Optimization and Experimental Study of Iron Ore Grinding Medium Parameters Using EDEM Discrete Element Software
Abstract
1. Introduction
2. EDEM Model and Simulation Conditions
2.1. Model Description
- where ; Y and denote Young’s modulus and Poisson’s ratio, respectively; denotes the overlap between particles i and j; and nij is the unit vector from the center of particle j to the center of particle i.
- where ; γn is the normal damping constant; and and are the total tangential displacement and the maximum tangential displacement of the particles during contact, respectively.
2.2. Simulation Conditions
3. Results and Discussion
3.1. Effects of Grinding Medium Density on the Ball Motion Pattern and Flow Pattern
3.2. Effects of Grinding Medium Density on Energy Distribution
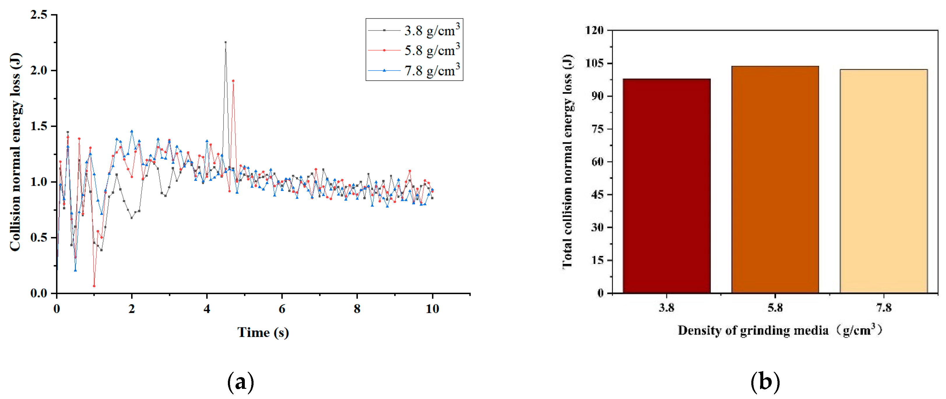
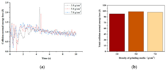
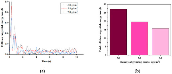
3.2.1. Effects of Grinding Medium Density on Collision Energy
3.2.2. Effects of Grinding Medium Density on Particle Energy
3.3. Influence of the Grinding Effectiveness
3.4. Influence of Grinding Medium Density on Torque, Power, and Energy Consumption
3.5. Validation of Experimental Results
4. Conclusions
- According to the EDEM simulations of the iron ore grinding process with particles smaller than 2.5 mm, the grinding efficiencies under grinding medium densities of 7.8 g/cm3 and 5.8 g/cm3 were comparable. However, the grinding medium density of 5.8 g/cm3 was more suitable, as it could theoretically result in considerable energy savings.
- According to the comprehensive crushing kinetics analysis facilitated by DEM, we further evaluated the energy savings potential under grinding medium densities of 7.8 g/cm3, 3.8 g/cm3, and 5.8 g/cm3 in ball mills. Our findings indicated the following: (i) The use of the grinding medium density of 3.8 g/cm3 reduced energy consumption by approximately 20.7% compared with the use of the grinding medium density of 7.8 g/cm3. However, the grinding efficiency under the density of 3.8 g/cm3 was considerably lower than that under the density of 7.8 g/cm3. (ii) The use of the grinding medium density of 5.8 g/cm3 resulted in ~4.6% lower energy consumption compared with the use of the grinding medium density of 7.8 g/cm3. The grinding efficiency of iron ore under the grinding medium density of 5.8 g/cm3 was comparable to that under the density of 7.8 g/cm3. Moreover, the grinding efficiency under the grinding medium density of 5.8 g/cm3 surpassed that under the grinding medium density of 7.8 g/cm3 when the particle size was decreased.
- The simulation accuracy was validated using operational data from a laboratory-scale mill. The findings of this study provide practical guidance for industrial production to reduce energy consumption and enhance energy utilization efficiency. However, the effects of large ball mills used in actual production and the grinding performance with materials other than iron ore remain unknown. Future studies should verify these results in larger ball mills and explore various materials to determine the optimal grinding density for different types of material.
Author Contributions
Funding
Institutional Review Board Statement
Informed Consent Statement
Data Availability Statement
Acknowledgments
Conflicts of Interest
References
- Fuerstenau, D.W.; Abouzeid, A.Z.M. The energy efficiency of ball milling in comminution. Int. J. Miner. Process. 2002, 67, 161–185. [Google Scholar] [CrossRef]
- Wills, B.A. Mineral Processing Technology, 5th ed.; Pergamon: Oxford, UK, 1992. [Google Scholar]
- Austin, L.G.; Shoji, K.; Luckie, P.T. The effect of ball size on mill performance. Powder Technol. 1976, 14, 71–79. [Google Scholar] [CrossRef]
- Umucu, Y.; Altinigne, M.Y.; Deniz, V. The effects of ball types on breakage parameters of barite. Inz. Miner. 2014, 15, 113–117. [Google Scholar]
- Umucu, Y.; Deniz, V. The effect of ball type in fine particles grinding on kinetic breakage parameters. Inz. Miner. 2015, 16, 197–203. [Google Scholar]
- Fernandez, C.; Hui, Z. Benefits of ceramic grinding. Int. Cem. Rev. 2017, 10, 56–57. [Google Scholar]
- Brochot, S.; Wiegel, R.L.; Ersayin, S.; Touze, S. Modeling and simulation of comminution circuits with USIM PAC. In Advances in Comminution; Kawatra, S.K., Ed.; Society for Mining, Metallurgy, and Exploration Inc.: Englewood, CA, USA, 2006; pp. 495–511. [Google Scholar]
- Mishra, B.K.; Rajamani, R.K. The discrete element method for the simulation of ball mills. Appl. Math. Model. 1992, 16, 171–186. [Google Scholar] [CrossRef]
- Makokha, A.B.; Moys, M.H. Towards optimising ball milling capacity: Effect of lifter design. Miner. Eng. 2006, 19, 1439–1445. [Google Scholar] [CrossRef]
- Powell, M.S.; Weerasekara, N.S.; Cole, S. DEM modeling of liner evolution and its influence on grinding rate in ball mills. Miner. Eng. 2011, 12, 66–80. [Google Scholar]
- Muanpaopong, N.; Dave, R.; Bilgili, E. A comparative analysis of steel and alumina balls in fine milling of cement clinker via PBM and DEM. Powder Technol. Int. J. Sci. Technol. Wet Dry Part. Syst. 2023, 421, 118454. [Google Scholar] [CrossRef]
- Song, G.; Huang, F.; Pan, J. Feasibility Analysis of Calcium Carbonate Particle Trajectory Simulation in a Dual Horizontal Shaft Mixer. Materials 2023, 16, 5999. [Google Scholar] [CrossRef]
- DEM Solut Ltd. EDEM 2022 Software Manual; Altair Engineering Inc.: Troy, MI, USA, 2022. [Google Scholar]
- Zheng, Q.J.; Zhou, Z.Y.; Yu, A.B. Contact forces between viscoelastic ellipsoidal particles. Powder Technol. 2013, 248, 25–33. [Google Scholar] [CrossRef]
- Abbaszadeh Shahri, A.; Shan, C.; Larsson, S.; Johansson, F. Normalizing Large Scale Sensor-Based MWD Data: An Automated Method toward A Unified Database. Sensors 2024, 24, 1209. [Google Scholar] [CrossRef] [PubMed]
- Stoimenov, N.; Ruzic, J. Analysis of the particle motion during mechanical alloying using EDEM software. IFAC-PapersOnLine 2019, 52, 462–466. [Google Scholar] [CrossRef]
- Kim, K.C.; Jiang, T.; Xu, Y.; Kim, N.I.; Jin, H.S.; Kim, J.C. Application of discrete element simulation in mechanical activation of boron concentrate. Powder Technol. 2021, 382, 441–453. [Google Scholar] [CrossRef]
- Khasenova, R.; Komarov, S.; Ishihara, S.; Kano, J.; Zadorozhnyy, V.Y. Discrete element method simulations of mechanical plating of composite coatings on aluminum substrates. Surf. Coat. Technol. 2018, 349, 949–958. [Google Scholar] [CrossRef]
- Wang, M.H.; Yang, R.Y.; Yu, A.B. DEM investigation of energy distribution and particle breakage in tumbling ball mills. Powder Technol. 2012, 223, 83–91. [Google Scholar] [CrossRef]
- Jayasundara, C.T.; Zhu, H.P. Impact energy of particles in ball mills based on DEM simulations and data-driven approach. Powder Technol. 2022, 395, 226–234. [Google Scholar] [CrossRef]
- Iwasaki, T.; Yabuuchi, T.; Nakagawa, H.; Watano, S. Scale-up methodology for tumbling ball mill based in impact energy of grinding balls using discrete element analysis. Adv. Powder Technol. 2010, 21, 623–629. [Google Scholar] [CrossRef]
- Weerasekara, N.S.; Liu, L.X.; Powell, M.S. Estimating energy in grinding using DEM modelling. Miner. Eng. 2016, 85, 23–33. [Google Scholar] [CrossRef]
- Muanpaopong, N.; Dav’e, R.; Bilgili, E. Impact of ball size distribution, compartment configuration, and classifying liner on cement particle size in a continuous ball mill. Miner. Eng. 2022, 189, 107912. [Google Scholar] [CrossRef]
- Bian, X.; Wang, G.; Wang, H.; Wang, S.; Lv, W. Effect of lifters and mill speed on particle behaviour, torque, and power consumption of a tumbling ball mill: Experimental study and DEM simulation. Miner. Eng. 2017, 105, 22–35. [Google Scholar] [CrossRef]
- AmanNejad, M.; Barani, K. Effects of ball size distribution and mill speed and their interactions on ball milling using DEM. Miner. Process. Extr. Metall. Rev. 2021, 42, 374–379. [Google Scholar] [CrossRef]
- Nomura, S. A scale-up and design basis of continuous tube mills in cement industries. Powder Technol. 2020, 363, 717–734. [Google Scholar] [CrossRef]
- JTG 3432-2024; Test Method of Aggregate for Highway Engineering. China Communications Press: Beijing, China, 2024.
- GB/T 8074-2008; Testing Method for Specific Surface Area of Cement—Blaine Method. China Standard Press: Beijing, China, 2008.

















| Parameter | Base Value (Varying Values) |
|---|---|
| Mill length, L (mm) | 350 |
| Mill diameter, D (mm) | 350 |
| Rotation speed, Ω (rpm) | 75 |
| Ball density, ρb (kg/m3) | 7800 (6000, 3800) |
| Particle density, ρp (kg/m3) | 4372 |
| Ball size, db (mm) | 20, 25, 30, 40 |
| Particle size, d (mm) | <2.5 |
| Ball Young’s modulus, Yb (GPa) | 200 (150, 341) |
| Particle Young’s modulus, Yp (GPa) | 2.5 |
| Ball Poisson’s ratio, σ | 0.22 (0.2, 0.3) |
| Particle Poisson’s ratio, σ | 0.25 |
| Ball-to-ball collision recovery coefficient | 0.9 (0.8, 0.5) |
| Ball-to-particle collision recovery coefficient | 0.7 (0.6, 0.5) |
| Cylinder wall-to-ball collision recovery coefficient | 0.7 (0.5, 0.3) |
| Cylinder wall-to-particle collision recovery coefficient | 0.7 (0.6, 0.5) |
| Particle-to-particle collision recovery coefficient | 0.5 |
| Ball-to-ball static friction coefficient | 0.4 (0.6, 0.8) |
| Ball-to-particle static friction coefficient | 0.5 (0.4, 0.3) |
| Cylinder wall-to-ball static friction coefficient | 0.6 (0.5, 0.4) |
| Cylinder wall-to-particle Static friction coefficient | 0.7 (0.6, 0.5) |
| Particle-to-particle static friction coefficient | 0.2 |
| Ball-to-ball rolling friction coefficient | 0.06 (0.08, 0.04) |
| Ball-to-particle rolling friction coefficient | 0.07 (0.06, 0.05) |
| Cylinder wall-to-ball rolling friction coefficient | 0.06 (0.05, 0.04) |
| Cylinder wall-to-particle rolling friction coefficient | 0.04 (0.03, 0.02) |
| Particle-to-particle rolling friction coefficient | 0.05 |
| Normal stiffness, N/m2 | 100,000,000 |
| Tangential stiffness, N/m2 | 500,000,000 |
| Critical normal stress, Pa | 500,000 |
| Critical tangential stress, Pa | 250,000 |
Disclaimer/Publisher’s Note: The statements, opinions and data contained in all publications are solely those of the individual author(s) and contributor(s) and not of MDPI and/or the editor(s). MDPI and/or the editor(s) disclaim responsibility for any injury to people or property resulting from any ideas, methods, instructions or products referred to in the content. |
© 2024 by the authors. Licensee MDPI, Basel, Switzerland. This article is an open access article distributed under the terms and conditions of the Creative Commons Attribution (CC BY) license (https://creativecommons.org/licenses/by/4.0/).
Share and Cite
Yin, Z.; Zhang, Y.; Zhu, H.; Ding, H.; Wu, Q.; Zhu, Z.; Song, J. Optimization and Experimental Study of Iron Ore Grinding Medium Parameters Using EDEM Discrete Element Software. Materials 2024, 17, 4726. https://doi.org/10.3390/ma17194726
Yin Z, Zhang Y, Zhu H, Ding H, Wu Q, Zhu Z, Song J. Optimization and Experimental Study of Iron Ore Grinding Medium Parameters Using EDEM Discrete Element Software. Materials. 2024; 17(19):4726. https://doi.org/10.3390/ma17194726
Chicago/Turabian StyleYin, Zhifeng, Yuhang Zhang, Huajun Zhu, Hao Ding, Qisheng Wu, Zheyu Zhu, and Jiming Song. 2024. "Optimization and Experimental Study of Iron Ore Grinding Medium Parameters Using EDEM Discrete Element Software" Materials 17, no. 19: 4726. https://doi.org/10.3390/ma17194726
APA StyleYin, Z., Zhang, Y., Zhu, H., Ding, H., Wu, Q., Zhu, Z., & Song, J. (2024). Optimization and Experimental Study of Iron Ore Grinding Medium Parameters Using EDEM Discrete Element Software. Materials, 17(19), 4726. https://doi.org/10.3390/ma17194726

