the Ratio of Reflection and Absorption Properties in Cement-Based EMI Shielding Composites. Materials. 2024; 17(19):4913. https://doi.org/10.3390/ma17194913
Chicago/Turabian StyleJang, Daeik, Jihoon Park, Woosuk Jang, Jinho Bang, G. M. Kim, Jaesuk Choi, Joonho Seo, and Beomjoo Yang. 2024. "Influence of Conductive Filler Types on the Ratio of Reflection and Absorption Properties in Cement-Based EMI Shielding Composites" Materials 17, no. 19: 4913. https://doi.org/10.3390/ma17194913
APA StyleJang, D., Park, J., Jang, W., Bang, J., Kim, G. M., Choi, J., Seo, J., & Yang, B. (2024). Influence of Conductive Filler Types on the Ratio of Reflection and Absorption Properties in Cement-Based EMI Shielding Composites. Materials, 17(19), 4913. https://doi.org/10.3390/ma17194913

