Shear Performance Study of Sleeved Stud Connectors in Continuous Composite Girder
Abstract
1. Introduction
2. Shear Test of Sleeved Stud Connectors
2.1. Specimen Design
2.2. Loading Scheme
2.3. Material Properties
3. Experimental Results and Analysis
3.1. Failure Modes
3.2. Load-Displacement Curve
3.3. Analysis of Test Results
4. Numerical Simulation
4.1. Modeling Methods
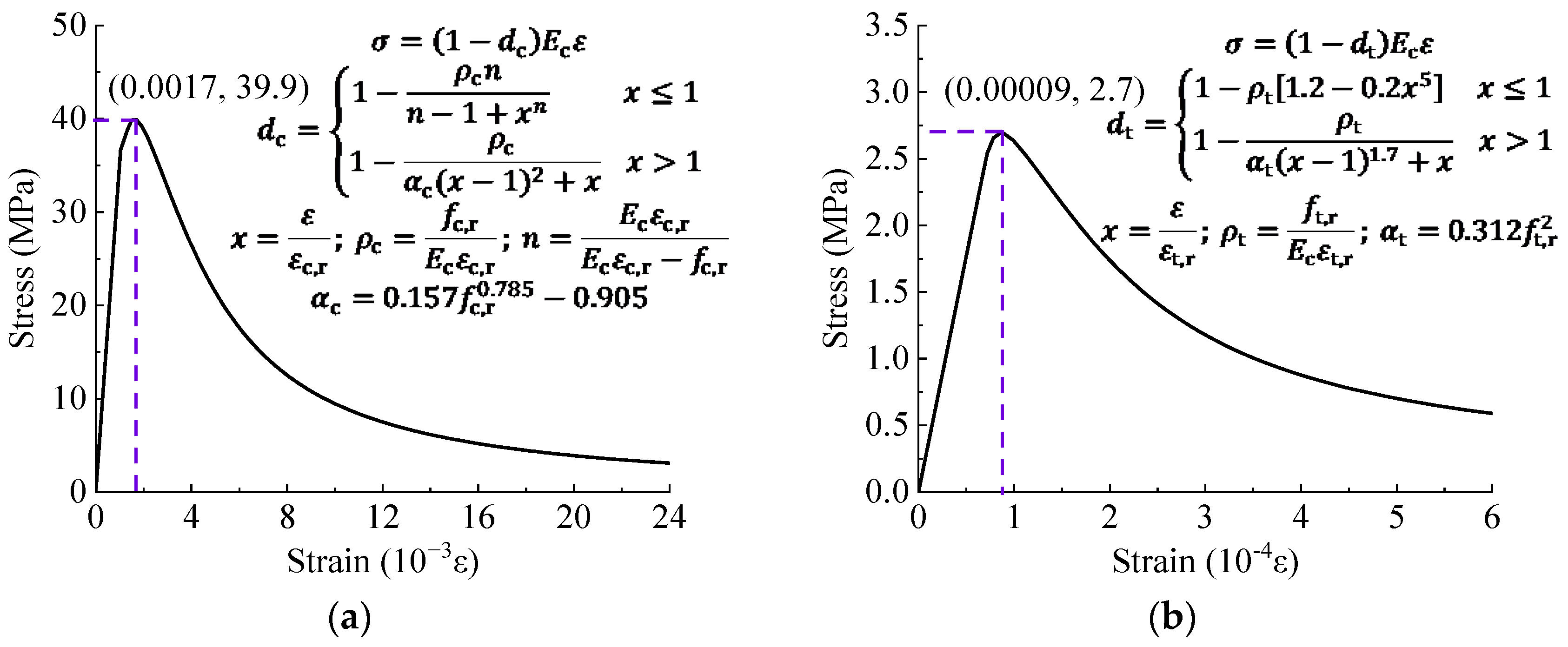
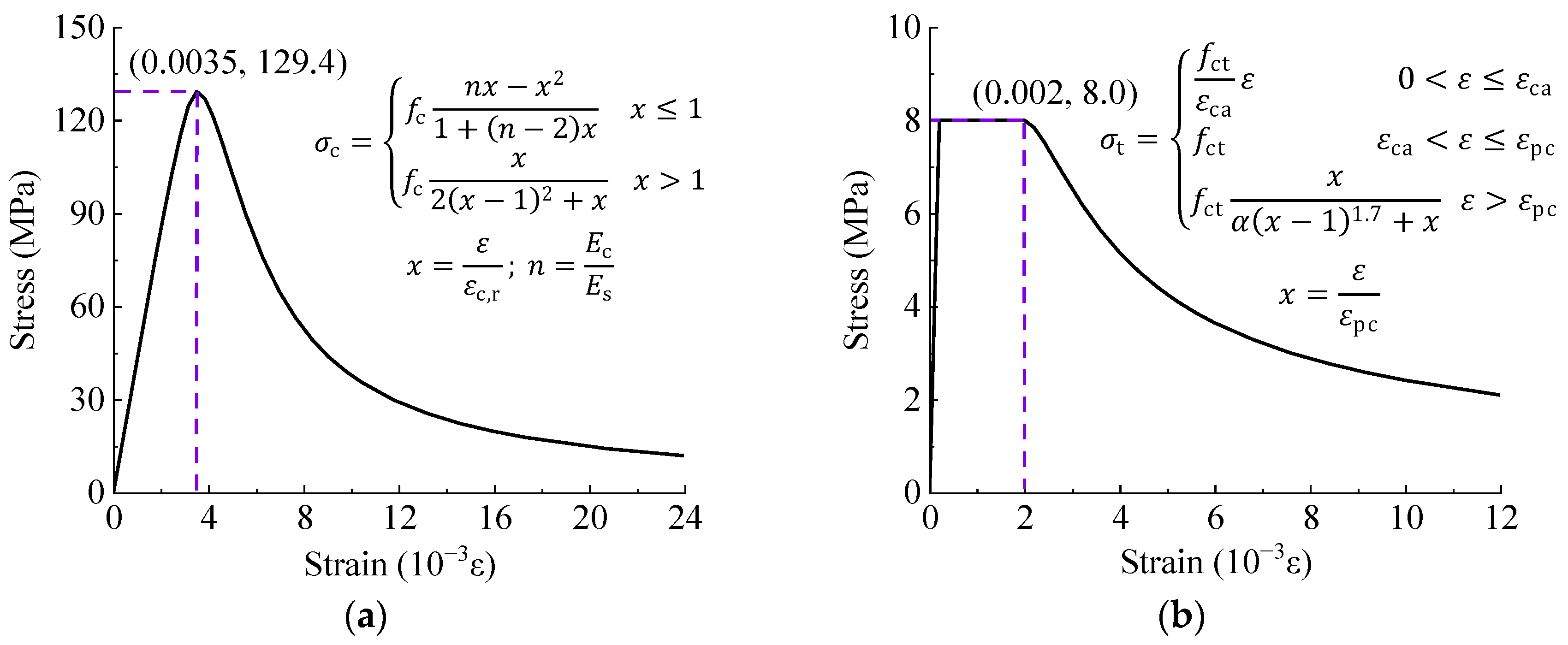
4.2. Material Constitutive Models
- (1)
- C50 Concrete Constitutive Model
- (2)
- UHPC Constitutive Model
- (3)
- Steel Constitutive Model
4.3. Validation of FE Model
5. Parametric Analysis
5.1. Concrete Material
5.2. Stud Height
5.3. Sleeve Diameter and Stud Diameter
6. Conclusions
- (1)
- In the push-out tests, both the sleeved studs and conventional welded studs exhibited shear failure at the root. The concrete failure zone of the sleeved studs was smaller, and the bending deformation at the root of the stud was less than that of conventional welded studs. This indicated that sleeved studs experienced a higher portion of the shear effect and less influence from bending-shear coupling.
- (2)
- Although the metal corrugated sleeve of the sleeved studs weakened the overall integrity of the concrete block, this deficiency could be compensated by grouting the sleeve with high-performance concrete materials.
- (3)
- The sleeved studs had higher shear-carrying capacity and shear stiffness than conventional welded studs. Besides, the slip at the ultimate load was relatively small. Compared to conventional welded studs, the advantages of sleeved studs in improving shear carrying capacity were insignificant, with an increase of 4% to 8%. However, sleeved studs exhibited stronger resistance against slip deformation, with shear stiffness improving by 25% to 35%.
- (4)
- Since the shear behavior of sleeved studs mainly occurred at the root, the influence of stud height on shear performance was minimal. However, sleeve diameter and welded stud diameter had a great impact on shear carrying capacity and shear stiffness. As the sleeve diameter varied from 50 mm to 100 mm, shear carrying capacity and shear stiffness increased by 8% and 10%, respectively, because the UHPC near the root of the welded studs effectively enhanced the shear carrying capacity of the connector.
Author Contributions
Funding
Data Availability Statement
Conflicts of Interest
References
- Seracino, R.; Oehlers, D.J.; Yeo, M.F. Partial-interaction flexural stresses in composite steel and concrete bridge beams. Eng. Struct. 2001, 23, 1186–1193. [Google Scholar] [CrossRef]
- Tong, J.-Z.; Chen, Y.-L.; Li, Q.-H.; Xu, S.-L.; Zeng, T.; Gao, W. Experimental study on flexural performance of steel-UHTCC composite bridge decks considering different shear connection degrees. Eng. Struct. 2023, 281, 115738. [Google Scholar] [CrossRef]
- Lääne, A.; Lebet, J.-P. Available rotation capacity of composite bridge plate girders under negative moment and shear. J. Constr. Steel Res. 2005, 61, 305–327. [Google Scholar] [CrossRef]
- Qiu, M.; Shao, X.; Hu, W.; Zhu, Y.; Hussein, H.H.; He, Y.; Liu, Q. Field validation of UHPC layer in negative moment region of steel-concrete composite continuous girder bridge. Front. Struct. Civ. Eng. 2022, 16, 744–761. [Google Scholar] [CrossRef]
- Hamoda, A.; Hossain, K.; Sennah, K.; Shoukry, M.; Mahmoud, Z. Behaviour of composite high performance concrete slab on steel I-beams subjected to static hogging moment. Eng. Struct. 2017, 140, 51–65. [Google Scholar] [CrossRef]
- El-Gendy, M.; El-Salakawy, E. Effect of flexural reinforcement type and ratio on the punching behavior of RC slab-column edge connections subjected to reversed-cyclic lateral loads. Eng. Struct. 2019, 200, 109703. [Google Scholar] [CrossRef]
- Mohammed, A.A.; Manalo, A.C.; Ferdous, W.; Zhuge, Y.; Vijay, P.; Pettigrew, J. Experimental and numerical evaluations on the behaviour of structures repaired using prefabricated FRP composites jacket. Eng. Struct. 2020, 210, 110358. [Google Scholar] [CrossRef]
- Al-Qaralleh, M.; Toutanji, H.; Eljufout, T. Overloading impact on the flexural behavior of RC beams strengthened with FRP composites under fatigue: Experimental study. Eng. Struct. 2020, 221, 111045. [Google Scholar] [CrossRef]
- Xu, C.; Su, Q.; Wu, C.; Sugiura, K. Experimental study on double composite action in the negative flexural region of two-span continuous composite box girder. J. Constr. Steel Res. 2011, 67, 1636–1648. [Google Scholar] [CrossRef]
- Su, H.; Su, Q.; Xu, C.; Zhang, X.; Lei, D. Shear performance and dimension rationalization study on the rubber sleeved stud connector in continuous composite girder. Eng. Struct. 2021, 240, 112371. [Google Scholar] [CrossRef]
- El-Zohairy, A.; Salim, H.; Saucier, A. Steel–concrete composite beams strengthened with externally post-tensioned tendons under fatigue. J. Bridge Eng. 2019, 24, 04019027. [Google Scholar] [CrossRef]
- Liu, Y. Composite Struucture Bridge; People Communications Press: Beijing, China, 2005. [Google Scholar]
- Shim, C.-S.; Lee, P.-G.; Chang, S.-P. Design of shear connection in composite steel and concrete bridges with precast decks. J. Constr. Steel Res. 2001, 57, 203–219. [Google Scholar] [CrossRef]
- Shim, C.S.; Chang, S.P. Cracking of continuous composite beams with precast decks. J. Constr. Steel Res. 2003, 59, 201–214. [Google Scholar] [CrossRef]
- Ryu, H.-K.; Chang, S.-P.; Kim, Y.-J.; Kim, B.-S. Crack control of a steel and concrete composite plate girder with prefabricated slabs under hogging moments. Eng. Struct. 2005, 27, 1613–1624. [Google Scholar] [CrossRef]
- Ryu, H.-K.; Kim, Y.-J.; Chang, S.-P. Crack control of a continuous composite two-girder bridge with prefabricated slabs under static and fatigue loads. Eng. Struct. 2007, 29, 851–864. [Google Scholar] [CrossRef]
- Okubo, N.; Kurita, A.; Komatsu, K.; Ishihara, Y. Experimental study on static and fatigue characteristics of grouped stud. J. Struct. Eng. JSCE 2002, 48, 1391–1397. [Google Scholar]
- Hou, W.; Ye, M. Analysis on the Ultimate Bearing Capacity and the Statical Behavior of the Composite Structures with Grouped Studs in Railway Bridge. China Railw. Sci. 2011, 32, 55–61. [Google Scholar]
- Yang, Y.; Liu, Y. Push-out Tests and Plastic Analysis of Group Stud Connectors. Bridge Constr. 2013, 43, 80–86. [Google Scholar]
- Xiang, Y.; Guo, S. Parameter Analysis of Push-out Specimens with Different Group Studs in Accelerated Bridge Construction Steel-concrete Composite Beams under Complicated Stress Condition. China J. Highw. Transp. 2017, 30, 246–254. [Google Scholar]
- Wang, Y.-H.; Yu, J.; Liu, J.-P.; Chen, Y.F. Shear behavior of shear stud groups in precast concrete decks. Eng. Struct. 2019, 187, 73–84. [Google Scholar] [CrossRef]
- Xu, C.; Sugiura, K. FEM analysis on failure development of group studs shear connector under effects of concrete strength and stud dimension. Eng. Fail. Anal. 2013, 35, 343–354. [Google Scholar] [CrossRef]
- Xu, C.; Sugiura, K. Parametric push-out analysis on group studs shear connector under effect of bending-induced concrete cracks. J. Constr. Steel Res. 2013, 89, 86–97. [Google Scholar] [CrossRef]
- Xu, C.; Sugiura, K. Analytical investigation on failure development of group studs shear connector in push-out specimen under biaxial load action. Eng. Fail. Anal. 2014, 37, 75–85. [Google Scholar] [CrossRef]
- Xu, C.; Sugiura, K.; Masuya, H.; Hashimoto, K.; Fukada, S. Experimental Study on the Biaxial Loading Effect on Group Stud Shear Connectors of Steel-Concrete Composite Bridges. J. Bridge Eng. 2015, 20, 04014110. [Google Scholar] [CrossRef]
- GB/T 50081-2019; Standard for Test Methods of Concrete Physical and Mechanical Properties. China Architecture Publishing & Media Co. Ltd.: Beijing, China, 2019.
- GB/T 228.1-2021; Metallic Materials-Tensile Testing—Part 1: Method of Test at Room Temperature. Standards Press of China: Beijing, China, 2021.
- Rabbat, B.G.; Russell, H.G. Friction Coefficient of Steel on Concrete or Grout. J. Struct. Eng. 1985, 111, 505–515. [Google Scholar] [CrossRef]
- Mander, J.B.; Priestley, M.J.N.; Park, R. Theoretical Stress-Strain Model for Confined Concrete. J. Struct. Eng. 1988, 114, 1804–1826. [Google Scholar] [CrossRef]
- GB 50010–2010; Code for Design of Concrete Structures. China Architecture Publishing & Media Co. Ltd.: Beijing, China, 2015.















| Specimen Label | Stud Size Diameter × Height (mm) | Layout of Studs (Each Side) | Sleeve Size Diameter × Height (cm) | Grouting Material in Sleeve | Specimen Number |
|---|---|---|---|---|---|
| SN12 | 22 × 200 | 1 × 2 | 6 × 32 | None | 3 |
| SS12 | 1 × 2 | UHPC | 5 | ||
| SN22 | 2 × 2 | None | 1 | ||
| SS22 | 2 × 2 | UHPC | 1 | ||
| SSL12 | 1 × 2 | UHPC | 1 | ||
| SSL22 | 2 × 2 | UHPC | 1 | ||
| SSL32 | 3 × 2 | UHPC | 1 | ||
| SSL42 | 4 × 2 | UHPC | 1 | ||
| SSL52 | 5 × 2 | UHPC | 1 |
| Concrete Properties | Cubic Compressive Strength (MPa) | Axial Compressive Strength (MPa) | Elastic Modulus (GPa) |
|---|---|---|---|
| C50 concrete | 53.2 | 39.9 | 35.77 |
| UHPC | 136.8 | 129.2 | 44.00 |
| Stud Properties | Yield Strength (MPa) | Tensile Strength (MPa) | Elastic Modulus (GPa) |
| ML15 cylindrical head stud | 367 | 486 | 207 |
| Group | Numbering | (kN) | (mm) | (kN/mm) | (kN/mm) | (kN/mm) | |||||
|---|---|---|---|---|---|---|---|---|---|---|---|
| SN12 | A | 166.8 | Avg: 172.6 0% | 6.45 | Avg: 6.67 0% | 312 | Avg: 329 0% | 327 | Avg: 333 0% | 247 | Avg: 272 0% |
| B | 189.7 | 7.45 | 331 | 321 | 266 | ||||||
| C | 161.3 | 6.90 | 342 | 351 | 313 | ||||||
| SS12 | A | 169.7 | Avg: 180.3 ↑4.5% | 4.59 | Avg: 4.82 ↓27.7% | 444 | Avg: 434 ↑31.9% | 422 | Avg: 462 ↑38.7% | 429 | Avg: 402 ↑47.8% |
| B | 180.0 | 5.09 | 370 | 387 | 331 | ||||||
| C | 168.7 | 5.90 | 455 | 457 | 446 | ||||||
| D | 179.1 | 4.20 | 424 | 456 | 398 | ||||||
| E | 203.8 | 4.34 | 477 | 629 | 434 | ||||||
| SN22 | 161.2 | ↓6.6% | 6.21 | ↓6.9% | 275 | ↓16.4% | 270 | ↓18.9% | 233 | ↓14.3% | |
| SS22 | 180.6 | ↑4.6% | 3.81 | ↓42.9% | 446 | ↑35.6% | 485 | ↑45.6% | 432 | ↑58.8% | |
| SSL12 | 186.6 | 0% | 6.08 | 0% | 513 | 0% | 641 | 0% | 527 | 0% | |
| SSL22 | 179.4 | ↓3.8% | 6.10 | ↑0.3% | 485 | ↓5.5% | 574 | ↓10.4% | 501 | ↓4.9% | |
| SSL32 | 156.4 | ↓16.2% | 6.51 | ↑7.1% | 458 | ↓11.1% | 714 | ↑11.3% | 525 | ↓3.8% | |
| SSL42 | 158.3 | ↓15.2% | 5.02 | ↓17.4% | 406 | ↓20.9% | 606 | ↓6% | 408 | ↓22.6% | |
| SSL52 | 166.4 | ↓10.8% | 7.77 | ↑27.8% | 385 | ↓25.0% | 451 | ↓29.6% | 350 | ↓33.6% | |
| Model Numbering | Material | (kN) | (kN/mm) | (kN/mm) | (kN/mm) | |||||
|---|---|---|---|---|---|---|---|---|---|---|
| Outside Sleeve | Inside Sleeve | |||||||||
| SN12-C | C50 | N.A. | 176 | 0% | 318 | 0% | 323 | 0% | 284 | 0% |
| SN12-U | UHPC | N.A. | 218 | ↑24% | 424 | ↑33% | 445 | ↑38% | 367 | ↑29% |
| SS12-C-C | C50 | C50 | 152 | ↓14% | 291 | ↓8% | 299 | ↓7% | 268 | ↓6% |
| SS12-C-U | C50 | UHPC | 191 | ↑8% | 389 | ↑22% | 410 | ↑27% | 361 | ↑27% |
| SS12-U-U | UHPC | UHPC | 200 | ↑14% | 411 | ↑29% | 438 | ↑36% | 372 | ↑31% |
| Model Numbering | Stud Height (mm) | (kN) | (kN/mm) | (kN/mm) | (kN/mm) | ||||
|---|---|---|---|---|---|---|---|---|---|
| SS12-H80 | 80 | 199 | ↑4% | 427 | ↑10% | 458 | ↑12% | 402 | ↑11% |
| SS12-H100 | 100 | 198 | ↑4% | 416 | ↑7% | 440 | ↑7% | 391 | ↑8% |
| SS12-H120 | 120 | 191 | 0% | 407 | ↑5% | 436 | ↑6% | 385 | ↑7% |
| SS12-H150 | 150 | 192 | ↑1% | 400 | ↑3% | 427 | ↑4% | 375 | ↑4% |
| SS12-H180 | 180 | 192 | ↑1% | 393 | ↑2% | 418 | ↑2% | 365 | ↑1% |
| SS12-H200 | 200 | 191 | 0% | 389 | 0% | 410 | 0% | 361 | 0% |
| SS12-H220 | 220 | 190 | ↓1% | 382 | ↓2% | 402 | ↓2% | 353 | ↓2% |
| SS12-H250 | 250 | 189 | ↓1% | 378 | ↓3% | 395 | ↓4% | 349 | ↓3% |
| Model Numbering | Stud Diameter/Sleeve Diameter | (kN) | (kN/mm) | (kN/mm) | (kN/mm) | ||||
|---|---|---|---|---|---|---|---|---|---|
| SS12-R19-D50 | 0.38 | 153 | ↓3% | 322 | ↓3% | 347 | ↓1% | 302 | ↓2% |
| SS12-R19-D60 | 0.32 | 159 | 0% | 331 | 0% | 351 | 0% | 307 | 0% |
| SS12-R19-D70 | 0.27 | 164 | ↑3% | 344 | ↑4% | 373 | ↑6% | 318 | ↑4% |
| SS12-R19-D80 | 0.24 | 168 | ↑6% | 352 | ↑6% | 387 | ↑10% | 318 | ↑4% |
| SS12-R19-D90 | 0.21 | 169 | ↑6% | 362 | ↑9% | 403 | ↑15% | 331 | ↑7% |
| SS12-R22-D50 | 0.44 | 186 | ↓3% | 374 | ↓4% | 385 | ↓6% | 349 | ↓3% |
| SS12-R22-D60 | 0.37 | 191 | 0% | 389 | 0% | 410 | 0% | 361 | 0% |
| SS12-R22-D70 | 0.31 | 196 | ↑3% | 398 | ↑2% | 415 | ↑1% | 369 | ↑2% |
| SS12-R22-D80 | 0.28 | 206 | ↑8% | 413 | ↑6% | 436 | ↑6% | 374 | ↑4% |
| SS12-R22-D90 | 0.24 | 207 | ↑8% | 416 | ↑7% | 447 | ↑9% | 380 | ↑5% |
| SS12-R25-D50 | 0.5 | 222 | ↓3% | 431 | ↓3% | 443 | ↓3% | 402 | ↓3% |
| SS12-R25-D60 | 0.42 | 228 | 0% | 443 | 0% | 455 | 0% | 414 | 0% |
| SS12-R25-D70 | 0.35 | 236 | ↑4% | 456 | ↑3% | 475 | ↑4% | 426 | ↑3% |
| SS12-R25-D80 | 0.31 | 246 | ↑8% | 458 | ↑3% | 474 | ↑4% | 423 | ↑2% |
| SS12-R25-D90 | 0.28 | 250 | ↑10% | 469 | ↑6% | 481 | ↑6% | 430 | ↑4% |
Disclaimer/Publisher’s Note: The statements, opinions and data contained in all publications are solely those of the individual author(s) and contributor(s) and not of MDPI and/or the editor(s). MDPI and/or the editor(s) disclaim responsibility for any injury to people or property resulting from any ideas, methods, instructions or products referred to in the content. |
© 2024 by the authors. Licensee MDPI, Basel, Switzerland. This article is an open access article distributed under the terms and conditions of the Creative Commons Attribution (CC BY) license (https://creativecommons.org/licenses/by/4.0/).
Share and Cite
Wu, F.; Su, H.; Su, Q.; Yuan, B. Shear Performance Study of Sleeved Stud Connectors in Continuous Composite Girder. Materials 2024, 17, 3326. https://doi.org/10.3390/ma17133326
Wu F, Su H, Su Q, Yuan B. Shear Performance Study of Sleeved Stud Connectors in Continuous Composite Girder. Materials. 2024; 17(13):3326. https://doi.org/10.3390/ma17133326
Chicago/Turabian StyleWu, Fei, Hang Su, Qingtian Su, and Bo Yuan. 2024. "Shear Performance Study of Sleeved Stud Connectors in Continuous Composite Girder" Materials 17, no. 13: 3326. https://doi.org/10.3390/ma17133326
APA StyleWu, F., Su, H., Su, Q., & Yuan, B. (2024). Shear Performance Study of Sleeved Stud Connectors in Continuous Composite Girder. Materials, 17(13), 3326. https://doi.org/10.3390/ma17133326

