The Influence of Using Recycled Waste Aggregates and Adding TiO2 Nanoparticles on the Corrosion Resistance of Steel Reinforcement Embedded in Cementitious Composite
Abstract
1. Introduction
2. Materials and Methods
2.1. Aggregates Characterization and Importance
2.2. Cementitious Composites Characterization and Sample Preparation
2.3. Electrochemical Analysis and Experimental Set-Up
- ➢
- Open circuit potential (OCP) tests were carried out for 1200 min, which made it possible to identify the passive oxide layer’s creation and destruction tendencies and conduct a qualitative investigation of the phenomenon.
- ➢
- The linear polarization test offers quantitative information on the corrosion process and its kinetics. For this study, the potential was swept at a rate of 10 mV/min, over the range ±500 mV from the open circuit potential value. Based on the experimentally obtained diagrams, in Tafel interpretation, the main kinetic indicators were recorded: corrosion potential, corrosion current, corrosion rate, anodic and cathodic slope, and polarization resistance.
- ➢
- Electrochemical impedance spectroscopy (EIS) measurements were performed to evaluate the mechanism of the corrosion process. The alternating current frequency range used for the studies started at 100 kHz and went up to 100 mHz, with an amplitude of 10 mV. Plots in the Bode (logarithmic representations for impedance-frequency modulus and phase angle–frequency) and Nyquist (an imaginary component of impedance vs real component) representations were created using the impedance spectra that were recorded at the open-circuit potential.
3. Results and Discussion
3.1. Influence of the Cementitious Matrix on the Thermodynamics of the Reinforcement Corrosion Process Analyzed by the Open Circuit Potential Recording Method
3.2. Influence of the Cementitious Matrix on the Kinetics of the Reinforcement Corrosion Process Analyzed by the Linear Polarization Method in Tafel Interpretation
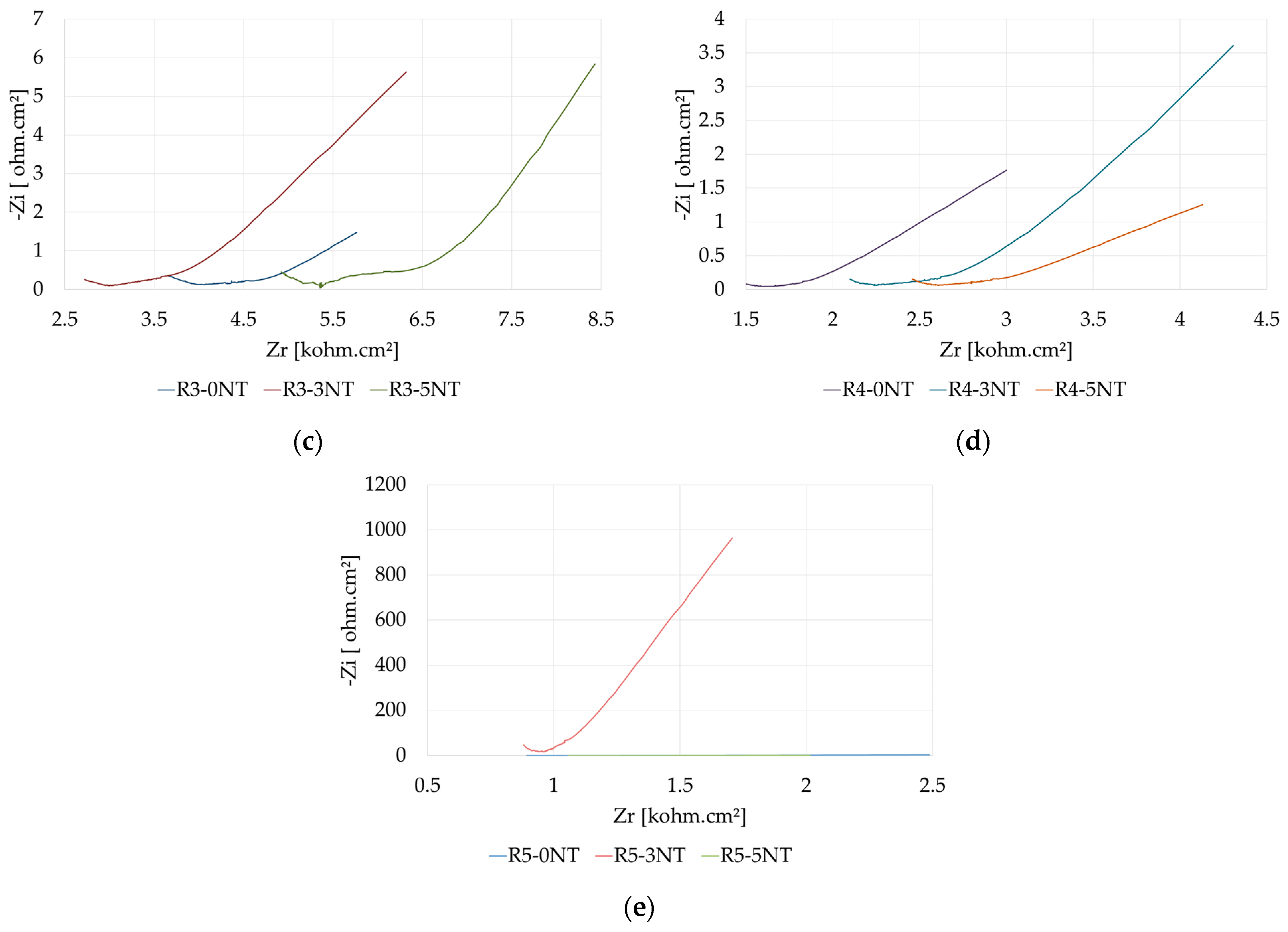
3.3. Influence of Cementitious Matrix on the Mechanism of the Reinforcement Corrosion Process Analyzed by Electrochemical Impedance Spectroscopy Method
3.4. Metal Surface Analysis
4. Conclusions
- ➢
- By analyzing the process from a thermodynamic point of view, there are multiple factors that influence the stability of the passive oxide layer formed on the metal reinforcement surface. First, modifications to the raw material used to produce the cementitious matrix (in this case, a partial substitution of NA with aggregates derived from the recycling of industrial wastes and by-products) will affect the properties of the composite and either increase or decrease the likelihood that a passive oxide layer will form and remain on the surface of the reinforcement. In the same way, the cementitious matrix undergoes structural alterations upon the addition of NT. An additional determining element is the quantity of NT added to the composition; based on the cases examined, it can be approximated that the ideal NT addition is approximately 3% (wt relative to the amount of cement).
- ➢
- By analyzing the kinetics of the corrosion process of reinforcement embedded in cement matrices in the presence of chloride ions, it is possible to conclude that the cement matrix’s composition, the presence of partial NA substitution with recycled waste aggregates, and the addition of NT all have an impact. Therefore, in the scenarios under consideration, the findings suggest that adding 3% NT (weight relative to cement volume) is the optimum option for providing the embedded reinforcement with the best corrosion protection.
- ➢
- The results in terms of electrochemical impedance spectroscopy also support the hypothesis that an addition of 3% NT is preferable, but also the conclusion that the partial substitution of NA induces effects on the corrosion of the embedded reinforcement, this time also in terms of the process mechanism. For all the working variants, the same equivalent electrical circuit was identified, and it can be said that an accumulation of iron ions occurs on the surface of the reinforcement, which is surrounded by a porous iron layer, with the electric charge unlocalized. The large variations between the values of the polarization resistance recorded for the studied samples are due both to the iron ions present on the metal surface and oxide layer and due to the composition, microstructural characteristics, and porosity of the cementitious composite layer covering the reinforcement.
- ➢
- Combining all the aspects of thermodynamics, kinetics, and corrosion mechanism, a classification in terms of the favorable conditions allowing the good strength of the embedded reinforcement in cementitious composites would optimally indicate the mixtures with NA partially substituted with GBA and 3% NT (R4-3NT) and partially substituted with RBA with 3% (R3-3NT) and 5% NT (R3-5NT).
Author Contributions
Funding
Institutional Review Board Statement
Informed Consent Statement
Data Availability Statement
Conflicts of Interest
References
- Rajbanul Akhond, M.; Irfan, A.; Sharif, A. An Overview of Corrosion Behavior and Contemporary Management Techniques of Thermomechanically Treated Rebars in Concrete Structures. J. Struct. Integr. Maint. 2024, 9, 2259721. [Google Scholar] [CrossRef]
- Daniyal, M.; Akhtar, S.; Azam, A. Effect of Nano-TiO2 on the Properties of Cementitious Composites under Different Exposure Environments. J. Mater. Res. Technol. 2019, 8, 6158–6172. [Google Scholar] [CrossRef]
- Ghods, P.; Isgor, O.B.; Carpenter, G.J.C.; Li, J.; McRae, G.A.; Gu, G.P. Nano-Scale Study of Passive Films and Chloride-Induced Depassivation of Carbon Steel Rebar in Simulated Concrete Pore Solutions Using FIB/TEM. Cem. Concr. Res. 2013, 47, 55–68. [Google Scholar] [CrossRef]
- Hansson, C.; Poursaee, A.; Jaffer, S.J. Corrosion of Reinforcing Bars in Concrete. Masterbuilder 2012, 15, 106–124. [Google Scholar]
- Angst, U.; Elsener, B.; Larsen, C.K.; Vennesland, Ø. Critical Chloride Content in Reinforced Concrete—A Review. Cem. Concr. Res. 2009, 39, 1122–1138. [Google Scholar] [CrossRef]
- Liu, X.; Niu, D.; Li, X.; Lv, Y. Effects of Ca(OH)2—CaCO3 Concentration Distribution on the PH and Pore Structure in Natural Carbonated Cover Concrete: A Case Study. Constr. Build. Mater. 2018, 186, 1276–1285. [Google Scholar] [CrossRef]
- Mostafa, F.E.-Z.M.; Smarzewski, P.; El Hafez, G.M.A.; Farghali, A.A.; Morsi, W.M.; Faried, A.S.; Tawfik, T.A. Analyzing the Effects of Nano-Titanium Dioxide and Nano-Zinc Oxide Nanoparticles on the Mechanical and Durability Properties of Self-Cleaning Concrete. Materials 2023, 16, 6909. [Google Scholar] [CrossRef]
- ASTM C876-15; Standard Test Method for Corrosion Potentials of Uncoated Reinforcing Steel in Concrete. ASTM International: West Conshohocken, PA, USA, 2015.
- García-Contreras, J.; Gaona-Tiburcio, C.; López-Cazares, I.; Sanchéz-Díaz, G.; Ibarra Castillo, J.C.; Jáquez-Muñoz, J.; Nieves-Mendoza, D.; Maldonado-Bandala, E.; Olguín-Coca, J.; López-León, L.D.; et al. Effect of Cathodic Protection on Reinforced Concrete with Fly Ash Using Electrochemical Noise. Materials 2021, 14, 2438. [Google Scholar] [CrossRef]
- Guo, B.; Qiao, G.; Li, Z.; Li, D.; Dai, J.; Wang, Y. Impressed Current Cathodic Protection of Chloride-Contaminated RC Structures with Cracking: A Numerical Study. J. Build. Eng. 2021, 44, 102943. [Google Scholar] [CrossRef]
- Zomorodian, A.; Behnood, A. Review of Corrosion Inhibitors in Reinforced Concrete: Conventional and Green Materials. Buildings 2023, 13, 1170. [Google Scholar] [CrossRef]
- Chen, J.; Ji, L.; Song, J. Study of Crevice Corrosion Behavior and Cathodic Protection of Carbon Steel Reinforcement in Concrete. Int. J. Electrochem. Sci. 2022, 17, 220140. [Google Scholar] [CrossRef]
- Nicula, L.M.; Corbu, O.; Iliescu, M.; Sandu, A.V.; Hegyi, A. Study on the Durability of Road Concrete with Blast Furnace Slag Affected by the Corrosion Initiated by Chloride. Adv. Civ. Eng. 2021, 2021, 8851005. [Google Scholar] [CrossRef]
- Zhang, R.; Cheng, X.; Hou, P.; Ye, Z. Influences of Nano-TiO2 on the Properties of Cement-Based Materials: Hydration and Drying Shrinkage. Constr. Build. Mater. 2015, 81, 35–41. [Google Scholar] [CrossRef]
- Li, Z.; Ding, S.; Yu, X.; Han, B.; Ou, J. Multifunctional Cementitious Composites Modified with Nano Titanium Dioxide: A Review. Compos. Part A Appl. Sci. Manuf. 2018, 111, 115–137. [Google Scholar] [CrossRef]
- Bunea, G.; Alexa-Stratulat, S.-M.; Mihai, P.; Toma, I.-O. Use of Clay and Titanium Dioxide Nanoparticles in Mortar and Concrete—A State-of-the-Art Analysis. Coatings 2023, 13, 506. [Google Scholar] [CrossRef]
- Cerro-Prada, E.; Manso, M.; Torres, V.; Soriano, J. Microstructural and Photocatalytic Characterization of Cement-Paste Sol-Gel Synthesized Titanium Dioxide. Front. Struct. Civ. Eng. 2016, 10, 189–197. [Google Scholar] [CrossRef]
- Lackhoff, M.; Prieto, X.; Nestle, N.; Dehn, F.; Niessner, R. Photocatalytic Activity of Semiconductor-Modified Cement—Influence of Semiconductor Type and Cement Ageing. Appl. Catal. B 2003, 43, 205–216. [Google Scholar] [CrossRef]
- Janczarek, M.; Klapiszewski, Ł.; Jędrzejczak, P.; Klapiszewska, I.; Ślosarczyk, A.; Jesionowski, T. Progress of Functionalized TiO2-Based Nanomaterials in the Construction Industry: A Comprehensive Review. Chem. Eng. J. 2022, 430, 132062. [Google Scholar] [CrossRef]
- de Matos, P.; Zat, T.; Corazza, K.; Fensterseifer, E.; Sakata, R.; Mohamad, G.; Rodríguez, E. Effect of TiO2 Nano-particles on the Fresh Performance of 3D-Printed Cementitious Materials. Materials 2022, 15, 3896. [Google Scholar] [CrossRef]
- Wang, L.; Zhang, H.; Gao, Y. Effect of TiO2 Nanoparticles on Physical and Mechanical Properties of Cement at Low Temperatures. Adv. Mater. Sci. Eng. 2018, 2018, 8934689. [Google Scholar] [CrossRef]
- Ma, B.; Li, H.; Mei, J.; Li, X.; Chen, F. Effects of Nano-TiO2 on the Toughness and Durability of Cement-Based Material. Adv. Mater. Sci. Eng. 2015, 2015, 583106. [Google Scholar] [CrossRef]
- Rahim, A.; Nair, S.R. Influence of Nano-Materials in High Strength Concrete. J. Chem. Pharm. Sci. 2016, 974, 15–21. [Google Scholar]
- Han, B.; Li, Z.; Zhang, L.; Zeng, S.; Yu, X.; Han, B.; Ou, J. Reactive Powder Concrete Reinforced with Nano SiO2-Coated TiO2. Constr. Build. Mater. 2017, 148, 104–112. [Google Scholar] [CrossRef]
- Nazari, A.; Riahi, S. The Effect of TiO2 Nanoparticles on Water Permeability and Thermal and Mechanical Properties of High Strength Self-Compacting Concrete. Mater. Sci. Eng. A 2010, 528, 756–763. [Google Scholar] [CrossRef]
- Gopalakrishnan, R.; Vignesh, B.; Jeyalakshmi, R. Mechanical, Electrical and Microstructural Studies on Nano-TiO2 Admixtured Cement Mortar Cured with Industrial Wastewater. Eng. Res. Express 2020, 2, 025010. [Google Scholar] [CrossRef]
- Siang Ng, D.; Paul, S.C.; Anggraini, V.; Kong, S.Y.; Qureshi, T.S.; Rodriguez, C.R.; Liu, Q.; Šavija, B. Influence of SiO2, TiO2 and Fe2O3 Nanoparticles on the Properties of Fly Ash Blended Cement Mortars. Constr. Build. Mater. 2020, 258, 119627. [Google Scholar] [CrossRef]
- Nazari, A.; Riahi, S.; Riahi, S.; Shamekhi, S.; Khademno, A. Assessment of the Effects of the Cement Paste Composite in Presence TiO2 Nanoparticles. J. Am. Sci. 2010, 6, 43–46. [Google Scholar]
- Harilal, M.; Rathish, V.R.; Anandkumar, B.; George, R.P.; Mohammed, M.S.H.S.; Philip, J.; Amarendra, G. High Performance Green Concrete (HPGC) with Improved Strength and Chloride Ion Penetration Resistance by Synergistic Action of Fly Ash, Nanoparticles and Corrosion Inhibitor. Constr. Build. Mater. 2019, 198, 299–312. [Google Scholar] [CrossRef]
- Liu, M.; Xiao, H.; Liu, R.; Liu, J. Dispersion Characteristics of Various Contents of Nano-TiO2 and Its Effect on the Properties of Cement-based Composite. Struct. Concr. 2018, 19, 1301–1308. [Google Scholar] [CrossRef]
- Döndüren, M.S.; Al-Hagri, M.G. A Review of the Effect and Optimization of Use of Nano-TiO2 in Cementitious Composites. Res. Eng. Struct. Mater. 2022, 8, 283–305. [Google Scholar] [CrossRef]
- Staub de Melo, J.V.; Trichês, G. Study of the Influence of Nano-TiO2 on the Properties of Portland Cement Concrete for Application on Road Surfaces. Road Mater. Pavement Des. 2018, 19, 1011–1026. [Google Scholar] [CrossRef]
- Reches, Y. Nanoparticles as Concrete Additives: Review and Perspectives. Constr. Build. Mater. 2018, 175, 483–495. [Google Scholar] [CrossRef]
- Cobîrzan, N.; Muntean, R.; Thalmaier, G.; Felseghi, R.A. Recycling of Mining Waste in the Production of Masonry Units. Materials 2022, 15, 594. [Google Scholar] [CrossRef] [PubMed]
- Grădinaru, C.M.; Muntean, R.; Serbănoiu, A.A.; Ciocan, V.; Burlacu, A. Sustainable Development of Human Society in Terms of Natural Depleting Resources Preservation Using Natural Renewable Raw Materials in a Novel Ecological Material Production. Sustainability 2020, 12, 2651. [Google Scholar] [CrossRef]
- Ghamari, A.; Powęzka, A.; Kytinou, V.K.; Amini, A. An Innovative Fire-Resistant Lightweight Concrete Infill Wall Reinforced with Waste Glass. Buildings 2024, 14, 626. [Google Scholar] [CrossRef]
- Tang, Y.; Wang, Y.; Wu, D.; Chen, M.; Pang, L.; Sun, J.; Feng, W.; Wang, X. Exploring Temperature-Resilient Recycled Aggregate Concrete with Waste Rubber: An Experimental and Multi-Objective Optimization Analysis. Rev. Adv. Mater. Sci. 2023, 62, 20230347. [Google Scholar] [CrossRef]
- Saradar, A.; Rezakhani, Y.; Rahmati, K.; Johari Majd, F.; Mohtasham Moein, M.; Karakouzian, M. Investigating the Properties and Microstructure of High-Performance Cement Composites with Nano-Silica, Silica Fume, and Ultra-Fine TiO2. Innov. Infrastruct. Solut. 2024, 9, 84. [Google Scholar] [CrossRef]
- Ye, H.; Zhu, B.; Ping, P.; Lin, Y.; Cai, J.; Pan, J. Mechanical Performance, Impact Behavior and Environmental Assessment of Coal Furnace Slag Based Low-Carbon Ultra-High Performance Engineered Cementitious Composites (UHP-ECC). J. Clean. Prod. 2024, 450, 141921. [Google Scholar] [CrossRef]
- Wang, L.; Wang, J.; Wang, H.; Qian, X.; Fang, Y.; Ge, Y.; Wang, X.; Zhao, X.; Do Amaral, M.L. Ascorbic Acid: A Green Admixture for Eco-Efficient Metakaolin Blended Cement with Enhanced Properties and Corrosion Resistance. Cem. Concr. Compos. 2024, 146, 105405. [Google Scholar] [CrossRef]
- Perera, M.A.G.P.; Ranjith, P. Eco-Friendly Cementitious Composites for Enhanced Strength: Emerging Trends and Innovations. J. Clean. Prod. 2024, 468, 142962. [Google Scholar] [CrossRef]
- Lee, G.; Poon, C.S.; Wong, Y.L.; Ling, T.C. Effects of Recycled Fine Glass Aggregates on the Properties of Dry–Mixed Concrete Blocks. Constr. Build. Mater. 2013, 38, 638–643. [Google Scholar] [CrossRef]
- Ling, T.-C.; Poon, C.-S. Properties of Architectural Mortar Prepared with Recycled Glass with Different Particle Sizes. Mater. Des. 2011, 32, 2675–2684. [Google Scholar] [CrossRef]
- Lee, G.; Ling, T.-C.; Wong, Y.-L.; Poon, C.-S. Effects of Crushed Glass Cullet Sizes, Casting Methods and Pozzolanic Materials on ASR of Concrete Blocks. Constr. Build. Mater. 2011, 25, 2611–2618. [Google Scholar] [CrossRef]
- Özkan, Ö.; Yüksel, İ. Studies on Mortars Containing Waste Bottle Glass and Industrial By-Products. Constr. Build. Mater. 2008, 22, 1288–1298. [Google Scholar] [CrossRef]
- Yang, J.; Du, Q.; Bao, Y. Concrete with Recycled Concrete Aggregate and Crushed Clay Bricks. Constr. Build. Mater. 2011, 25, 1935–1945. [Google Scholar] [CrossRef]
- Nepomuceno, M.C.S.; Isidoro, R.A.S.; Catarino, J.P.G. Mechanical Performance Evaluation of Concrete Made with Recycled Ceramic Coarse Aggregates from Industrial Brick Waste. Constr. Build. Mater. 2018, 165, 284–294. [Google Scholar] [CrossRef]
- Nematzadeh, M.; Dashti, J.; Ganjavi, B. Optimizing Compressive Behavior of Concrete Containing Fine Recycled Refractory Brick Aggregate Together with Calcium Aluminate Cement and Polyvinyl Alcohol Fibers Exposed to Acidic Environment. Constr. Build. Mater. 2018, 164, 837–849. [Google Scholar] [CrossRef]
- Khalaf, F.M.; DeVenny, A.S. Properties of New and Recycled Clay Brick Aggregates for Use in Concrete. J. Mater. Civ. Eng. 2005, 17, 456–464. [Google Scholar] [CrossRef]
- Debieb, F.; Kenai, S. The Use of Coarse and Fine Crushed Bricks as Aggregate in Concrete. Constr. Build. Mater. 2008, 22, 886–893. [Google Scholar] [CrossRef]
- Cavalline, T.L.; Weggel, D.C. Recycled Brick Masonry Aggregate Concrete. Struct. Surv. 2013, 31, 160–180. [Google Scholar] [CrossRef]
- Cachim, P.B. Mechanical Properties of Brick Aggregate Concrete. Constr. Build. Mater. 2009, 23, 1292–1297. [Google Scholar] [CrossRef]
- Shi, C.; Day, R.L. Early Strength Development and Hydration of Alkali-Activated Blast Furnace Slag/Fly Ash Blends. Adv. Cem. Res. 1999, 11, 189–196. [Google Scholar] [CrossRef]
- Pizoń, J.; Gołaszewski, J.; Alwaeli, M.; Szwan, P. Properties of Concrete with Recycled Concrete Aggregate Containing Metallurgical Sludge Waste. Materials 2020, 13, 1448. [Google Scholar] [CrossRef] [PubMed]
- Ganesh, S.; Danish, P.; Bhat, K.A. Utilization of Waste Printed Circuit Board Powder in Concrete over Conventional Concrete. Mater. Today Proc. 2021, 42, 745–749. [Google Scholar] [CrossRef]
- Santhanam, N.; Ramesh, B.; Khim Pohsnem, F. Concrete Blend with E-Waste Plastic for Sustainable Future. Mater. Today Proc. 2020, 22, 959–965. [Google Scholar] [CrossRef]
- Vishnupriyan, M.; Annadurai, R. A Study on the Macro-Properties of PCB Fiber-Reinforced Concrete from Recycled Electronic Waste and Validation of Results Using RSM and ANN. Asian J. Civ. Eng. 2023, 24, 1667–1680. [Google Scholar] [CrossRef]
- Sajedi, S.; Huang, Q. Reliability-Based Life-Cycle-Cost Comparison of Different Corrosion Management Strategies. Eng. Struct. 2019, 186, 52–63. [Google Scholar] [CrossRef]
- Florean, C.T.; Vermeșan, H.; Gabor, T.; Neamțu, B.V.; Thalmaier, G.; Hegyi, A.; Csapai, A.; Lăzărescu, A.-V. Influence of TiO2 Nanoparticles on the Physical, Mechanical, and Structural Characteristics of Cementitious Composites with Recycled Aggregates. Materials 2024, 17, 2014. [Google Scholar] [CrossRef] [PubMed]
- Florean, C.T.; Vermesan, H.; Thalmaier, G.; Neamtu, B.V.; Gabor, T.; Campian, C.; Hegyi, A.; Csapai, A. The Influence of TiO2 Nanoparticles on the Physico–Mechanical and Structural Characteristics of Cementitious Materials. Coatings 2024, 14, 218. [Google Scholar] [CrossRef]
- EN 933-1; Tests for Geometrical Properties of Aggregates—Part 1: Determination of Particle Size Distribution—Sieving Method 2012. BSI Standards Publication: London, UK, 2012.
- EN 1097-3; Tests for Mechanical and Physical Properties of Aggregates—Part 3: Determination of Loose Bulk Density and Voids. BSI Standards Publication: London, UK, 1998.
- EN 1097-6; Tests for Mechanical and Physical Properties of Aggregates—Part 6: Determination of Particle Density and Water Absorption. BSI Standards Publication: London, UK, 2022.
- Chen, J.; Kou, S.; Poon, C. Hydration and Properties of Nano-TiO2 Blended Cement Composites. Cem. Concr. Compos. 2012, 34, 642–649. [Google Scholar] [CrossRef]
- Kenai, S.; Debieb, F.; Azzouz, L. Mechanical Properties and Durability of Concrete Made with Coarse and Fine Recycled Con-crete Aggregates. In Challenges of Concrete Construction: Volume 5, Sustainable Concrete Construction; Thomas Telford Publishing: London, UK, 2002; pp. 383–392. [Google Scholar]
- Yu, X.; Kang, S.; Long, X. Compressive Strength of Concrete Reinforced by TiO2 Nanoparticles. Proc. AIP Conf. Proc. 2018, 2036, 030006. [Google Scholar]
- Corbu, O.; Anastasiu, L.; Baeră, C.; Istoan, R.; Dragomir, M.-L. Recycled Glass and PET Waste as Aggregates Replacement in Eco-Innovative Concrete for Alveolar Concrete Blocks. In Olympiad in Engineering Science; Springer Nature Switzerland: Cham, Switzerland, 2024; pp. 547–565. [Google Scholar]
- Mohd Nadzri, N.I.; Mohd Amin, N. A Review of Cathodic Protection in Repairing Reinforced Concrete Structures. J. Mech. Eng. 2019, 16, 183–198. [Google Scholar] [CrossRef]
- EN 1015-2; Methods of Test for Mortar for Masonry—Part 2: Bulk Sampling of Mortars and Preparation of Test Mortars. BSI Standards Publication: London, UK, 1998.
- Hamidi, F.; Aslani, F. TiO2-Based Photocatalytic Cementitious Composites: Materials, Properties, Influential Parameters, and Assessment Techniques. Nanomaterials 2019, 9, 1444. [Google Scholar] [CrossRef] [PubMed]
- Li, H.; Xiao, H.; Yuan, J.; Ou, J. Microstructure of Cement Mortar with Nano-Particles. Compos. B Eng. 2004, 35, 185–189. [Google Scholar] [CrossRef]
- Meng, T.; Yu, Y.; Qian, X.; Zhan, S.; Qian, K. Effect of Nano-TiO2 on the Mechanical Properties of Cement Mortar. Constr. Build. Mater. 2012, 29, 241–245. [Google Scholar] [CrossRef]
- Ghafari, E.; Costa, H.; Júlio, E. Critical Review on Eco-Efficient Ultra High Performance Concrete Enhanced with Nano-Materials. Constr. Build. Mater. 2015, 101, 201–208. [Google Scholar] [CrossRef]
- Haruehansapong, S.; Pulngern, T.; Chucheepsakul, S. Effect of the Particle Size of Nanosilica on the Compressive Strength and the Optimum Replacement Content of Cement Mortar Containing Nano-SiO2. Constr. Build. Mater. 2014, 50, 471–477. [Google Scholar] [CrossRef]
- Hu, M.; Li, S.; Chen, X.; Duan, P.; Sui, S.; Jin, L.; Geng, Y.; Jiang, J. The Influence of Silica-Coated Nanoscale Titanium Dioxide on the Microstructure, Mechanical Properties, and Carbonation Resistance of Cementitious Materials. Case Stud. Constr. Mater. 2024, 20, e02693. [Google Scholar] [CrossRef]
- Li, Z.; Han, B.; Yu, X.; Dong, S.; Zhang, L.; Dong, X.; Ou, J. Effect of Nano-Titanium Dioxide on Mechanical and Electrical Properties and Microstructure of Reactive Powder Concrete. Mater. Res. Express 2017, 4, 095008. [Google Scholar] [CrossRef]
- Yang, L.Y.; Jia, Z.J.; Zhang, Y.M.; Dai, J.G. Effects of Nano-TiO2 on Strength, Shrinkage and Microstructure of Alkali Activated Slag Pastes. Cem Concr Compos 2015, 57, 1–7. [Google Scholar] [CrossRef]
- Florean, C.; Vermesan, H.; Gabor, T.; Neamțu, B.V.; Thalmayer, G.; Corbu, O.; Lazarescu, A.-V.; Hegyi, A.; Csapai, A. Possibilities for Conserving Natural Resources and the Environment through the Use of Recycled Waste Aggregates as a Substitute for Natural Aggregates in Cementitious Compo-Sites. Int. J. Conserv. Sci. 2024, 15, 527–546. [Google Scholar] [CrossRef]
- EN 1015-10; Methods of Test for Mortar for Masonry—Part 10: Determination of Dry Bulk Density of Hardened Mortar. BSI Standards Publication: London, UK, 1999.
- EN 1015-18; Methods of Test for Mortar for Masonry—Part 18: Determination of Water Absorption Coefficient Due to Capillary Action of Hardened Mortar. BSI Standards Publication: London, UK, 2002.
- EN 1015-11; Methods of Test for Mortar for Masonry—Part 11: Determination of Flexural and Compressive Strength of Hardened Mortar. BSI Standards Publication: London, UK, 2019.













| Aggregate Type | Max. Grain Size [mm] EN 933-1 [61] | Density [kg/m3] EN 1097-3 [62] | Inter-Granular Porosity (%) EN 1097-3 [62] | Water Absorption Coefficient (%) EN 1097-6 [63] |
|---|---|---|---|---|
| NA, 0/4 mm | 4 | 2510 | 35.02 | 2.44 |
| NA, 4/8 mm | 8 | 2450 | 39.88 | 1.6 |
| RGA, 0/4 mm | 4 | 2330 | 41.28 | 1.2 |
| RGA, 4/8 mm | 8 | 2400 | 42.49 | 1.4 |
| RBA, 0/4 mm | 4 | 2020 | 63.12 | 4.62 |
| GBA, 0/2 mm | 2 | 2440 | 78.15 | 2.21 |
| RTA, 0/2 mm | 2 | 1540 | 63.13 | 2.24 |
| Sample Code | Aggregate | NT Content (%WT) | Density (kg/m3) EN 1015-10 [79] | Water Absorption Coeff. (%) EN 1015-18 [80] | Compressive Strength (N/mm2) EN 1015-11 [81] |
|---|---|---|---|---|---|
| R1-0NT | NA | 0 | 2298 | 0.16 | 59.18 |
| R1-3NT | 3 | 2453 | 0.09 | 60.73 | |
| R1-5NT | 5 | 2405 | 0.03 | 59.04 | |
| R2-0NT | NA partially substituted with RGA | 0 | 2262 | 0.09 | 56.93 |
| R2-3NT | 3 | 2287 | 0.08 | 57.47 | |
| R2-5NT | 5 | 2307 | 0.07 | 56.47 | |
| R3-0NT | NA partially substituted with RBA | 0 | 1993 | 0.27 | 57.75 |
| R3-3NT | 3 | 2111 | 0.12 | 58.87 | |
| R3-5NT | 5 | 2095 | 0.09 | 58.23 | |
| R4-0NT | NA partially substituted with GBA | 0 | 2246 | 0.08 | 68.96 |
| R4-3NT | 3 | 2331 | 0.03 | 69.55 | |
| R4-5NT | 5 | 2334 | 0.04 | 69.88 | |
| R5-0NT | NA partially substituted with RTA | 0 | 2054 | 0.37 | 37.58 |
| R5-3NT | 3 | 2083 | 0.16 | 43.68 | |
| R5-5NT | 5 | 2077 | 0.11 | 35.19 |
| Sample Code | E (i = 0) [mV] | Rp [kohm cm2] | icorr [μA/cm2] | βa [mV] | βc [mV] | vcorr [μm/an] |
|---|---|---|---|---|---|---|
| R1-0NT | −867.9 | 2.29 | 11.2281 | 229.3 | −130.5 | 131.3 |
| R1-3NT | −751.6 | 5.34 | 5.2873 | 593 | −113.2 | 61.84 |
| R1-5NT | −556.6 | 20.44 | 0.6444 | 124.6 | −54.1 | 7.537 |
| R2-0NT | −347.2 | 31.91 | 0.8605 | 213.4 | −135.7 | 10.06 |
| R2-3NT | −290.3 | 68.68 | 0.4741 | 366.6 | −140.6 | 5.545 |
| R2-5NT | −457.2 | 48.79 | 0.5366 | 184.8 | −145.7 | 6.276 |
| R3-0NT | −457.3 | 21.2 | 1.2836 | 174.2 | −161.2 | 15.01 |
| R3-3NT | −292.5 | 149.85 | 0.1759 | 234.6 | −116.5 | 2.057 |
| R3-5NT | −232.2 | 391.44 | 0.615759 | 237.5 | −95.8 | 0.7202 |
| R4-0NT | −762.6 | 4.66 | 5.8912 | 479.3 | -110 | 68.9 |
| R4-3NT | −232.4 | 143.59 | 0.1646 | 281.2 | −96.3 | 1.925 |
| R4-5NT | −404.2 | 11.28 | 2.3995 | 191.8 | −149.3 | 28.06 |
| R5-0NT | −374.8 | 95.46 | 0.2795 | 262 | −125.4 | 3.268 |
| R5-3NT | −801.5 | 2.28 | 12.1256 | 422.6 | −120.7 | 141.8 |
| R5-5NT | −709 | 7.99 | 3.7489 | 654.5 | −105.9 | 43.84 |
| Sample Code | Rs (kΩ) | CPE-T (mF) | CPE-P | Rp (kΩ) | Rox (kΩ) | CPEox-T (µF) | CPEox-P |
|---|---|---|---|---|---|---|---|
| R1-0NT | 0.30 | 19.6 | 0.6899 | 2.5 | 1.5 | 70 | 0.0839 |
| R1-3NT | 0.25 | 12.5 | 0.7399 | 9.9 | 2.1 | 70 | 0.0839 |
| R1-5NT | 1.05 | 19.9 | 0.6699 | 2.5 | 1.9 | 70 | 0.0839 |
| R2-0NT | 1.60 | 8.1 | 0.6799 | 48 | 1.7 | 70 | 0.0839 |
| R2-3NT | 0.80 | 9.1 | 0.7129 | 120 | 1.7 | 70 | 0.0839 |
| R2-5NT | 0.25 | 15.5 | 0.7599 | 9.9 | 2.1 | 70 | 0.0839 |
| R3-0NT | 2.60 | 8.1 | 0.6299 | 9.6 | 1.9 | 70 | 0.0839 |
| R3-3NT | 1.60 | 9.1 | 0.8399 | 48 | 1.7 | 70 | 0.0839 |
| R3-5NT | 3.80 | 10.1 | 0.8399 | 30 | 1.7 | 70 | 0.0839 |
| R4-0NT | 0.50 | 13.6 | 0.6999 | 15 | 1.5 | 70 | 0.0839 |
| R4-3NT | 1.0 | 12.6 | 0.7999 | 25 | 1.7 | 70 | 0.0839 |
| R4-5NT | 1.2 | 11.6 | 0.7199 | 6.5 | 2.8 | 70 | 0.0839 |
| R5-0NT | 0.02 | 12.6 | 0.7799 | 48 | 1.5 | 70 | 0.0839 |
| R5-3NT | 0.02 | 14.6 | 0.6899 | 6.0 | 1.2 | 70 | 0.0839 |
| R5-5NT | 0.18 | 17.6 | 0.6889 | 6.0 | 1.2 | 70 | 0.0839 |
Disclaimer/Publisher’s Note: The statements, opinions and data contained in all publications are solely those of the individual author(s) and contributor(s) and not of MDPI and/or the editor(s). MDPI and/or the editor(s) disclaim responsibility for any injury to people or property resulting from any ideas, methods, instructions or products referred to in the content. |
© 2024 by the authors. Licensee MDPI, Basel, Switzerland. This article is an open access article distributed under the terms and conditions of the Creative Commons Attribution (CC BY) license (https://creativecommons.org/licenses/by/4.0/).
Share and Cite
Florean, C.T.; Chira, M.; Vermeșan, H.; Gabor, T.; Hegyi, A.; Crișan, C.A.; Câmpian, C. The Influence of Using Recycled Waste Aggregates and Adding TiO2 Nanoparticles on the Corrosion Resistance of Steel Reinforcement Embedded in Cementitious Composite. Materials 2024, 17, 3895. https://doi.org/10.3390/ma17163895
Florean CT, Chira M, Vermeșan H, Gabor T, Hegyi A, Crișan CA, Câmpian C. The Influence of Using Recycled Waste Aggregates and Adding TiO2 Nanoparticles on the Corrosion Resistance of Steel Reinforcement Embedded in Cementitious Composite. Materials. 2024; 17(16):3895. https://doi.org/10.3390/ma17163895
Chicago/Turabian StyleFlorean, Carmen Teodora, Mihail Chira, Horațiu Vermeșan, Timea Gabor, Andreea Hegyi, Claudia Alice Crișan, and Cristina Câmpian. 2024. "The Influence of Using Recycled Waste Aggregates and Adding TiO2 Nanoparticles on the Corrosion Resistance of Steel Reinforcement Embedded in Cementitious Composite" Materials 17, no. 16: 3895. https://doi.org/10.3390/ma17163895
APA StyleFlorean, C. T., Chira, M., Vermeșan, H., Gabor, T., Hegyi, A., Crișan, C. A., & Câmpian, C. (2024). The Influence of Using Recycled Waste Aggregates and Adding TiO2 Nanoparticles on the Corrosion Resistance of Steel Reinforcement Embedded in Cementitious Composite. Materials, 17(16), 3895. https://doi.org/10.3390/ma17163895

