Impact of Acoustic and Optical Phonons on the Anisotropic Heat Conduction in Novel C-Based Superlattices
Abstract
1. Introduction
2. Methodology
2.1. Lattice Dynamics of Bulk XC Materials
2.2. Lattice Dynamics of XC/YC Superlattices
2.3. Thermal Conduction in Superlattices
3. Numerical Computations, Results and Discussions
3.1. General Characteristics of Phonons in Bulk Materials
3.1.1. Lattice Dynamics of Bulk Materials
[A] SiC-GeC
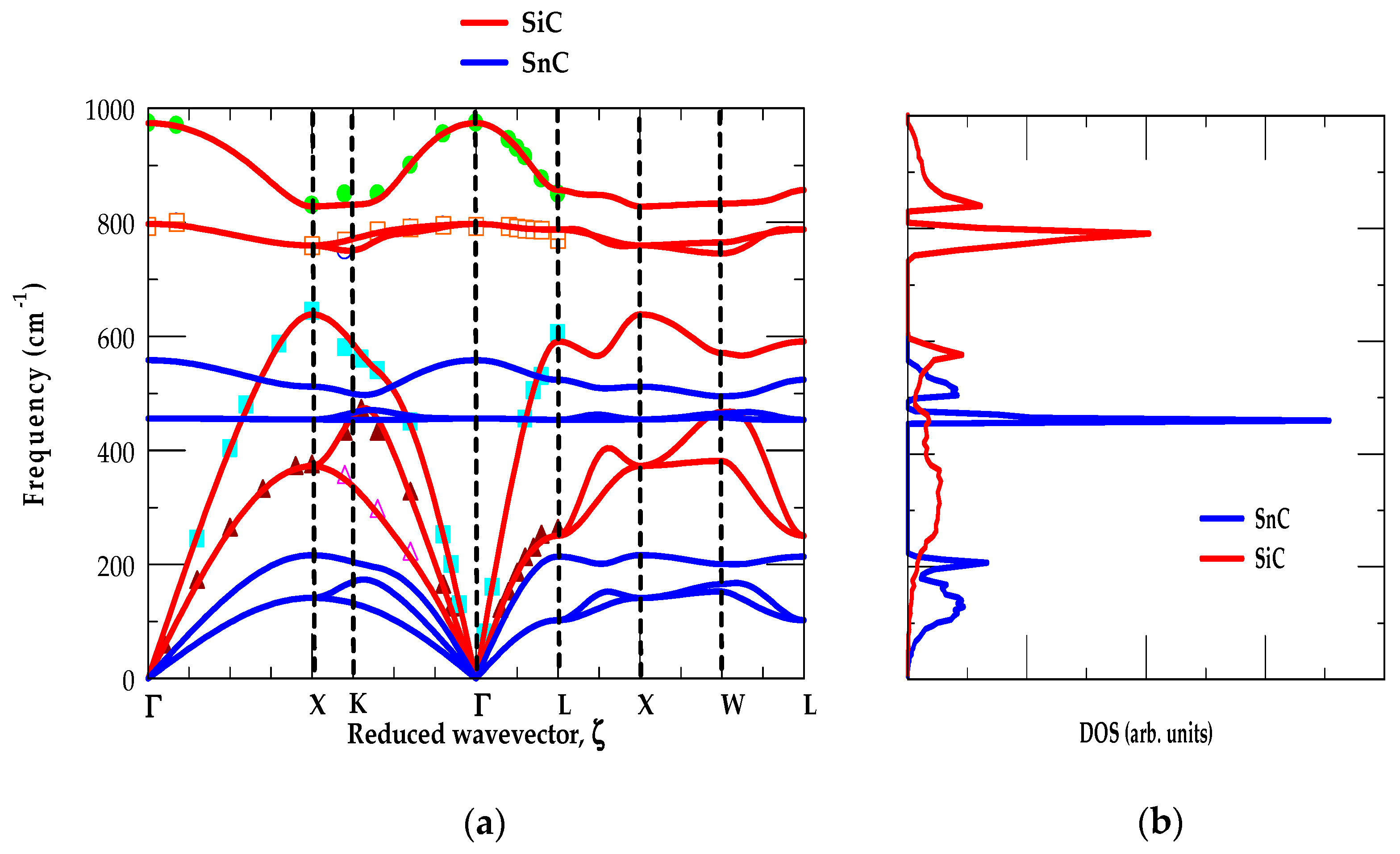
[B] SiC-SnC
[C] GeC-SnC
3.2. Phonon Characteristics in Superlattices
3.2.1. Symmetry and Selection Rules
3.2.2. Phonons in Superlattices
[A] (SiC)n/(GeC)n
[B] (SiC)n/(SnC)n
[C] (GeC)n/(SnC)n
3.2.3. Acoustic Stopbands and Anisotropic Phonon Behavior
[A] (SiC)n/(GeC)n SL Phonons in Γ Z Direction
[B] (SiC)n/(GeC)n SL Phonons in Γ Γ Direction
[C] (SiC)n/(GeC)n SL Phonons in Γ M Direction
4. Conclusions and Future Development Directions
Author Contributions
Funding
Institutional Review Board Statement
Informed Consent Statement
Data Availability Statement
Acknowledgments
Conflicts of Interest
References
- Pelleg, J. Mechanical Properties of Semiconductors Exploring Elemental, Binary, and Ternary Systems; Springer Nature: Dordrecht, The Netherlands, 2024; ISBN 978-3-031-21658-9/978-3-031-21659-6. [Google Scholar] [CrossRef]
- Poon, J.K.S.; Govdeli, A.; Sharma, A.; Mu, X.; Chen, F.D.; Xue, T.; Liu, T. Silicon photonics for the visible and near-infrared spectrum. Adv. Opt. Photon. 2024, 16, 1–59. Available online: https://opg.optica.org/aop/abstract.cfm?URI=aop-16-1-1 (accessed on 1 August 2024). [CrossRef]
- Shekhar, S.; Bogaerts, W.; Chrostowski, L.; Bowers, J.E.; Hochberg, M.; Soref, R.; Shastri, B.J. Road mapping the next generation of silicon photonics. Nat. Commun. 2024, 15, 751. [Google Scholar] [CrossRef] [PubMed]
- Margalit, N.; Xiang, C.; Bowers, S.M.; Bjorlin, A.; Blum, R.; Bowers, J.E. Perspective on the future of silicon photonics and electronics. Appl. Phys. Lett. 2021, 118, 220501. [Google Scholar] [CrossRef]
- Robert, G. Hunsperger. Integrated Optics, Theory and Technology, 6th ed.; Springer: Berlin/Heidelberg, Germany, 2009; ISBN 978-0-387-89774-5. [Google Scholar]
- Klinger, S.; Berroth, M.; Kaschel, M.; Oehme, M.; Kasper, E. Ge-on-Si p-i-n Photodiodes With a 3-dB Bandwith of 49 GHz. IEEE Photonics Technol. Lett. 2009, 21, 920–922. [Google Scholar] [CrossRef]
- Dal Negro, L. Light Emission from Silicon Nanostructures: Past, Present and Future Perspectives. In Optical Society of America, CLEO/QELS2009—Laser and Electro-Optics 2009 and Quantum Electronics and Laser Science Conference; Optica Publishing Group: Washington, DC, USA, 2009; ISBN 978-1-55752-869-8. [Google Scholar]
- Jalali, B. Can silicon change photonics? Phys. Status Solidi (A) 2008, 205, 213–224. [Google Scholar] [CrossRef]
- Paniccia, M.; Rong, H. A Ring Cavity Raman Silicon Laser. In ISLC2006—International Semiconductor Laser Conference; IEEE: New York, NY, USA, 2006. [Google Scholar] [CrossRef]
- Soref, R. The Past, Present, and Future of Silicon Photonics. IEEE J. Sel. Top. Quantum Electron. 2006, 12, 1678–1687. [Google Scholar] [CrossRef]
- Madelung, O. Semiconductors: Data Handbook, 3rd ed.; Springer: Berlin/Heidelberg, Germany, 2004; p. 59. ISBN 3-540-40488-0. [Google Scholar]
- Bauer, M.R.; Tolle, J.; Bungay, C.; Chizmeshya, A.V.; Smith, D.J.; Menéndez, J.; Kouvetakis, J. Tunable band structure in diamond-cubic tin-germanium alloys grown on silicon substrates. Solid State Commun. 2003, 127, 355–359. [Google Scholar] [CrossRef]
- Heng, K.L.; Chua, S.J.; Wu, P. Prediction of Semiconductor Material Properties by the Properties of Their Constituent Chemical Elements. Chem. Mater. 2000, 12, 1648–1653. [Google Scholar] [CrossRef]
- Pukite, P.R.; Harwit, A.; Iyer, S.S. Molecular beam epitaxy of metastable, diamond structure SnxGe1-x alloys. Appl. Phys. Lett. 1989, 54, 2142–2144. [Google Scholar] [CrossRef]
- Yi, A.; Wang, C.; Zhou, L.; Zhu, Y.; Zhang, S.; You, T.; Zhang, J.; Ou, X. Silicon carbide for integrated photonics. Appl. Phys. Rev. 2022, 9, 031302. [Google Scholar] [CrossRef]
- Ou, H.; Shi, X.; Lu, Y.; Kollmuss, M.; Steiner, J.; Tabouret, V.; Syväjärvi, M.; Wellmann, P.; Chaussende, D. Novel Photonic Applications of Silicon Carbide. Materials 2023, 16, 1014. [Google Scholar] [CrossRef] [PubMed]
- Jankousky, M.; Garrity, E.M.; Stevanović, V. Polymorphism of group-IV carbides: Structures, (meta)stability, electronic, and transport properties. Phys. Rev. Mater. 2023, 7, 053606. [Google Scholar] [CrossRef]
- Dey, T.; Arbogast, A.W.; Meng, Q.; Reza, S.; Muhowski, A.J.; Cooper, J.J.P.; Ozdemir, E.; Naab, F.U.; Borrely, T.; Anderson, J.; et al. Influence of H on Sn incorporation in GeSnC alloys grown using molecular beam epitaxy. J. Appl. Phys. 2023, 134, 193102. [Google Scholar] [CrossRef]
- Dey, T.; Reza, S.; Arbogast, A.; Holtz, M.W.; Droopad, R.; Bank, S.R.; Wistey, M.A. Molecular beam epitaxy of highly crystalline GeSnC using CBr4 at low temperatures. Appl. Phys. Lett. 2022, 121, 122104. [Google Scholar] [CrossRef]
- Chen, X.; Yang, X.; Xie, X.; Peng, Y.; Xiao, L.; Shao, C.; Li, H.; Hu, X.; Xu, X. Research progress of large size SiC single crystal materials and devices. Sci. Appl. 2023, 12, 28. [Google Scholar] [CrossRef]
- Wright, N.G.; Horsfall, A.B.; Vassilevski, K. Prospects for SiC electronics and sensors. Mater. Today 2008, 11, 16. [Google Scholar] [CrossRef]
- Zhang, H.; Wang, W.; Bai, H.; Zou, G.; Liu, L.; Peng, P.; Guo, W. Microstructural and mechanical evolution of silver sintering die attach for SiC power devices during high temperature Applications. J. Alloys Compd. 2019, 774, 487–494. [Google Scholar] [CrossRef]
- Falk, A.L.; Buckley, B.B.; Calusine, G.; Koehl, W.F.; Dobrovitski, V.V.; Politi, A.; Zorman, C.A.; Feng, P.X.-L.; Awschalom, D.D. Polytype control of spin qubits in silicon carbide. Nat. Commun. 2013, 4, 1819. [Google Scholar] [CrossRef]
- Pedersen, H.; Leone, S.; Kordina, O.; Henry, A.; Nishizawa, S.-I.; Koshka, Y.; Janzén, E. Chloride-Based CVD Growth of Silicon Carbide for Electronic Applications. Chem. Rev. 2012, 112, 2434–2453. [Google Scholar] [CrossRef]
- Oliveros, A.; Guiseppi-Elie, A.; Saddow, S.E. Silicon carbide: A versatile material for biosensor applications. Biomed Microdevices 2013, 15, 353–368. [Google Scholar] [CrossRef]
- Iveković, A.; Novak, S.; Dražić, G.; Blagoeva, D.; de Vicente, S.G. Current status and prospects of SiCf/SiC for fusion structural applications. J. Eur. Ceram. Soc. 2013, 33, 1577–1589. [Google Scholar] [CrossRef]
- Gupta, A.; Paramanik, D.; Varma, S.; Jacob, C. CVD growth and characterization of 3C–SiC thin films. Bull. Mater. Sci. 2004, 27, 445. [Google Scholar] [CrossRef]
- Yoshimura, S.; Sugimoto, S.; Takeuchi, T.; Murai, K.; Kiuchi, M. Low energy Si+, SiCH5+, or C+ beam injections to silicon substrates during chemical vapor deposition with dimethyl silane. Heliyon 2023, 9, e19002. [Google Scholar] [CrossRef] [PubMed]
- Li, X.; Jacobson, H.; Boulle, A.; Chaussende, D.; Henry, A. Double-Position-Boundaries Free 3C-SiC Epitaxial Layers Grown on On-Axis 4H-SiC. ECS J. Solid State Sci. Technol. 2014, 3, 75. [Google Scholar] [CrossRef][Green Version]
- Xin, B.; Jia, R.X.; Hu, J.C.; Tsai, C.Y.; Lin, H.H.; Zhang, Y.M. A step-by-step experiment of 3C-SiC hetero-epitaxial growth on 4H-SiC by CVD. Appl. Surf. Sci. 2015, 357, 985–993. [Google Scholar] [CrossRef]
- Wu, J.; Qian, S.T.; Huo, T.G.; Zheng, J.X.; Zhang, P.L.; Dai, Y.; Geng, D.S. Effect of PyC Inner Coating on Preparation of 3C-SiC Coating on Quartz Glass by Chemical Vapor Reaction. Front. Mater. 2022, 9, 897900. [Google Scholar] [CrossRef]
- Kawanishi, S.; Daikoku, H.; Shibata, H.; Yoshikawa, T. Suppressing solvent compositional change during solution growth of SiC using SiC/C gradient crucible. J. Cryst. Growth 2021, 576, 126382. [Google Scholar] [CrossRef]
- Sannodo, N.; Osumi, A.; Kaminaga, K.; Maruyama, S.; Matsumoto, Y. Vapor-liquid-solid-like growth of high-quality and uniform 3C-SiC heteroepitaxial films on alpha-Al2O3 0001) substrates. CrystEngComm 2021, 23, 1709–1717. [Google Scholar] [CrossRef]
- Shen, Z.; Chen, J.; Li, B.; Li, G.; Zheng, H.; Men, J.; Hou, X. Tunable fabrication and photoluminescence property of SiC nano wires with different microstructures. Appl. Surf. Sci. 2020, 506, 144979. [Google Scholar] [CrossRef]
- Zheng, H.; Zhu, J.; Zhuxi, F.; Lin, B.; Li, X. Heteroepitaxial growth and characterization of 3C–SiC films on Si substrates using LPVCVD. J. Mater. Sci. Technol. 2005, 21, 536. [Google Scholar]
- Chen, D.; Ming, Z.Y.; Min, Z.Y.; Hu, W.Y.; Xu, J.R. Characterization of the heteroepitaxial growth of 3C–SiC on Si during low pressure chemical vapor deposition. Chin. Sci. Bull. 2010, 55, 3102. [Google Scholar] [CrossRef]
- Hashim, A.M.; Yasui, K. Low temperature heteroepitaxial growth of 3C–SiC on silicon substrates by triode plasma chemical vapor deposition using dimethylsilane. J. Appl. Sci. 2008, 8, 3523. [Google Scholar] [CrossRef]
- Ikoma, Y.; Endo, T.; Watanabe, F.; Motooka, T. Growth of Ultrathin Epitaxial 3C-SiC Films on Si(100) by Pulsed Supersonic Free Jets of CH3SiH3. Jpn. J. Appl. Phys 1999, 38, L301. [Google Scholar] [CrossRef]
- Ohtani, R.; Ikoma, Y.; Motooka, T. Formation of Si/SiC heterostructures for silicon-based quantum devices using single CH3SiH3-gas source free jet. Mat. Res. Soc. Symp. Proc. 2004, 815, J5.11.1. [Google Scholar] [CrossRef]
- Ikoma, Y.; Endo, T.; Watanabe, F. Growth of Si/3C–SiC/Si(100) heterostructures by pulsed supersonic free jets. Appl. Phys. Lett. 1999, 75, 3977. [Google Scholar] [CrossRef]
- Okinaka, M.; Hamana, Y.; Tokuda, T.; Ohta, J.; Nunoshita, M. MBE growth mode and C incorporation of GeC epilayers on Si(0 0 1) substrates using an arc plasma gun as a novel C source. J. Cryst. Growth 2003, 249, 78–86. [Google Scholar] [CrossRef]
- Roper, C.S.; Radmilovic, V.; Howe, R.T.; Maboudian, R. Characterization of polycrystalline 3C–SiC films deposited from the precursors 1,3-disilabutane and dichlorosilane. J. Appl. Phys. 2008, 103, 084907. [Google Scholar] [CrossRef]
- Ziegler, G.; Lanig, P.; Theis, D.; Weyrich, C. Single Crystal Growth of SiC Substrate Material for Blue Light Emitting Diodes. IEEE Trans. Electron Devices 1983, 30, 277–281. [Google Scholar] [CrossRef]
- Ishikawa, T.; Kohtoku, Y.; Kumagawa, K.; Yamamura, T.; Nagasawa, T. High-strength alkali-resistant sintered SiC fibre stable to 2200 °C. Nature 1998, 391, 773–775. [Google Scholar] [CrossRef]
- Feldman, D.W.; Parker, J.J.H.; Choyke, W.J.; Patrick, L. Phonon Dispersion Curves by Raman Scattering in SiC, Polytypes 3C, 4H, 6H, 15R, and 21R. Phys. Rev. 1968, 173, 787. [Google Scholar] [CrossRef]
- Serrano, J.; Strempfer, J.; Cardona, M.; Schwoerer-Böhning, M.; Requardt, H.; Lorenzen, M.; Stojetz, B.; Pavone, P.; Choyke, W.J. Determination of the phonon dispersion of zinc blende (3C) silicon carbide by inelastic x-ray scattering. Appl. Phys. Lett. 2002, 80, 4360–4362. [Google Scholar] [CrossRef]
- Yoshida, M.; Onodera, A.; Ueno, M.; Takemura, K.; Shimomura, O. Pressure-induced phase transition in SiC. Phys. Rev. B 1993, 48, 10587. [Google Scholar] [CrossRef] [PubMed]
- Nillsen, G.; Nelin, G. Phonon Dispersion Relations in Ge at 80 K. Phys. Rev. B 1971, 3, 364. [Google Scholar] [CrossRef]
- Price, D.L.; Rowe, J.M.; Nicklow, R.M. Lattice dynamics of grey tin and indium antimonide. Phys. Rev. B 1971, 3, 1268. [Google Scholar] [CrossRef]
- Devki, N. Talwar, Computational phonon dispersions structural and thermo-dynamical characteristics of novel C-based XC (X = Si, Ge and Sn) materials. Next Mater. 2024, 4, 100198. [Google Scholar]
- Devki, N. Talwar, Composition dependent phonon and thermo-dynamical characteristics of C-based XxY1-xC (X, Y≡Si, Ge, Sn) alloys. Inorg. Inorg. 2024, 12, 100. [Google Scholar] [CrossRef]
- Talwar, D.N.; Semone, S.; Becla, P. Strain dependent effects on confinement of folded acoustic and optical phonons in short-period (XC)m/(YC)n with X,Y (≡Si, Ge, Sn) superlattices. Materials 2024, 17, 3082. [Google Scholar] [CrossRef]
- Zhang, X.; Quan, S.; Ying, C.; Li, Z. Theoretical investigations on the structural, lattice dynamical and thermodynamical properties of XC (X = Si, Ge and Sn). Sol. State. Commun. 2011, 151, 1545. [Google Scholar] [CrossRef]
- Hao, A.; Yang, X.C.; Wang, X.M.; Zhu, Y.; Liu, X.; Liu, R.P. First-principles investigations on electronic, elastic and optical properties of XC (X = Si, Ge, and Sn) under high pressure. J. Appl. Phys. 2010, 108, 063531. [Google Scholar] [CrossRef]
- Pandey, R.; Rérat, M.; Darrigan, C.; Causà, M. A theoretical study of stability, electronic, and optical properties of GeC and SnC. J. Appl. Phys. 2000, 88, 6462. [Google Scholar] [CrossRef]
- Sahnoun, M.; Khenata, R.; Baltache, H.; Rérat, M.; Driz, M.; Bouhafs, B.; Abbar, B. First-principles calculations of optical properties of GeC, SnC and GeSn under hydrostatic pressure. Phys. B 2005, 355, 392. [Google Scholar] [CrossRef]
- Sekkal, W.; Zaoui, A. Predictive study of thermodynamic properties of GeC. New J. Phys. 2002, 4, 9. [Google Scholar] [CrossRef]
- Varshney, D.; Shriya, S.; Varshney, M.; Singh, N.; Khenata, R. Elastic and thermo-dynamical properties of cubic (3C) silicon carbide under high pressure and high temperature. J. Theor. Appl. Phys. 2015, 9, 221–249. [Google Scholar] [CrossRef]
- Karch, K.; Bechstedt, F.; Pavone, P.; Strauch, D. Pressure-dependent dynamical and dielectric properties of cubic SiC. J. Phys. Condens. Matter 1996, 8, 2945. [Google Scholar] [CrossRef]
- Wang, C.Z.; Yu, R.C.; Krakauer, H. Pressure dependence of Born effective charges, dielectric constant, and lattice dynamics in SiC. Phys. Rev. B 1996, 53, 5430. [Google Scholar] [CrossRef] [PubMed]
- Talwar, D.N.; Feng, Z.C.; Liu, C.W.; Tin, C.-C. Influence of surface roughness and interfacial layer on the infrared spectra of V-CVD grown 3C-SiC/Si (1 0 0) epilayers. Semicond. Sci. Technol. 2012, 27, 115019. [Google Scholar] [CrossRef]
- Balandin, A.A. Nanophononics: Phonon Engineering in Nanostructures and Nanodevices. J. Nanosci. Nantechnol. 2005, 5, 1015–1022. [Google Scholar] [CrossRef]
- Kunc, K. Dynamique de réseau de composés ANB8-N présentant la structure de la blende. Ann. Phys. 1973, 8, 319. [Google Scholar] [CrossRef]
- Klein, M.V.; Gant, T.A.; Levi, D.; Zhang, S.-L. Raman Studies of Phonons in GaAs/AlGaAs Superlattices. Laser Opt. Condens. Matter 1988, 119–126. [Google Scholar]
- Gaisler, V.A.; Govorov, A.; Kurochkina, T.V.; Moshegov, N.T.; Stenin, S.I.; Toropov, A.I.; Shebanin, A.P. Phonon spectrum of GaAs-lnAs superlattices. Sov. J. Exp. Theor. Phys. 1990, 98, 1081–1092. [Google Scholar]
- Rytov, S.M. Electromagnetic properties of laminated medium. Zh. Eksp. Teor. Fiz. 1955, 29, 605–616. [Google Scholar]
- Pokatilov, E.P.; Beril, S.I. Electron–Phonon Interaction in Periodic Two-Layer Structure. Phys. Status Solidi b 1983, 118, 567–573. [Google Scholar] [CrossRef]
- Camley, R.E.; Mills, D.L. Collective excitations of semi-infinite superlattice structures: Surface plasmons, bulk plasmons, and the electron-energy-loss spectrum. Phys. Rev. B 1984, 29, 1695. [Google Scholar] [CrossRef]
- Nakayama, M.; Ishida, M.; Sano, N. Raman scattering by interface-phonon polaritons in a GaAs/AlAs heterostructure. Phys. Rev. B 1988, 38, 6348. [Google Scholar] [CrossRef]
- Wang, E.G.; Zhang, L.Y.; Wang, H.Y. The nature of the Si impurity in ultrathin AlAs/GaAs superlattices. Phys. Condens. Matt. 1989, 1, 8065. [Google Scholar] [CrossRef]
- Richter, E.; Strauch, D. Lattice dynamics of GaAs/AlAs superlattices. Solid State Commun 1987, 64, 867–870. [Google Scholar] [CrossRef]
- Borisenko, S.I. The Effect of Acoustic Phonon Confinement on Electron Scattering in GaAs/AlxGa1—xAs Superlattices. Semiconductors 2004, 38, 824. [Google Scholar] [CrossRef]
- Ward, A.; Broido, D.A. Intrinsic lattice thermal conductivity of Si/Ge and GaAs/AlAs superlattices. Phys. Rev. 2008, 77, 245328. [Google Scholar] [CrossRef]
- Ren, S.F.; Chu, H.; Chang, Y.C. Anisotropy of optical phonons and interface modes in GaAs-AlAs superlattices. Phys. Rev. B 1988, 37, 8899. [Google Scholar] [CrossRef]
- Berdekas, D.; Ves, S. Lattice dynamics and Raman scattering by phonons of GaAs/AlAs(001) superlattices. J. Phys. Condens. Matter 2009, 21, 275405. [Google Scholar] [CrossRef]
- Bezerra, E.F.; Filho, A.G.S.; Freire, V.N.; Filho, J.M.; Lemos, V. Strong interface localization of phonons in non-abrupt InN/GaN superlattices. Phys. Rev. B 2001, 64, 201306. [Google Scholar] [CrossRef]
- Hurley, D.C.; Tamura, S.; Wolfe, J.P.; Morkoç, H. Imaging of acoustic phonon stop bands in superlattices. Phys. Rev. Lett. 1987, 58, 2446. [Google Scholar] [CrossRef] [PubMed]
- Tamura, S.; Wolfe, J.P. Coupled-mode stop bands of acoustic phonons in semiconductor superlattices. Phys. Rev. B 1987, 35, 2528. [Google Scholar] [CrossRef] [PubMed]
- Born, M.; Huang, K. Dynamical Theory of Crystal Lattices; Oxford University Press: Oxford, UK, 1956. [Google Scholar]
- Maradudin, A.A.; Montroll, E.W.; Weiss, G.H.; Ipatova, I.P. Theory of Lattice Dynamics in the Harmonic Approximation, 2nd ed.; Suppl. 3 of Solid-State, Physics; Seitz, F., Turnbull, D., Ehrenreich, H., Eds.; Academic Press: New York, NY, USA, 1971. [Google Scholar]
- Venkataraman, G.; Feldkamp, L.A.; Sahni, V.C. Dynamics of Perfect Crystals; MIT Press: Cambridge, MA, USA, 1975. [Google Scholar]
- Yang, B.; Chen, G. Lattice dynamics study of anisotropic heat conduction in superlattices. Microscale Thermophys. Eng. 2001, 5, 107–116. [Google Scholar]
- Filatova-Zalewska, A.; Litwicki, Z.; Moszak, K.; Olszewski, W.; Opołczyńska, K.; Pucicki, D.; Serafińczuk, J.; Hommel, D.; Jeżowski, A. Anisotropic thermal conductivity of AlGaN/GaN superlattices. Nanotechnology 2021, 32, 075707. [Google Scholar] [CrossRef]
- Adnan, S.; Jin, M.; Bryan, M.S.; Manley, M.E.; Hurley, D.H.; Khafizov, M. Implications of phonon anisotropy on thermal conductivity of fluorite oxides. J. Phys. Condens. Matter 2023, 35, 335702. [Google Scholar] [CrossRef]
- Zhu, J.; Feng, T.; Mills, S.; Wang, P.; Wu, X.; Zhang, L.; Pantelides, S.T.; Du, X.; Wang, X. Record-low and anisotropic thermal conductivity of a quasi-one-dimensional bulk ZrTe5 single crystal. ACS Appl. Mater. Interfaces 2018, 10, 40740–40747. [Google Scholar] [CrossRef]
- Xu, X.; Chen, J.; Zhou, J.; Li, B. Thermal conductivity of polymers and their nanocomposites. Adv. Mater. 2018, 30, 1705544. [Google Scholar] [CrossRef] [PubMed]
- Yang, L.; Tao, Y.; Zhu, Y.; Akter, M.; Wang, K.; Pan, Z.; Zhao, Y.; Zhang, Q.; Xu, Y.Q.; Chen, R.; et al. Observation of super diffusive phonon transport in aligned atomic chains. Nat. Nanotechnol. 2021, 16, 764–768. [Google Scholar] [CrossRef]
- Xie, G.; Ding, D.; Zhang, G. Phonon coherence and its effect on thermal conductivity of nanostructures. Adv. Phys. X 2018, 3, 1480417. [Google Scholar] [CrossRef]
- Garg, J.; Chen, G. Minimum thermal conductivity in superlattices: A first-principles formalism. Phys. Rev. B 2013, 87, 140302(R). [Google Scholar] [CrossRef]
- Wang, Y.; Lu, Z.; Ruan, X. First-principles calculation of lattice thermal conductivity of metals considering phonon-phonon and phonon-electron scattering. J. Appl. Phys. 2016, 119, 225109. [Google Scholar] [CrossRef]
- Wingert, M.C.; Kwon, S.; Hu, M.; Poulikakos, D.; Xiang, J.; Chen, R. Sub-amorphous thermal conductivity in ultrathin crystalline silicon nanotubes. Nano Lett. 2015, 15, 2605–2611. [Google Scholar] [CrossRef] [PubMed]
- Zhou, J.; Shin, H.D.; Chen, K.; Song, B.; Duncan, R.A.; Xu, Q.; Maznev, A.A.; Nelson, K.A.; Chen, G. Direct observation of large electron–phonon interaction effect on phonon heat transport. Nat. Commun. 2020, 11, 6040. [Google Scholar] [CrossRef] [PubMed]
- Capinski, W.S.; Maris, H.J.; Ruf, T.; Cardona, M.; Ploog, K.; Katzer, D.S. Thermal-conductivity measurements of GaAs/AlAs superlattices using a picosecond optical pump-and-probe technique. Phys. Rev. B 1999, 59, 8105. [Google Scholar] [CrossRef]
- Hyldgaard, P.; Mahan, G.D. Phonon Superlattice Transport. Phys. Rev. B 1997, 56, 10754–10757. [Google Scholar] [CrossRef]
- Chen, G.; Volz, S.G.; Borca-Tasciuc, T.; Zeng, T.; Song, D.; Wang, K.L.; Dresselhaus, M.S. Thermal Conductivity and Phonon Engineering in Low Dimensional Structures. Mater. Res. Soc. Symp. Proc. 1998, 545, 357–368. [Google Scholar] [CrossRef]
- Chen, G. Micro- and Nano-scale Thermal Phenomena in Photonic Devices. Annu. Rev. Heat Transfer 1996, 7, 1–57. [Google Scholar] [CrossRef]
- Tamura, S.; Tanaka, Y.; Maris, H.J. Phonon Group Velocity and Thermal Conduction in Superlattices. Phys. Rev. B 1999, 60, 2627–2630. [Google Scholar] [CrossRef]
- Joulain, K.; Drevillon, J.; Ezzahri, Y.; Ordonez-Miranda, J. Quantum Thermal Transistor. Phys. Rev. Lett. 2016, 116, 200601. [Google Scholar] [CrossRef]
- Ishibe, T.; Kaneko, T.; Uematsu, Y.; Sato-Akaba, H.; Komura, M.; Iyoda, T.; Nakamura, Y. Tunable Thermal Switch via Order−Order Transition in Liquid Crystalline Block Copolymer. Nano Lett. 2022, 22, 6105–6111. [Google Scholar] [CrossRef] [PubMed]
- Ruf, T. Phonon Raman Scattering in Semiconductors, Quantum Wells and Superlattices; Springer: Berlin, Germany, 1998. [Google Scholar]
- Jusserand, B.; Cardona, M. Light Scattering in Solids V (Topics in Applied Physics); Cardona, M., Guntherondt, G., Eds.; Springer: Berlin, Germany, 1989; Volume 66. [Google Scholar]
- Hurley, D.H.; El-Azab, A.; Bryan, M.S.; Cooper, M.W.; Dennett, C.A.; Gofryk, K.; He, L.; Khafizov, M.; Lander, G.H.; Manley, M.E.; et al. Thermal Energy Transport in Oxide Nuclear Fuel. Chem. Rev. 2022, 122, 3711–3762. [Google Scholar] [CrossRef] [PubMed]
- Fitzgerald, M.L.; Zhao, Y.; Pan, Z.; Yang, L.; Lin, S.; Sauti, G.; Li, D. Contact Thermal Resistance between Silver Nanowires with Poly (vinylpyrrolidone) Interlayers. Nano Lett. 2021, 21, 4388–4393. [Google Scholar] [CrossRef] [PubMed]
- Zhao, Y.; Fitzgerald, M.L.; Tao, Y.; Pan, Z.; Sauti, G.; Xu, D.; Xu, Y.Q.; Li, D. Electrical and thermal transport through silver nanowires and their contacts: Effects of elastic stiffening. Nano Lett. 2020, 20, 7389–7396. [Google Scholar] [CrossRef]










| Material | |||||||||||
|---|---|---|---|---|---|---|---|---|---|---|---|
| 3C-SiC a) | 974 | 797 | 828 | 760 | 639 | 373 | 857 | 787 | 591 | 250 | 177 |
| Others | 974 b) | 793 b) | 830 b) | 759 b) | 644 b) | 373 b) | 850 b) | 770 b) | 605 b) | 260 b) | 181 b) |
| 972 c) | 796 c) | 829 c) | 761 c) | 640 c) | 373 c) | 838 c) | 766 c) | 610 c) | 266 c) | 176 c) | |
| 953 d) | 783 d) | 811 d) | 749 d) | 623 d) | 364 d) | 832 d) | 755 d) | 608 d) | 260 d) | 170 d) | |
| 945 e) | 774 e) | 807 e) | 741 e) | 622 e) | 361 e) | 817 e) | 747 e) | 601 e) | 257 e) | 171 e) | |
| 956 f) | 783 f) | 829 f) | 755 f) | 629 f) | 366 f) | 838 f) | 766 f) | 610 f) | 261 f) | 173 f) | |
| GeC a) | 749 | 626 | 697 | 617 | 348 | 211 | 705 | 621 | 326 | 166 | 123 |
| Others | 748 f) | 626 f) | 697 f) | 617 f) | 348 f) | 214 f) | 705 f) | 612 f) | 331 f) | 162 f) | 122 f) |
| SnC a) | 558 | 456 | 512 | 454 | 216 | 141 | 524 | 454 | 214 | 102 | 102 |
| Others | 558 f) | 456 f) | 503 f) | 450 f) | 216 f) | 134 f) | 516 f) | 440 f) | 199 f) | 109 f) | 102 f) |
Disclaimer/Publisher’s Note: The statements, opinions and data contained in all publications are solely those of the individual author(s) and contributor(s) and not of MDPI and/or the editor(s). MDPI and/or the editor(s) disclaim responsibility for any injury to people or property resulting from any ideas, methods, instructions or products referred to in the content. |
© 2024 by the authors. Licensee MDPI, Basel, Switzerland. This article is an open access article distributed under the terms and conditions of the Creative Commons Attribution (CC BY) license (https://creativecommons.org/licenses/by/4.0/).
Share and Cite
Talwar, D.N.; Becla, P. Impact of Acoustic and Optical Phonons on the Anisotropic Heat Conduction in Novel C-Based Superlattices. Materials 2024, 17, 4894. https://doi.org/10.3390/ma17194894
Talwar DN, Becla P. Impact of Acoustic and Optical Phonons on the Anisotropic Heat Conduction in Novel C-Based Superlattices. Materials. 2024; 17(19):4894. https://doi.org/10.3390/ma17194894
Chicago/Turabian StyleTalwar, Devki N., and Piotr Becla. 2024. "Impact of Acoustic and Optical Phonons on the Anisotropic Heat Conduction in Novel C-Based Superlattices" Materials 17, no. 19: 4894. https://doi.org/10.3390/ma17194894
APA StyleTalwar, D. N., & Becla, P. (2024). Impact of Acoustic and Optical Phonons on the Anisotropic Heat Conduction in Novel C-Based Superlattices. Materials, 17(19), 4894. https://doi.org/10.3390/ma17194894
