Novel Sol-Gel Synthesis Route for Ce- and V-Doped Ba0.85Ca0.15Ti0.9Zr0.1O3 Piezoceramics
Abstract
1. Introduction
2. Materials and Methods
2.1. Synthesis
2.2. Sample Preparation
2.3. Characterization Methods
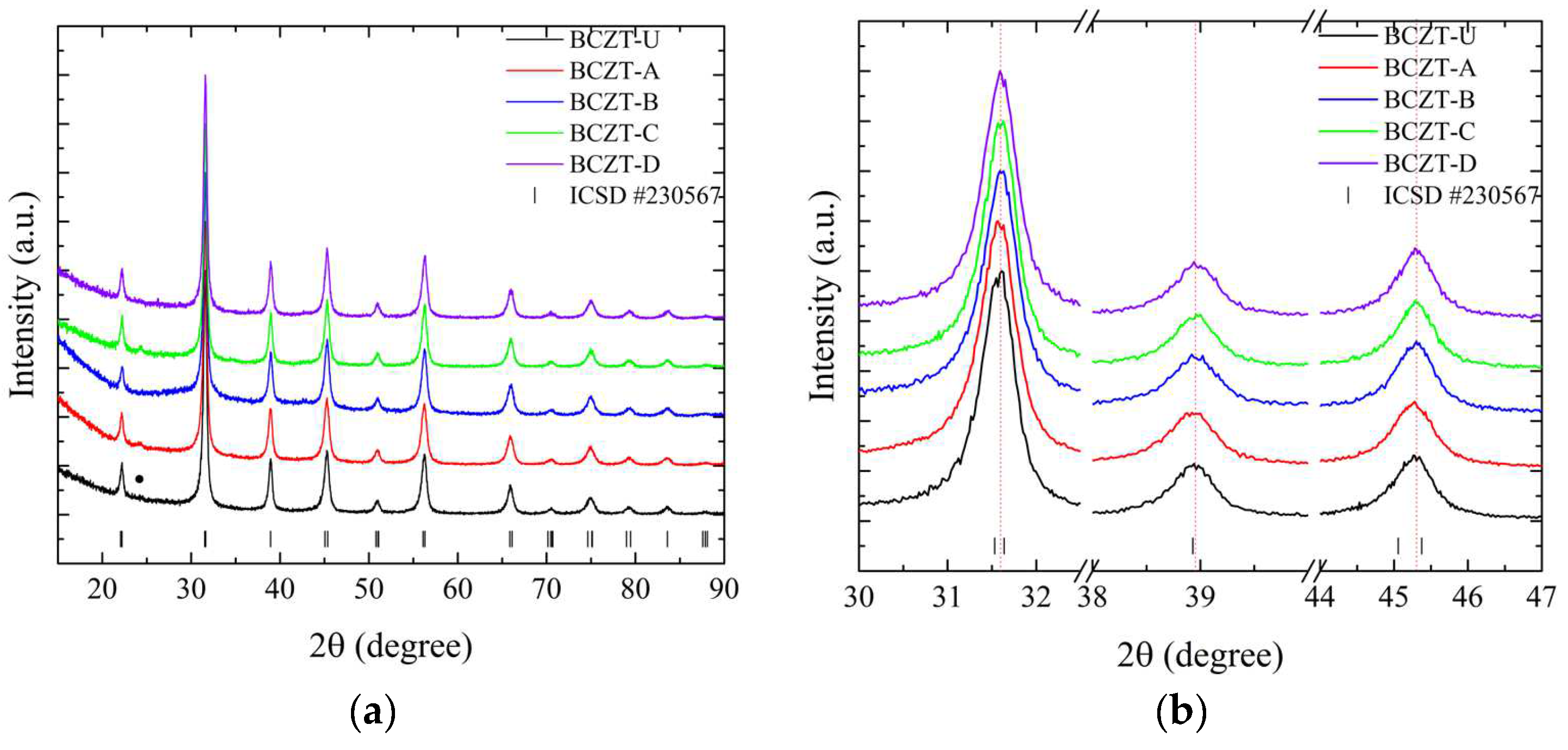
3. Results and Discussions
4. Conclusions
Author Contributions
Funding
Data Availability Statement
Acknowledgments
Conflicts of Interest
References
- Sekhar, M.C.; Veena, E.; Kumar, N.S.; Naidu, K.C.B.; Mallikarjuna, A.; Basha, D.B. A Review on Piezoelectric Materials and Their Applications. Cryst. Res. Technol. 2023, 58, 2200130. [Google Scholar] [CrossRef]
- Shaukat, H.; Ali, A.; Bibi, S.; Mehmood, S.; Altabey, W.A.; Noori, M.; Kouritem, S.A. Piezoelectric Materials: Advanced Applications in Electro-Chemical Processes. Energy Rep. 2023, 9, 4306–4324. [Google Scholar] [CrossRef]
- Sezer, N.; Koç, M. A Comprehensive Review on the State-of-the-Art of Piezoelectric Energy Harvesting. Nano Energy 2021, 80, 105567. [Google Scholar] [CrossRef]
- Yamashita, Y.; Karaki, T.; Lee, H.-Y.; Wan, H.; Kim, H.-P.; Jiang, X. A Review of Lead Perovskite Piezoelectric Single Crystals and Their Medical Transducers Application. IEEE Trans. Ultrason. Ferroelect. Freq. Contr. 2022, 69, 3048–3056. [Google Scholar] [CrossRef] [PubMed]
- Song, H.; Shan, X.; Li, R.; Hou, C. Review on the Vibration Suppression of Cantilever Beam through Piezoelectric Materials. Adv. Eng. Mater. 2022, 24, 2200408. [Google Scholar] [CrossRef]
- Shellaiah, M.; Sun, K.W. Review on Sensing Applications of Perovskite Nanomaterials. Chemosensors 2020, 8, 55. [Google Scholar] [CrossRef]
- Pyun, J.Y.; Kim, Y.H.; Park, K.K. Design of Piezoelectric Acoustic Transducers for Underwater Applications. Sensors 2023, 23, 1821. [Google Scholar] [CrossRef] [PubMed]
- Tilley, R.J.D. Perovskites: Structure-Property Relationships, 1st ed.; Wiley: Chichester, UK, 2016; ISBN 978-1-118-93566-8. [Google Scholar]
- Waqar, M.; Wu, H.; Chen, J.; Yao, K.; Wang, J. Evolution from Lead-Based to Lead-Free Piezoelectrics: Engineering of Lattices, Domains, Boundaries, and Defects Leading to Giant Response. Adv. Mater. 2022, 34, 2106845. [Google Scholar] [CrossRef]
- Wu, J. Perovskite Lead-Free Piezoelectric Ceramics. J. Appl. Phys. 2020, 127, 190901. [Google Scholar] [CrossRef]
- Chen, T.-L.; Kim, H.; Pan, S.-Y.; Tseng, P.-C.; Lin, Y.-P.; Chiang, P.-C. Implementation of Green Chemistry Principles in Circular Economy System towards Sustainable Development Goals: Challenges and Perspectives. Sci. Total Environ. 2020, 716, 136998. [Google Scholar] [CrossRef]
- Zimmerman, J.B.; Anastas, P.T.; Erythropel, H.C.; Leitner, W. Designing for a Green Chemistry Future. Science 2020, 367, 397–400. [Google Scholar] [CrossRef]
- Liu, W.; Ren, X. Large Piezoelectric Effect in Pb-Free Ceramics. Phys. Rev. Lett. 2009, 103, 257602. [Google Scholar] [CrossRef]
- Acosta, M.; Khakpash, N.; Someya, T.; Novak, N.; Jo, W.; Nagata, H.; Rossetti, G.A.; Rödel, J. Origin of the large piezoactivity in (1 − x)Ba(Zr0.2Ti0.8)O3 − X(Ba0.7Ca0.3)TiO3 ceramics. Phys. Rev. B 2015, 91, 104108. [Google Scholar] [CrossRef]
- Kaddoussi, H.; Lahmar, A.; Gagou, Y.; Manoun, B.; Chotard, J.N.; Dellis, J.-L.; Kutnjak, Z.; Khemakhem, H.; Elouadi, B.; El Marssi, M. Sequence of Structural Transitions and Electrocaloric Properties in (Ba1−xCax)(Zr0.1Ti0.9)O3 Ceramics. J. Alloys Compd. 2017, 713, 164–179. [Google Scholar] [CrossRef]
- Sahoo, B.; Thejas, T.S.; Politova, E.D.; Panda, P.K. Effect of Dopants on Electrical Properties of BCT-BZT Lead Free Piezo Ceramics: A Review. Ferroelectrics 2021, 582, 46–62. [Google Scholar] [CrossRef]
- Liu, W.; Cheng, L.; Li, S. Prospective of (BaCa)(ZrTi)O3 Lead-Free Piezoelectric Ceramics. Crystals 2019, 9, 179. [Google Scholar] [CrossRef]
- Fadhlina, H.; Atiqah, A.; Zainuddin, Z. A Review on Lithium Doped Lead-Free Piezoelectric Materials. Mater. Today Commun. 2022, 33, 104835. [Google Scholar] [CrossRef]
- You, Y.; Guo, X. Grain Size Engineering Enhanced Dielectric, Ferroelectric and Energy Storage Properties in SnO2 Modified BCZT Lead-Free Ceramics. J. Alloys Compd. 2022, 918, 165557. [Google Scholar] [CrossRef]
- Bian, T.; Zhou, T.; Zhang, Y. Preparation and Applications of Rare-Earth-Doped Ferroelectric Oxides. Energies 2022, 15, 8442. [Google Scholar] [CrossRef]
- Buatip, N.; Promsawat, N.; Pisitpipathsin, N.; Namsar, O.; Pawasri, P.; Ounsung, K.; Phabsimma, K.; Rattanachan, S.T.; Janphuang, P.; Projprapai, S. Investigation on Electrical Properties of BCZT Ferroelectric Ceramics Prepared at Various Sintering Conditions. Integr. Ferroelectr. 2018, 187, 45–52. [Google Scholar] [CrossRef]
- Buatip, N.; Dhanunjaya, M.; Amonpattaratkit, P.; Pomyai, P.; Sonklin, T.; Reichmann, K.; Janphaung, P.; Pojprapai, S. Comparison of Conventional and Reactive Sintering Techniques for Lead–Free BCZT Ferroelectric Ceramics. Radiat. Phys. Chem. 2020, 172, 108770. [Google Scholar] [CrossRef]
- Hanani, Z.; Mezzane, D.; Amjoud, M.; Fourcade, S.; Razumnaya, A.G.; Luk’yanchuk, I.A.; Gouné, M. Enhancement of Dielectric Properties of Lead-Free BCZT Ferroelectric Ceramics by Grain Size Engineering. Superlattices Microstruct. 2019, 127, 109–117. [Google Scholar] [CrossRef]
- Bijalwan, V.; Tofel, P.; Erhart, J.; Maca, K. The Complex Evaluation of Functional Properties of Nearly Dense BCZT Ceramics and Their Dependence on the Grain Size. Ceram. Int. 2019, 45, 317–326. [Google Scholar] [CrossRef]
- Coondoo, I.; Panwar, N.; Alikin, D.; Bdikin, I.; Islam, S.S.; Turygin, A.; Shur, V.Y.; Kholkin, A.L. A Comparative Study of Structural and Electrical Properties in Lead-Free BCZT Ceramics: Influence of the Synthesis Method. Acta Mater. 2018, 155, 331–342. [Google Scholar] [CrossRef]
- Chen, X.; Chao, X.; Yang, Z. Submicron Barium Calcium Zirconium Titanate Ceramic for Energy Storage Synthesised via the Co-Precipitation Method. Mater. Res. Bull. 2019, 111, 259–266. [Google Scholar] [CrossRef]
- Wang, X.; Huan, Y.; Zhu, Y.; Zhang, P.; Yang, W.; Li, P.; Wei, T.; Li, L.; Wang, X. Defect Engineering of BCZT-Based Piezoelectric Ceramics with High Piezoelectric Properties. J. Adv. Ceram. 2022, 11, 184–195. [Google Scholar] [CrossRef]
- Genenko, Y.A.; Glaum, J.; Hoffmann, M.J.; Albe, K. Mechanisms of aging and fatigue in ferroelectrics. Mater. Sci. Eng. B 2015, 192, 52–82. [Google Scholar] [CrossRef]
- Koruza, J.; Bell, A.J.; Frömling, T.; Webber, K.G.; Wang, K.; Rödel, J. Requirements for the transfer of lead-free piezoceramics into application. J. Mater. 2018, 4, 13–26. [Google Scholar] [CrossRef]
- Bijalwan, V.; Hughes, H.; Pooladvand, H.; Tofel, P.; Nan, B.; Holcman, V.; Bai, Y.; Button, T.W. The Effect of Sintering Temperature on the Microstructure and Functional Properties of BCZT-xCeO2 Lead Free Ceramics. Mater. Res. Bull. 2019, 114, 121–129. [Google Scholar] [CrossRef]
- Hayati, R.; Bahrevar, M.A.; Ganjkhanlou, Y.; Rojas, V.; Koruza, J. Electromechanical Properties of Ce-Doped (Ba0.85Ca0.15)(Zr0.1Ti0.9)O3 Lead-Free Piezoceramics. J. Adv. Ceram. 2019, 8, 186–195. [Google Scholar] [CrossRef]
- Bijalwan, V.; Tofel, P. Synthesis of High Density Sub-10 Μm (Ba0.85Ca0.15)(Zr0.1Ti0.9)O3−xCeO2 Lead-Free Ceramics Using a Two-Step Sintering Technique. J. Asian Ceram. Soc. 2019, 7, 536–543. [Google Scholar] [CrossRef]
- Bijalwan, V.; Tofel, P.; Holcman, V. Grain Size Dependence of the Microstructures and Functional Properties of (Ba0.85Ca0.15−xCex) (Zr0.1Ti0.9)O3 Lead-Free Piezoelectric Ceramics. J. Asian Ceram. Soc. 2018, 6, 384–393. [Google Scholar] [CrossRef]
- Verma, R.; Chauhan, A.; Batoo, K.M.; Hadi, M.; Raslan, E.H.; Kumar, R.; Ijaz, M.F.; Assaifan, A.K. Structural, Optical, and Electrical Properties of Vanadium-Doped, Lead-Free BCZT Ceramics. J. Alloys Compd. 2021, 869, 159520. [Google Scholar] [CrossRef]
- Yang, Y.; Guo, J.; Ma, W.; Zhao, H.; Ma, M.; Wu, J.; Chi, M. Effects of V2O5 Doping on the Structure and Electrical Properties of BCZT Lead-Free Piezoelectric Ceramics. J. Mater. Sci. Mater. Electron. 2019, 30, 2854–2863. [Google Scholar] [CrossRef]
- Köllner, D.; Niedermeyer, S.; Vermes, M.; Simon, S.; Kakimoto, K.; Fey, T. Energy-Reduced Fabrication of Light-Frame Ceramic Honeycombs by Replication of Additive Manufactured Templates. Materials 2023, 16, 4924. [Google Scholar] [CrossRef]
- Navas, D.; Fuentes, S.; Castro-Alvarez, A.; Chavez-Angel, E. Review on Sol-Gel Synthesis of Perovskite and Oxide Nanomaterials. Gels 2021, 7, 275. [Google Scholar] [CrossRef] [PubMed]
- Schneider, C.A.; Rasband, W.S.; Eliceiri, K.W. NIH Image to ImageJ: 25 Years of Image Analysis. Nat. Methods 2012, 9, 671–675. [Google Scholar] [CrossRef] [PubMed]
- Fluck, E. Inorganic Crystal Structure Database (ICSD) and Standardized Data and Crystal Chemical Characterization of Inorganic Structure Types (TYPIX)—Two Tools for Inorganic Chemists. J. Res. Natl. Inst. Stand. Technol. 1996, 101, 217. [Google Scholar] [CrossRef] [PubMed]
- Shannon, R.D. Revised Effective Ionic Radii and Systematic Studies of Interatomic Distances in Halides and Chalcogenides. Acta Cryst. A 1976, 32, 751–767. [Google Scholar] [CrossRef]
- Cui, Y.; Liu, X.; Jiang, M.; Zhao, X.; Shan, X.; Li, W.; Yuan, C.; Zhou, C. Lead-Free (Ba0.85Ca0.15)(Ti0.9Zr0.1)O3–CeO2 Ceramics with High Piezoelectric Coefficient Obtained by Low-Temperature Sintering. Ceram. Int. 2012, 38, 4761–4764. [Google Scholar] [CrossRef]
- Shannon, R.D.; Prewitt, C.T. Effective Ionic Radii in Oxides and Fluorides. Acta Cryst. B 1969, 25, 925–946. [Google Scholar] [CrossRef]
- Chandrakala, E.; Paul Praveen, J.; Kumar, A.; James, A.R.; Das, D. Strain-Induced Structural Phase Transition and Its Effect on Piezoelectric Properties of (BZT-BCT)-(CeO2) Ceramics. J. Am. Ceram. Soc. 2016, 99, 3659–3669. [Google Scholar] [CrossRef]
- Hassanzadeh-Tabrizi, S.A. Precise Calculation of Crystallite Size of Nanomaterials: A Review. J. Alloys Compd. 2023, 968, 171914. [Google Scholar] [CrossRef]
- Cullity, B.D.; Stock, S.R. Elements of X-ray Diffraction, 3rd ed.; New Internat, Ed.; Pearson Education: Harlow, UK, 2014; ISBN 978-1-292-04054-7. [Google Scholar]
- Hao, J.; Bai, W.; Li, W.; Zhai, J. Correlation Between the Microstructure and Electrical Properties in High-Performance (Ba0.85Ca0.15)(Zr0.1Ti0.9)O3 Lead-Free Piezoelectric Ceramics. J. Am. Ceram. Soc. 2012, 95, 1998–2006. [Google Scholar] [CrossRef]
- Sapkal, S.; Kandasubramanian, B.; Panda, H.S. A Review of Piezoelectric Materials for Nanogenerator Applications. J. Mater. Sci. Mater. Electron. 2022, 33, 26633–26677. [Google Scholar] [CrossRef]









| Abbreviation | Meaning |
|---|---|
| U | Undoped samples |
| A | Samples doped with 0.02 mol% of Ce |
| B | Samples doped with 0.4 mol% of V |
| C | Samples doped with 0.01 mol% of Ce |
| D | Samples doped with 0.3 mol% of V |
| AB | Samples doped with 0.02 mol% of Ce and 0.4 mol% of V |
| AD | Samples doped with 0.02 mol% of Ce and 0.3 mol% of V |
| CB | Samples doped with 0.01 mol% of Ce and 0.4 mol% of V |
| CD | Samples doped with 0.01 mol% of Ce and 0.3 mol% of V |
| Sample | Sintering Temperature [°C] | Archimedes Density [g/cm3] | Standard Deviation | Maximum Permittivity [1 kHz] | d33 [PC/N] | TC [at 1 kHz] | tan δ [at 1 kHz, RT] |
|---|---|---|---|---|---|---|---|
| BCZT-U | 1250 | 5.494 | 0.003 | 1682.634 | 6 | 60.013 | 0.055 |
| 1350 | 5.559 | 0.020 | 6131.59 | 58.333 | 68.585 | 0.012 | |
| 1450 | 5.659 | 0.016 | 7819.863 | 115 | 71.062 | 0.012 | |
| BCZT-A | 1250 | 5.510 | 0.021 | 2084.624 | 5 | 45.031 | 0.099 |
| 1350 | 5.516 | 0.013 | 5402.391 | 8 | 68.097 | 0.018 | |
| 1450 | 5.678 | 0.005 | 7799.113 | 35.67 | 68.598 | 0.020 | |
| BCZT-B | 1250 | 5.409 | 0.028 | 5314.521 | 81.333 | 109.069 | 0.041 |
| 1350 | 5.386 | 0.033 | 5719.596 | 70 | 105.145 | 0.040 | |
| 1450 | 5.421 | 0.021 | 6419.387 | 83.667 | 109.974 | 0.026 | |
| BCZT-C | 1250 | 5.542 | 0.044 | 2148.203 | 8 | 64.534 | 0.036 |
| 1350 | 5.546 | 0.033 | 4082.467 | 6 | 78.631 | 0.010 | |
| 1450 | 5.635 | 0.019 | 5434.032 | 10.667 | 70.083 | 0.012 | |
| BCZT-D | 1250 | 5.044 | 0.068 | 1427.992 | 20 | 117.895 | 0.026 |
| 1350 | 5.372 | 0.030 | 7090.06 | 137.333 | 115.407 | 0.018 | |
| 1450 | 5.538 | 0.026 | 6264.774 | 117 | 117.894 | 0.012 | |
| BCZT-AB | 1250 | 5.670 | 0.265 | 6864.922 | 109 | 117.668 | 0.019 |
| 1350 | 5.192 | 0.058 | 7333.342 | 110.333 | 113.161 | 0.024 | |
| 1450 | 5.484 | 0.012 | 7786.893 | 127.333 | 118.040 | 0.014 | |
| BCZT-AD | 1250 | 5.513 | 0.022 | 5428.755 | 106 | 120.483 | 0.038 |
| 1350 | 5.492 | 0.047 | 6696.423 | 51 | 105.720 | 0.028 | |
| 1450 | 5.420 | 0.002 | 7181.887 | 41 | 106.765 | 0.035 | |
| BCZT-CD | 1250 | 5.551 | 0.040 | 5493.425 | 32.333 | 107.014 | 0.021 |
| 1350 | 5.286 | 0.030 | 6175.247 | 39.667 | 108.882 | 0.018 | |
| 1450 | 5.513 | 0.063 | 7282.937 | 93 | 110.826 | 0.027 | |
| BCZT-CB | 1250 | 5.482 | 0.033 | 3774.391 | 33 | 118.810 | 0.082 |
| 1350 | 5.481 | 0.009 | 5486.006 | 65.333 | 114.875 | 0.047 | |
| 1450 | 5.355 | 0.009 | 7124.909 | 58.333 | 111.499 | 0.042 |
| Properties | Conventional Lead-Free | Lead-Based | V-Doped Samples |
|---|---|---|---|
| d33 [PCN−1] | Up to 200 | Between 200 and 530 | Between 20 and 137 |
| Curie temperature [°C] | Between RT and 500 | Between 200 and 450 | Between 105 and 120 |
Disclaimer/Publisher’s Note: The statements, opinions and data contained in all publications are solely those of the individual author(s) and contributor(s) and not of MDPI and/or the editor(s). MDPI and/or the editor(s) disclaim responsibility for any injury to people or property resulting from any ideas, methods, instructions or products referred to in the content. |
© 2024 by the authors. Licensee MDPI, Basel, Switzerland. This article is an open access article distributed under the terms and conditions of the Creative Commons Attribution (CC BY) license (https://creativecommons.org/licenses/by/4.0/).
Share and Cite
Marques, L.S.; Weichelt, M.; Kuhfuß, M.; Rambo, C.R.; Fey, T. Novel Sol-Gel Synthesis Route for Ce- and V-Doped Ba0.85Ca0.15Ti0.9Zr0.1O3 Piezoceramics. Materials 2024, 17, 3228. https://doi.org/10.3390/ma17133228
Marques LS, Weichelt M, Kuhfuß M, Rambo CR, Fey T. Novel Sol-Gel Synthesis Route for Ce- and V-Doped Ba0.85Ca0.15Ti0.9Zr0.1O3 Piezoceramics. Materials. 2024; 17(13):3228. https://doi.org/10.3390/ma17133228
Chicago/Turabian StyleMarques, Larissa S., Michelle Weichelt, Michel Kuhfuß, Carlos R. Rambo, and Tobias Fey. 2024. "Novel Sol-Gel Synthesis Route for Ce- and V-Doped Ba0.85Ca0.15Ti0.9Zr0.1O3 Piezoceramics" Materials 17, no. 13: 3228. https://doi.org/10.3390/ma17133228
APA StyleMarques, L. S., Weichelt, M., Kuhfuß, M., Rambo, C. R., & Fey, T. (2024). Novel Sol-Gel Synthesis Route for Ce- and V-Doped Ba0.85Ca0.15Ti0.9Zr0.1O3 Piezoceramics. Materials, 17(13), 3228. https://doi.org/10.3390/ma17133228

