Study on Ratio Optimization and Diffusion-Gelation Process of Polymer Grouting Materials for Fracture Filling in Underground Mines
Abstract
1. Introduction
2. Materials and Methods
2.1. Grouting Material
2.2. Sample Preparation
2.2.1. Preparation Process of Polyurethane Slurry
2.2.2. Reaction Principle of Polyurethane Slurry
2.3. Testing of Polyurethane Slurry
3. Results and Discussion
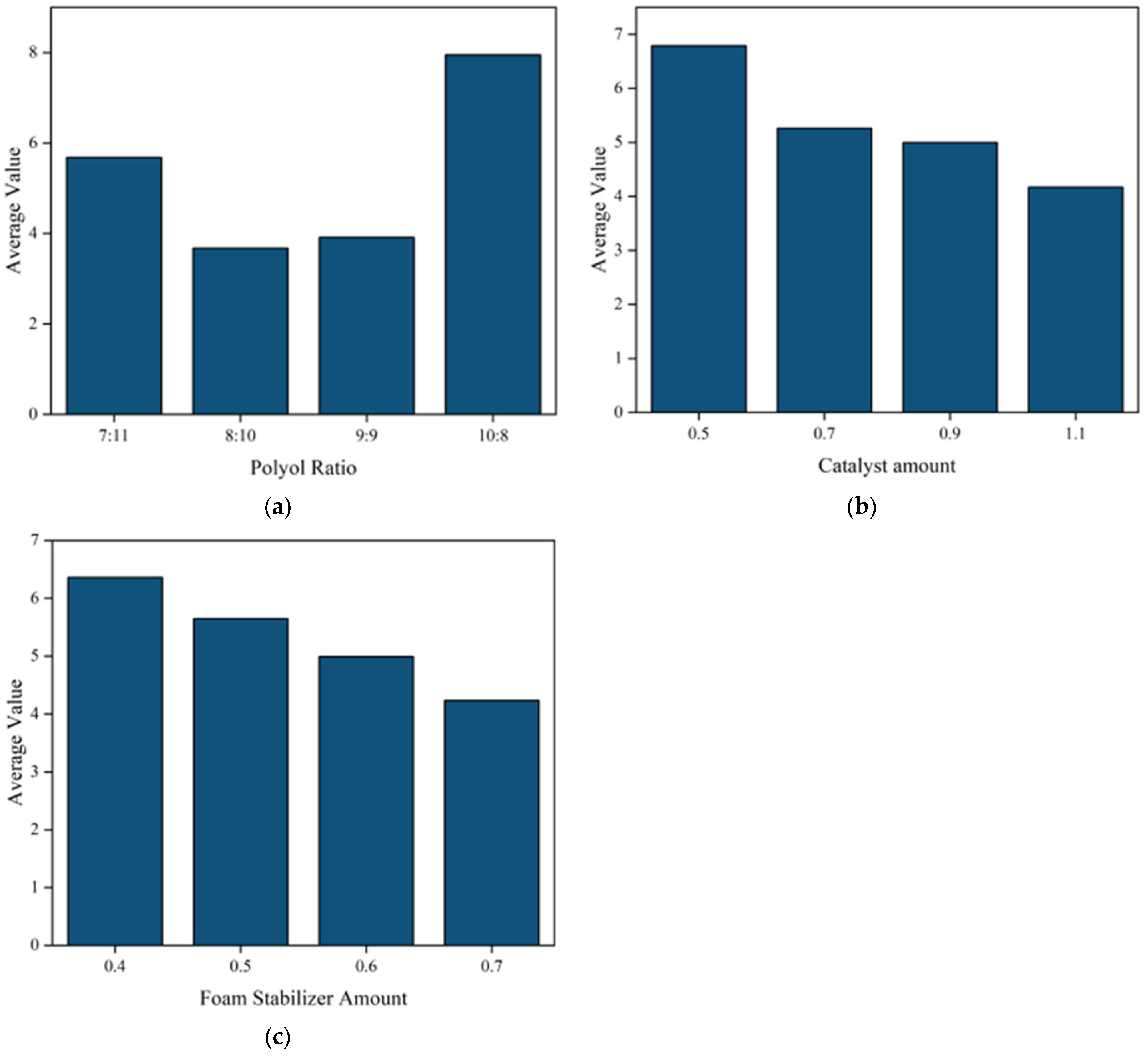
3.1. Orthogonal Experimental Analysis
3.2. The Gelation Process of Polyurethane Slurry
3.3. Analysis of Slurry Diffusion Process
3.4. Diffusion Distance
3.5. Slurry Pressure Distribution
4. Discussion
- The orthogonal test results indicate that a ratio of 10:8:0.5:0.4 for ethylenediamine, polypropylene oxide tetrol, glycerol, and polyether catalyst foam stabilizer produces polyurethane grouting material with optimal compressive strength in this experiment. The polyether polyol had the greatest effect on the compressive strength of the polyurethane, with a maximum strength value of 12.31 MPa.
- The polyurethane slurry’s initial viscosity and solidification time were notably reduced as the starting temperature rose, resulting in a gel time ranging from 20 to 68 s; the change rule of viscosity with time was not linear. The consistency of the polyurethane mixture remained relatively stable until it reached the gelation point; however, when the gelation point was reached, there was a significant increase in viscosity and the mixture quickly solidified.
- The movement process of polyurethane slurry in the fissure is divided into the infiltration stage, expansion stage, and curing stage. As the grouting mass increases, the slurry spreading distance also increases exponentially, while the spreading distance decreases as the pore diameter of the fissure increases.
- The slurry pressure decreases with increasing seepage distance. The change in slurry pressure is not synchronised with the change in diffusion distance, and the change in slurry pressure still occurs when the slurry stops diffusing. This is because when the polymer slurry stops spreading, the foaming reaction within the slurry is not finished, and the large amount of gas produced by the foaming reaction cannot easily escape in a closed or semi-closed fissure environment, resulting in a continuous change in slurry pressure.
Author Contributions
Funding
Institutional Review Board Statement
Informed Consent Statement
Data Availability Statement
Conflicts of Interest
References
- Carvalho, F.P. Mining Industry and Sustainable Development: Time for Change. Food Energy Secur. 2017, 6, 61–77. [Google Scholar] [CrossRef]
- Izatt, R.M.; Izatt, S.R.; Bruening, R.L.; Izatt, N.E.; Moyer, B.A. Challenges to Achievement of Metal Sustainability in Our High-Tech Society. Chem. Soc. Rev. 2014, 43, 2451–2475. [Google Scholar] [CrossRef] [PubMed]
- Dong, L.; Tong, X.; Li, X.; Zhou, J.; Wang, S.; Liu, B. Some Developments and New Insights of Environmental Problems and Deep Mining Strategy for Cleaner Production in Mines. J. Clean. Prod. 2019, 210, 1562–1578. [Google Scholar] [CrossRef]
- Yang, Z.; Zhao, Q.; Liu, X.; Yin, Z.; Zhao, Y.; Li, X. Experimental Study on the Movement and Failure Characteristics of Karst Mountain with Deep and Large Fissures Induced by Coal Seam Mining. Rock. Mech. Rock. Eng. 2022, 55, 4839–4867. [Google Scholar] [CrossRef]
- Nian, G.; Chen, Z.; Zhu, T.; Zhang, L.; Zhou, Z. Experimental Study on the Failure of Fractured Rock Slopes with Anti-Dip and Strong Weathering Characteristics under Rainfall Conditions. Landslides 2024, 21, 165–182. [Google Scholar] [CrossRef]
- Bai, E.; Guo, W.; Tan, Y. Negative Externalities of High-Intensity Mining and Disaster Prevention Technology in China. Bull. Eng. Geol. Environ. 2019, 78, 5219–5235. [Google Scholar] [CrossRef]
- Bo, L.; Yang, S.; Liu, Y.; Zhang, Z.; Wang, Y.; Wang, Y. Coal Mine Solid Waste Backfill Process in China: Current Status and Challenges. Sustainability 2023, 15, 13489. [Google Scholar] [CrossRef]
- Li, S.; Liu, R.; Zhang, Q.; Zhang, X. Protection against Water or Mud Inrush in Tunnels by Grouting: A Review. J. Rock Mech. Geotech. Eng. 2016, 8, 753–766. [Google Scholar] [CrossRef]
- Wu, L.; Wu, Z.; Weng, L.; Liu, Y.; Liu, Q. Investigation on Basic Properties and Microscopic Mechanisms of Polyacrylate Latex Modified Cement Grouting Material for Water Blocking and Reinforcement. Constr. Build. Mater. 2023, 409, 133872. [Google Scholar] [CrossRef]
- Wang, S.; Gong, R.; Li, Z.; Yuan, C.; Jiang, G.; Wang, J.; Chen, L.; Ye, C. Water-Blocking Nano-Composite Cement-Based Grouting Materials. Appl. Nanosci. 2019, 9, 1565–1578. [Google Scholar] [CrossRef]
- Cheng, M.; Zeng, Y.; Chen, L.; Yang, H. Long-Term Compressive Strength and Hydraulic Property of Nanosilica-Improved Sand in Different Soaking Environments. Mater. Today Commun. 2022, 33, 104853. [Google Scholar] [CrossRef]
- Ramkumar, V.R.; Murali, G.; Asrani, N.P.; Karthikeyan, K. Development of a Novel Low Carbon Cementitious Two Stage Layered Fibrous Concrete with Superior Impact Strength. J. Build. Eng. 2019, 25, 100841. [Google Scholar] [CrossRef]
- Yao, H.; Xie, Z.; Huang, C.; Yuan, Q.; Yu, Z. Recent Progress of Hydrophobic Cement-Based Materials: Preparation, Characterization and Properties. Constr. Build. Mater. 2021, 299, 124255. [Google Scholar] [CrossRef]
- Zhou, C.; Ren, F.; Wang, Z.; Chen, W.; Wang, W. Why Permeability to Water Is Anomalously Lower than That to Many Other Fluids for Cement-Based Material? Cem. Concr. Res. 2017, 100, 373–384. [Google Scholar] [CrossRef]
- Jing, M.; Ni, G.; Zhu, C.; Li, Z.; Wang, G.; Wang, Z.; Huang, Q. Effect of New Modified Materials on the Microscopic Pore Structure and Hydration Characteristics of Sealing Materials in Coal Seam Boreholes. Constr. Build. Mater. 2023, 377, 131076. [Google Scholar] [CrossRef]
- Sabri, M.M.S.; Vatin, N.I.; Alsaffar, K.A.M. Soil Injection Technology Using an Expandable Polyurethane Resin: A Review. Polymers 2021, 13, 3666. [Google Scholar] [CrossRef]
- Cui, Y.; Tan, Z.; Han, D.; Song, J. Investigation and Application of a High Performance Grouting Material in Water-Rich Silty Fine Sand Stratum. Constr. Build. Mater. 2022, 329, 127100. [Google Scholar] [CrossRef]
- Xue, Y.; Kong, F.; Li, S.; Qiu, D.; Su, M.; Li, Z.; Zhou, B. Water and Mud Inrush Hazard in Underground Engineering: Genesis, Evolution and Prevention. Tunn. Undergr. Space Technol. 2021, 114, 103987. [Google Scholar] [CrossRef]
- Qin, Z.; Shi, Q.; Qin, D.; Wang, H.; Luo, Y.; Wang, W. Performance Comparison of Geopolymer and Clay-Cement Grouting Pastes and Goaf Effect Evaluation of Grouting Backfilling Method. Front. Mater. 2023, 10, 1301504. [Google Scholar] [CrossRef]
- Yang, Z.; Zhang, X.; Liu, X.; Guan, X.; Zhang, C.; Niu, Y. Flexible and Stretchable Polyurethane/Waterglass Grouting Material. Constr. Build. Mater. 2017, 138, 240–246. [Google Scholar] [CrossRef]
- Jędrzejczak, P.; Collins, M.N.; Jesionowski, T.; Klapiszewski, Ł. The Role of Lignin and Lignin-Based Materials in Sustainable Construction—A Comprehensive Review. Int. J. Biol. Macromol. 2021, 187, 624–650. [Google Scholar] [CrossRef] [PubMed]
- Wang, C.; Guo, C.; Du, X.; Shi, M.; Liu, Q.; Xia, Y. Reinforcement of Silty Soil with Permeable Polyurethane by Penetration Injection. Constr. Build. Mater. 2021, 310, 124829. [Google Scholar] [CrossRef]
- Zia, K.M.; Bhatti, H.N.; Ahmad Bhatti, I. Methods for Polyurethane and Polyurethane Composites, Recycling and Recovery: A Review. React. Funct. Polym. 2007, 67, 675–692. [Google Scholar] [CrossRef]
- Wegener, G.; Brandt, M.; Duda, L.; Hofmann, J.; Klesczewski, B.; Koch, D.; Kumpf, R.-J.; Orzesek, H.; Pirkl, H.-G.; Six, C.; et al. Trends in Industrial Catalysis in the Polyurethane Industry. Appl. Catal. A Gen. 2001, 221, 303–335. [Google Scholar] [CrossRef]
- Yu, X.; Liu, L.; Wang, Y.; Bai, G.; Zhang, Y. Effects of Foaming and Drainage Behavior on Structure and Properties of Polyurethane/Water Glass (PU/WG) Grouting Materials for Coal Mines. Adv. Civil Eng. 2021, 2021, 5868654. [Google Scholar] [CrossRef]
- Xiang, X.J.; Qian, J.W.; Yang, W.Y.; Fang, M.H.; Qian, X.Q. Synthesis and Properties of Nanosilica-reinforced Polyurethane for Grouting. J. Appl. Polym. Sci. 2006, 100, 4333–4337. [Google Scholar] [CrossRef]
- Zhang, Q.; Hu, X.; Wu, M.; Zhao, Y.; Yu, C. Effects of Different Catalysts on the Structure and Properties of Polyurethane/Water Glass Grouting Materials. J. Appl. Polym. Sci. 2018, 135, 46460. [Google Scholar] [CrossRef]
- Yuan, J.; Chen, W.; Tan, X.; Yang, D.; Zhang, Q. New Method to Evaluate Antiwashout Performance of Grout for Preventing Water-Inrush Disasters. Int. J. Geomech. 2020, 20, 06019021. [Google Scholar] [CrossRef]
- Saleh, S.; Yunus, N.Z.M.; Ahmad, K.; Ali, N. Improving the Strength of Weak Soil Using Polyurethane Grouts: A Review. Constr. Build. Mater. 2019, 202, 738–752. [Google Scholar] [CrossRef]
- Wei, Y.; Wang, F.; Gao, X.; Zhong, Y. Microstructure and Fatigue Performance of Polyurethane Grout Materials under Compression. J. Mater. Civ. Eng. 2017, 29, 04017101. [Google Scholar] [CrossRef]
- Naudts, A. Irreversible Changes in the Grouting Industry Caused by Polyurethane Grouting: An Overview of 30 Years of Polyurethane Grouting. In Proceedings of the Grouting and Ground Treatment; American Society of Civil Engineers: New Orleans, LA, USA, 2003; pp. 1266–1280. [Google Scholar]
- Aktaş, M.; Karakuzu, R. Determination of Mechanical Properties of Glass-epoxy Composites in High Temperatures. Polym. Compos. 2009, 30, 1437–1441. [Google Scholar] [CrossRef]
- Xu, S.; Wang, S.; Zhong, Y.; Zhang, B.; Zhang, J.; Wang, Y.; Zhao, L. Compression Characteristics and Constitutive Model of Low-Exotherm Modified Polyurethane Grouting Materials. Adv. Civ. Eng. 2020, 2020, 1958473. [Google Scholar] [CrossRef]
- Yeh, J.-M.; Yao, C.-T.; Hsieh, C.-F.; Yang, H.-C.; Wu, C.-P. Preparation and Properties of Amino-Terminated Anionic Waterborne-Polyurethane–Silica Hybrid Materials through a Sol–Gel Process in the Absence of an External Catalyst. Eur. Polym. J. 2008, 44, 2777–2783. [Google Scholar] [CrossRef]
- Rahman, M.M.; Hasneen, A.; Lee, W.-K.; Lim, K.T. Preparation and Properties of Sol–Gel Waterborne Polyurethane Adhesive. J. Sol-Gel Sci. Technol. 2013, 67, 473–479. [Google Scholar] [CrossRef]
- Liu, X.; Wang, J.; Huang, K.; Li, F. Experimental Study on Dynamic Water Grouting of Modified Water-Soluble Polyurethane. KSCE J. Civ. Eng. 2019, 23, 3897–3906. [Google Scholar] [CrossRef]
















| Grouting Material | Type | Dosage (g) | Specification |
|---|---|---|---|
| Isocyanate | MDI | 18 | Analytical reagent |
| Polyether polyol | GE-220 | 18 | Analytical reagent |
| Catalyst | DBTDL | 0.5–1.1 | Analytical reagent |
| Foam stabilizer | PMX-200 | 0.4–0.7 | Analytical reagent |
| Factor Level | Polyether Polyol (PPG:PEG) | Catalyst | Foam Stabilizer |
|---|---|---|---|
| 1 | 7:11 | 0.5 | 0.7 |
| 2 | 10:8 | 0.7 | 0.6 |
| 3 | 9:9 | 0.9 | 0.5 |
| 4 | 8:10 | 1.1 | 0.4 |
| Number | PPG:PEG | Catalyst | Foam Stabilizer |
|---|---|---|---|
| 1 | 7:11 | 0.5 | 0.7 |
| 2 | 7:11 | 0.7 | 0.6 |
| 3 | 7:11 | 0.9 | 0.5 |
| 4 | 7:11 | 1.1 | 0.4 |
| 5 | 10:8 | 0.5 | 0.6 |
| 6 | 10:8 | 0.7 | 0.7 |
| 7 | 10:8 | 0.9 | 0.4 |
| 8 | 10:8 | 1.1 | 0.5 |
| 9 | 9:9 | 0.5 | 0.5 |
| 10 | 9:9 | 0.7 | 0.4 |
| 11 | 9:9 | 0.9 | 0.7 |
| 12 | 9:9 | 1.1 | 0.6 |
| 13 | 8:10 | 0.5 | 0.4 |
| 14 | 8:10 | 0.7 | 0.5 |
| 15 | 8:10 | 0.9 | 0.6 |
| 16 | 8:10 | 1.1 | 0.7 |
| Factor | Optimum Proportion | R |
|---|---|---|
| PPG:PEG | 10:8 | 4.27 |
| Catalyst | 0.5 | 2.63 |
| Foam stabilizer | 0.4 | 2.13 |
| Temperature/°C | A0 | Correlation R2 |
|---|---|---|
| 25 | 1.415 × 10−15 | 0.972 |
| 30 | 2.912 × 10−10 | 0.983 |
| 35 | 9.527 × 10−4 | 0.986 |
| 40 | 8.936 × 10−4 | 0.975 |
Disclaimer/Publisher’s Note: The statements, opinions and data contained in all publications are solely those of the individual author(s) and contributor(s) and not of MDPI and/or the editor(s). MDPI and/or the editor(s) disclaim responsibility for any injury to people or property resulting from any ideas, methods, instructions or products referred to in the content. |
© 2024 by the authors. Licensee MDPI, Basel, Switzerland. This article is an open access article distributed under the terms and conditions of the Creative Commons Attribution (CC BY) license (https://creativecommons.org/licenses/by/4.0/).
Share and Cite
Zhang, X.; Wang, E. Study on Ratio Optimization and Diffusion-Gelation Process of Polymer Grouting Materials for Fracture Filling in Underground Mines. Materials 2024, 17, 3064. https://doi.org/10.3390/ma17133064
Zhang X, Wang E. Study on Ratio Optimization and Diffusion-Gelation Process of Polymer Grouting Materials for Fracture Filling in Underground Mines. Materials. 2024; 17(13):3064. https://doi.org/10.3390/ma17133064
Chicago/Turabian StyleZhang, Xuanning, and Ende Wang. 2024. "Study on Ratio Optimization and Diffusion-Gelation Process of Polymer Grouting Materials for Fracture Filling in Underground Mines" Materials 17, no. 13: 3064. https://doi.org/10.3390/ma17133064
APA StyleZhang, X., & Wang, E. (2024). Study on Ratio Optimization and Diffusion-Gelation Process of Polymer Grouting Materials for Fracture Filling in Underground Mines. Materials, 17(13), 3064. https://doi.org/10.3390/ma17133064
