Influence of the Properties of Different Types of Recycled Aggregate on the Service Properties and Leaching of Paving Blocks Manufactured at Industrial Scale
Abstract
1. Introduction
2. Materials and Methods
2.1. Materials
2.2. Dossage under Industrial Conditions
2.3. Specific Tests for Paving Blocks
2.4. Statistical Analysis
2.5. Ionic Leaching
3. Results
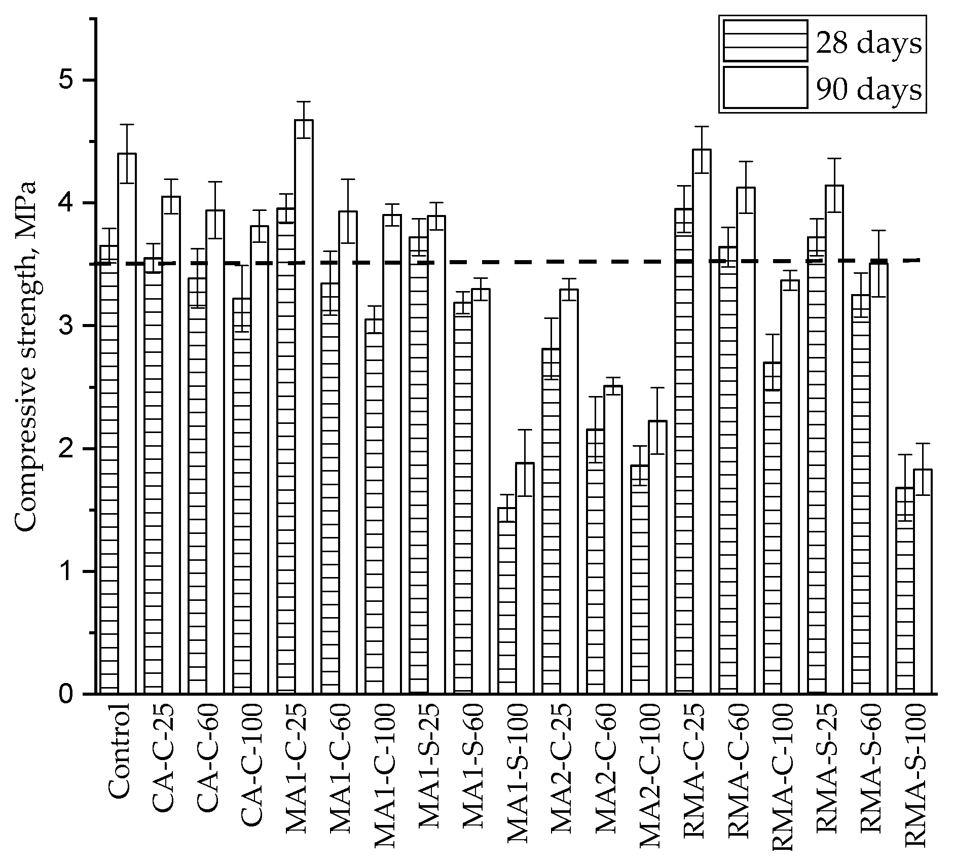
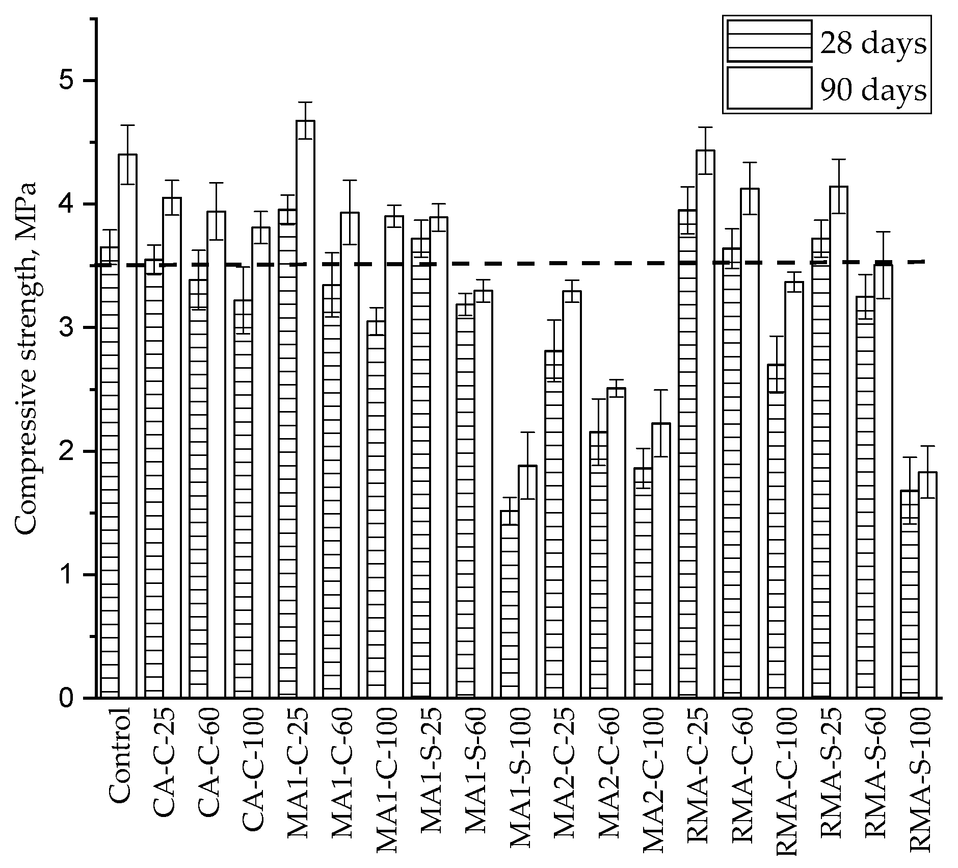
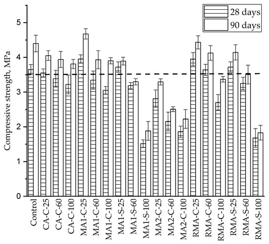
3.1. Mechanical Resistance
3.1.1. Coarse Aggregate
3.1.2. PCA of Samples with Coarse Recycled Aggregate
3.1.3. Fine Aggregate
3.1.4. PCA of Samples with Fine Recycled Aggregate
3.2. Water Absorption
3.3. Density, Abrasive Resistance and Slipping Resistance
3.3.1. PCA of the Block Density Measurements
3.3.2. PCA of the Abrasion Test
3.4. Leaching Test
3.4.1. Recycled Aggregate
3.4.2. Paving Blocks
4. Discussion
4.1. Mechanical Resistance
4.2. Water Absorption
4.3. Density, Abrasive Resistance and Slipping Resistance
4.4. Leaching
5. Conclusions
- There is clear evidence of the influence of the aggregate properties on the mechanical strength of the industrially manufactured paving blocks. The properties of the aggregates should be taken into account in the different standards, or at least limiting values should be included for different properties.
- All the recycled aggregates studied, except MA2, could replace 25% of the natural aggregate in the blocks produced.
- The ceramic and mixed aggregates used in this study (MA1, MA2 and RMA) show high values for the leaching of sulphate ions, increasing the established limit in the EU directive for being considered inert according to the EU Landfill Directive. The limit for chromium is exceeded by one of the recycled ceramic aggregates (MA2). Recycled concrete aggregates are classified as inert.
- All the manufactured paving blocks in this study can be considered environmentally safe (without risk of leaching) according to the Netherland Soil Quality Decree.
- It is possible to manufacture at industrial scale paving blocks with fine and coarse RMA, CA, and MA that meet the requirements of standard UNE-EN 1338 and the Netherland Soil Quality Decree. So, the paving blocks, in addition to reusing waste, give more safe products from an environmental point of view.
Supplementary Materials
Author Contributions
Funding
Institutional Review Board Statement
Informed Consent Statement
Data Availability Statement
Acknowledgments
Conflicts of Interest
References
- Tazi, N.; Idir, R.; Fraj, A.B. Towards achieving circularity in residential building materials: Potential stock, locks and opportunities. J. Clean. Prod. 2021, 281, 124489. [Google Scholar] [CrossRef]
- Ossio, F.; Salinas, C.; Hernández, H. Circular economy in the built environment: A systematic literature review and definition of the circular construction concept. J. Clean. Prod. 2023, 414, 137738. [Google Scholar] [CrossRef]
- Mhatre, P.; Gedam, V.; Unnikrishnan, S.; Verma, S. Circular economy in built environment—Literature review and theory development. J. Build. Eng. 2021, 35, 101995. [Google Scholar] [CrossRef]
- Leising, E.; Quist, J.; Bocken, N. Circular Economy in the building sector: Three cases and a collaboration tool. J. Clean. Prod. 2018, 176, 976–989. [Google Scholar] [CrossRef]
- Yu, Y.; Murat, D.; Bhochhibhoya, S.; Volker, L. Towards Circular Economy through Industrial Symbiosis in the Dutch construction industry: A case of recycled concrete aggregates. J. Clean. Prod. 2021, 293, 126083. [Google Scholar] [CrossRef]
- Jain, S.; Asce, S.M.; Chandrappa, A.K. Performance and Life Cycle Assessment of Recycled Mixtures Incorporating Reclaimed Asphalt and Waste Cooking Oil as Rejuvenator: Emphasis on Circular Economy. J. Mater. Civil Eng. 2024, 36, 04024153. [Google Scholar] [CrossRef]
- Mahpour, A. Prioritizing barriers to adopt circular economy in construction and demolition waste management. Resour. Conserv. Recycl. 2018, 134, 216–227. [Google Scholar] [CrossRef]
- Guo, X.; Zeng, M.; Yu, H.; Lin, F.; Li, J.; Wang, W.; Chen, G. Critical review for the potential analysis of material utilization from inorganic industrial solid waste. J. Clean. Prod. 2024, 459, 142457. [Google Scholar] [CrossRef]
- Assas, M.M. Durability of Green Concrete with Ternary Cementitious System Containing Recycled Aggregate Concrete and tire Rubber Wastes. J. Eng. Sci. Technol. 2016, 11, 899–915. [Google Scholar]
- Díaz, B.; Freire, L.; Nóvoa, X.R.; Pérez, M.C. Chloride and CO2 transport in cement paste containing red mud. Cem. Concr. Compos. 2015, 62, 178–186. [Google Scholar] [CrossRef]
- Ortega, J.M.; Sánchez, I.; Antón, C.; de Vera, G.; Climent, M.A. Influence of Environment on Durability of Fly Ash Cement Mortars. ACI Mater. J. 2012, 109, 647–656. [Google Scholar]
- Ortega, J.M.; Sánchez, I.; Cabeza, M.; Climent, M.A. Short-term behavior of slag concretes exposed to a real in situ mediterranean climate environment. Materials 2017, 10, 915. [Google Scholar] [CrossRef] [PubMed]
- Keskisaari, A.; Butylina, S.; Kärki, T. Use of construction and demolition wastes as mineral fillers in hybrid wood-polymer composites. J. Appl. Polym. Sci. 2016, 133, 19. [Google Scholar] [CrossRef]
- Marinelli, S.; Butturi, M.A.; Rimini, B.; Gamberini, R.; Sellitto, M.A. Estimating the circularity performance of an emerging industrial symbiosis network: The case of recycled plastic fibers in reinforced concrete. Sustainability 2021, 13, 10257. [Google Scholar] [CrossRef]
- López, V.; Llamas, B.; Juan, A.; Morán, J.M.; Guerra, I. Eco-efficient Concretes: Impact of the Use of White Ceramic Powder on the Mechanical Properties of Concrete. Biosyst. Eng. 2007, 96, 559–564. [Google Scholar] [CrossRef]
- Troian, V.; Gots, V.; Flatt, R.J.; Angst, U. Rehabilitating instead of rebuilding aged or damaged pre-fabricated concrete buildings for reducing CO2 emissions: The case of Ukraine. Mater. Struct. Constr. 2024, 57, 14. [Google Scholar] [CrossRef]
- Rodríguez, G.; Medina, C.; Alegre, F.J.; Asensio, E.; de Rojas, M.I.S. Assessment of Construction and Demolition Waste plant management in Spain: In pursuit of sustainability and eco-efficiency. J. Clean. Prod. 2015, 90, 16–24. [Google Scholar] [CrossRef]
- Engelsen, C.J.; Wibetoe, G.; van der Sloot, H.A.; Lund, W.; Petkovic, G. Field site leaching from recycled concrete aggregates applied as sub-base material in road construction. Sci. Total Environ. 2012, 427–428, 86–97. [Google Scholar] [CrossRef] [PubMed]
- Kechagia, P.; Koutroumpi, D.; Bartzas, G.; Peppas, A.; Samouhos, M.; Deligiannis, S.; Tsakiridis, P.E. Waste marble dust and recycled glass valorization in the production of ternary blended cements. Sci. Total Environ. 2021, 761, 143224. [Google Scholar] [CrossRef] [PubMed]
- Bogas, J.A.; Carriço, A.; Tenza-Abril, A.J. Microstructure of thermoactivated recycled cement pastes. Cem. Concr. Res. 2020, 138, 106226. [Google Scholar] [CrossRef]
- López-Gayarre, F.; Serna, P.; Domingo-Cabo, A.; Serrano-López, M.A.; López-Colina, C. Influence of recycled aggregate quality and proportioning criteria on recycled concrete properties. Waste Manag. 2009, 29, 3022–3028. [Google Scholar] [CrossRef] [PubMed]
- Poon, C.S.; Kou, S.C.; Wan, H.W.; Etxeberria, M. Properties of concrete blocks prepared with low grade recycled aggregates. Waste Manag. 2009, 29, 2369–2377. [Google Scholar] [CrossRef] [PubMed]
- Colangelo, F.; Petrillo, A.; Cioffi, R.; Borrelli, C.; Forcina, A. Life cycle assessment of recycled concretes: A case study in southern Italy. Sci. Total Environ. 2018, 615, 1506–1517. [Google Scholar] [CrossRef] [PubMed]
- UNE-EN 1992-1-1; Eurocode 2—Design of Concrete Structures—Part 1-1: General Rules and Rules for Buildings, Bridges and Civil Engineering Structures. AENOR: Madrid, Spain, 2020.
- Spanish Ministry of Transport Mobility and Urban Agenda, Structural Code; Spanish Ministry of Transport Mobility and Urban Agenda: Madrid, Spain, 2021.
- Bao, Z.; Lee, W.M.W.; Lu, W. Implementing on-site construction waste recycling in Hong Kong: Barriers and facilitators. Sci. Total Environ. 2020, 747, 141091. [Google Scholar] [CrossRef] [PubMed]
- UNE-EN 12620:2003+A1; Aggregates for Concrete. AENOR: Madrid, Spain, 2009.
- Gayarre, F.L.; López-Colina, C.; Serrano, M.A.; López-Martínez, A. Manufacture of concrete kerbs and floor blocks with recycled aggregate from C&DW. Constr. Build. Mater. 2013, 40, 1193–1199. [Google Scholar] [CrossRef]
- Lovato, P.S.; Possan, E.; Molin, D.C.C.D.; Masuero, Â.B.; Ribeiro, J.L.D. Modeling of mechanical properties and durability of recycled aggregate concretes. Constr. Build. Mater. 2012, 26, 437–447. [Google Scholar] [CrossRef]
- Rodríguez, C.; Parra, C.; Casado, G.; Miñano, I.; Albaladejo, F.; Benito, F.; Sánchez, I. The incorporation of construction and demolition wastes as recycled mixed aggregates in non-structural concrete precast pieces. J. Clean. Prod. 2016, 127, 152–161. [Google Scholar] [CrossRef]
- Rodríguez, C.; Miñano, I.; Aguilar, M.Á.; Ortega, J.M.; Parra, C.; Sánchez, I. Properties of concrete paving blocks and hollow tiles with recycled aggregate from construction and demolition wastes. Materials 2017, 10, 1374. [Google Scholar] [CrossRef]
- Rodríguez, C.; Sánchez, I.; Miñano, I.; Benito, F.; Cabeza, M.; Parra, C.; Rodríguez, C.; Sánchez, I.; Miñano, I.; Benito, F.; et al. On the Possibility of Using Recycled Mixed Aggregates and GICC Thermal Plant Wastes in Non-Structural Concrete Elements. Sustainability 2019, 11, 633. [Google Scholar] [CrossRef]
- Chakraborty, S.; Subramaniam, K.V.L. Evaluation of cracking and cohesive fracture response in recycled aggregate concrete. Mater. Struct. Constr. 2023, 56, 130. [Google Scholar] [CrossRef]
- Martín-Morales, M.; Cuenca-Moyano, G.M.; Valverde-Espinosa, I.; Valverde-Palacios, I. Effect of recycled aggregate on physical-mechanical properties and durability of vibro-compacted dry-mixed concrete hollow blocks. Constr. Build. Mater. 2017, 145, 303–310. [Google Scholar] [CrossRef]
- Sanguansat, P. Principal Component Analysis: Engineering Applications; InTech: Rijeka, Croatia, 2012; Available online: http://link.springer.com/10.1007/b98835 (accessed on 6 June 2024).
- Pawar, L.B.; Sangle, K.K.; Bhirud, Y.L. Impact of recycled plastic aggregate concrete in high—Temperature environments. Innov. Infrastruct. Solut. 2022, 7, 197. [Google Scholar] [CrossRef]
- Ferreira, R.L.S.; Anjos, M.A.S.; Maia, C.; Pinto, L.; de Azevedo, A.R.G.; de Brito, J. Long-term analysis of the physical properties of the mixed recycled aggregate and their effect on the properties of mortars. Constr. Build. Mater. 2021, 274, 121796. [Google Scholar] [CrossRef]
- Zhao, B.; Xue, E.W.; Gu, X.B. Evaluation of coarse aggregate quality grade of recycled concrete based on the principal component analysis-cloud model. Front. Mater. 2023, 10, 1291434. [Google Scholar] [CrossRef]
- Güneyisi, E. Axial compressive strength of square and rectangular CFST columns using recycled aggregate concrete with low to high recycled aggregate replacement ratios. Constr. Build. Mater. 2023, 367, 130319. [Google Scholar] [CrossRef]
- European Union. Council Decision 2003/33/EC of 19 December 2002. Establishing Criteria and Procedures for the Acceptance of Waste at Landfills Pursuant to Article 16 and Annex II to Directive 1999/31/EC; European Union: Brussels, Belgium, 2003.
- Leiva, C.; Solís-Guzmán, J.; Marrero, M.; Arenas, C.G. Recycled blocks with improved sound and fire insulation containing construction and demolition waste. Waste Manag. 2013, 33, 663–671. [Google Scholar] [CrossRef] [PubMed]
- Sani, D.; Moriconi, G.; Fava, G.; Corinaldesi, V. Leaching and mechanical behaviour of concrete manufactured with recycled aggregates. Waste Manag. 2005, 25, 177–182. [Google Scholar] [CrossRef] [PubMed]
- Barbudo, A.; Galvín, A.P.; Agrela, F.; Ayuso, J.; Jiménez, J.R. Correlation analysis between sulphate content and leaching of sulphates in recycled aggregates from construction and demolition wastes. Waste Manag. 2012, 32, 1229–1235. [Google Scholar] [CrossRef]
- Galvín, A.P.; Agrela, F.; Ayuso, J.; Beltrán, M.G.; Barbudo, A. Leaching assessment of concrete made of recycled coarse aggregate: Physical and environmental characterisation of aggregates and hardened concrete. Waste Manag. 2014, 34, 1693–1704. [Google Scholar] [CrossRef] [PubMed]
- Makoundou, C.; Fathollahi, A.; Kleiven, S.; Coupe, S.J.; Sangiorgi, C. Mechanical and leaching characterisation of impact-absorbing rubberised asphalts for urban pavements. Mater. Struct. Constr. 2023, 56, 55. [Google Scholar] [CrossRef]
- López-Uceda, A.; Galvín, A.P.; Barbudo, A.; Ayuso, J. Long-term leaching and mechanical behaviour at recycled aggregate with different gypsum contents. Environ. Sci. Pollut. Res. 2019, 26, 35565–35573. [Google Scholar] [CrossRef] [PubMed]
- Ding, L.; Zhang, J.; Du, Q.; Zhou, C. Leaching characteristic and migration simulation of hazardous elements in recycled aggregates as subgrade scenario. J. Clean. Prod. 2023, 420, 138270. [Google Scholar] [CrossRef]
- Bergonzoni, M.; Melloni, R.; Botti, L. Analysis of sustainable concrete obtained from the by-products of an industrial process and recycled aggregates from construction and demolition waste. Procedia Comput. Sci. 2022, 217, 41–51. [Google Scholar] [CrossRef]
- Engelsen, C.J.; van der Sloot, H.A.; Petkovic, G. Long-term leaching from recycled concrete aggregates applied as sub-base material in road construction. Sci. Total Environ. 2017, 587–588, 94–101. [Google Scholar] [CrossRef] [PubMed]
- UNE-EN 197-1:2011; Part 1: Composition, Specifications and Conformity Criteria for Common Cements. AENOR: Madrid, Spain, 2011.
- BS EN 1097; Tests for Mechanical and Physical Properties of Aggregates. The British Standards Institution: London, UK, 2023.
- EN 1097; Tests for Mechanical and Physical Properties of Aggregates—Part 2: Methods for the Determination of Resistance to Fragmentation. AENOR: Madrid, Spain, 2021.
- UNE-EN 933-1; Tests for Geometrical Properties of Aggregates Part 1: Determination of Particle size Distribution Sieving Method. AENOR: Madrid, Spain, 2014.
- UNE-EN 933-11; Tests for Geometrical Properties of Aggregates—Part 11: Classification Test for the Constituents of Coarse Recycled Aggregate. AENOR: Madrid, Spain, 2009.
- Li, Z.; Liu, J.; Xiao, J.; Zhong, P. Internal curing effect of saturated recycled fine aggregates in early-age mortar. Cem. Concr. Compos. 2020, 108, 103444. [Google Scholar] [CrossRef]
- Suleymanova, L.A.; Kara, K.A.; Malyukova, M.V.; Suleymanov, K.A. The influence of technological factors on the basic properties of vibropressed concrete paving slabs. Res. J. Appl. Sci. 2014, 9, 874–878. [Google Scholar] [CrossRef]
- UNE-EN 12350-2:2020; Testing Fresh Concrete—Part 2: Slump Test. AENOR: Madrid, Spain, 2020.
- UNE-EN 12390-7:2020; Testing Hardened Concrete. Part 7: Density of Hardened Concrete. AENOR: Madrid, Spain, 2020.
- UNE-EN 1338:2004; Concrete Paving Blocks—Requirements and Test Methods. AENOR: Madrid, Spain, 2004.
- Ximenez, M.C.; Martín, R.S. Fundamentos de las Técnicas Multivariantes; UNED—Universidad Nacional de Educación a Distancia: Madrid, Spain, 2013. [Google Scholar]
- UNE-EN 15863:2015; Characterization of Waste—Leaching Behaviour Test for Basic Characterization—Dynamic Monolithic Leaching Test with Periodic Leachant Renewal, under Fixed Conditions. AENOR: Madrid, Spain, 2015.
- Jankovic, K.; Nikolic, D.; Bojovic, D. Concrete paving blocks and flags made with crushed brick as aggregate. Constr. Build. Mater. 2012, 28, 659–663. [Google Scholar] [CrossRef]
- Hohberg, I.; Müller, C.H.; Schiessl, P. No TitleEnvironmental compatibility of cement based materials: Summary of a state-of-the-art report of the german committee for reinforced concrete (DAfStb). Beton 1996, 46, 156–160. [Google Scholar]
- Ministry of Agriculture, Nature and Food Quality. Decree of 22 November 2007 Containing Rules with Respect to the Quality of Soil; Soil Quality Decree: The Hague, The Netherlands, 2007.
- Gayarre, F.L.; González, J.S.; Viñuela, R.B.; Pérez, C.L.-C.; López, M.A.S. Use of recycled mixed aggregates in floor blocks manufacturing. J. Clean. Prod. 2018, 167, 713–722. [Google Scholar] [CrossRef]
- Verian, K.P.; Ashraf, W.; Cao, Y. Properties of recycled concrete aggregate and their influence in new concrete production. Resour. Conserv. Recycl. 2018, 133, 30–49. [Google Scholar] [CrossRef]
- Sunayana, S.; Barai, S.V. Flexural performance and tension-stiffening evaluation of reinforced concrete beam incorporating recycled aggregate and fly ash. Constr. Build. Mater. 2018, 174, 210–223. [Google Scholar] [CrossRef]
- Martín-Morales, M.; Zamorano, M.; Ruiz-Moyano, A.; Valverde-Espinosa, I. Characterization of recycled aggregates construction and demolition waste for concrete production following the Spanish Structural Concrete Code EHE-08. Constr. Build. Mater. 2011, 25, 742–748. [Google Scholar] [CrossRef]
- Medina, C.; de Rojas, M.I.S.; Frías, M. Properties of recycled ceramic aggregate concretes: Water resistance. Cem. Concr. Compos. 2013, 40, 21–29. [Google Scholar] [CrossRef]
- Kou, S.; Poon, C.S. Compressive strength, pore size distribution and chloride-ion penetration of recycled aggregate concrete incorporating class-F fly ash. J. Wuhan Univ. Technol. Mater. Sci. Ed. 2006, 21, 130–136. [Google Scholar] [CrossRef]
- Corinaldesi, V.; Moriconi, G. The role of industrial by-products in self-compacting concrete. Constr. Build. Mater. 2011, 25, 3181–3186. [Google Scholar] [CrossRef]
- Corinaldesi, V.; Moriconi, G. Recycling of rubble from building demolition for low-shrinkage concretes. Waste Manag. 2010, 30, 655–659. [Google Scholar] [CrossRef]
- Elahi, A.; Basheer, P.A.M.; Nanukuttan, S.V.; Khan, Q.U.Z. Mechanical and durability properties of high performance concretes containing supplementary cementitious materials. Constr. Build. Mater. 2010, 24, 292–299. [Google Scholar] [CrossRef]
- Kou, S.-C.; Poon, C.-S.; Wan, H.-W. Properties of concrete prepared with low-grade recycled aggregates. Constr. Build. Mater. 2012, 36, 881–889. [Google Scholar] [CrossRef]
- Etxeberria, M.; Vázquez, E.; Marí, A.; Barra, M. Influence of amount of recycled coarse aggregates and production process on properties of recycled aggregate concrete. Cem. Concr. Res. 2007, 37, 735–742. [Google Scholar] [CrossRef]
- González-Fonteboa, B.; Martínez-Abella, F. Concretes with aggregates from demolition waste and silica fume. Materials and mechanical properties. Build. Environ. 2008, 43, 429–437. [Google Scholar] [CrossRef]
- Soutsos, M.N.; Tang, K.; Millard, S.G. Use of recycled demolition aggregate in precast products, phase II: Concrete paving blocks. Constr. Build. Mater. 2011, 25, 3131–3143. [Google Scholar] [CrossRef]
- Soutsos, M.N.; Tang, K.; Millard, S.G. The use of recycled demolition aggregate in precast concrete products—Phase III: Concrete pavement flags. Constr. Build. Mater. 2012, 36, 674–680. [Google Scholar] [CrossRef]
- Yang, J.; Du, Q.; Bao, Y. Concrete with recycled concrete aggregate and crushed clay bricks. Constr. Build. Mater. 2011, 25, 1935–1945. [Google Scholar] [CrossRef]
- Dhir, R.K.; Hewlett, P.C.; Dyer, T.D. Mechanisms of water retention in cement pastes containing a self-curing agent. Mag. Concr. Res. 1998, 50, 85–90. [Google Scholar] [CrossRef]
- El-Dieb, A.S. Self-curing concrete: Water retention, hydration and moisture transport. Constr. Build. Mater. 2007, 21, 1282–1287. [Google Scholar] [CrossRef]
- Martínez, I.; Etxeberria, M.; Pavón, E.; Díaz, N. A comparative analysis of the properties of recycled and natural aggregate in masonry mortars. Constr. Build. Mater. 2013, 49, 384–392. [Google Scholar] [CrossRef]
- Ajdukiewicz, A.; Kliszczewicz, A. Influence of recycled aggregates on mechanical properties of HS/HPC. Cem. Concr. Compos. 2002, 24, 269–279. [Google Scholar] [CrossRef]
- Sousa, J.G.G.; Bauer, E.; Sposto, R.M. Recycled construction debris as an aggregates. Production of concrete blocks. Mater. Constr. 2003, 53, 59–70. [Google Scholar] [CrossRef]
- Medina, C.; Zhu, W.; Howind, T.; de Rojas, M.I.S.; Frías, M. Influence of mixed recycled aggregate on the physical—Mechanical properties of recycled concrete. J. Clean. Prod. 2014, 68, 216–225. [Google Scholar] [CrossRef]
- Poon, C.S.; Lam, C.S. The effect of aggregate-to-cement ratio and types of aggregates on the properties of pre-cast concrete blocks. Cem. Concr. Compos. 2008, 30, 283–289. [Google Scholar] [CrossRef]










| Type | Recycled | Natural | ||||||
|---|---|---|---|---|---|---|---|---|
| Origin | Concrete | Masonry (1) | Masonry (2) | Mixed | Natural | |||
| Size | Coarse | Fine | Coarse | Coarse | Fine | Coarse | Fine | Coarse |
| Nomenclature | CA-C | MA1-S | MA1-C | MA2-C | RMA-S | RMA-C | Fine | Coarse |
| Water absorption (%) [51] | 4.8 | 9.8 | 9.7 | 17.3 | 6.3 | 6.0 | 1.4 | 1.1 |
| Dry surface density (g/cm3) [51] | 2.39 | 2.15 | 2.15 | 1.85 | 2.32 | 2.32 | 2.67 | 2.70 |
| Resistance to fragmentation [52] | 28 | 30 | 30 | 40 | 30 | 30 | 24 | 24 |
| Fine value (<0.063 mm) (%) [53] | 1 | 46 | 2 | 3.1 | 15 | 1 | 7 | 1 |
| Mixture | Concrete Aggregate (CA) | Masonry Aggregate (MA1 and MA2) | Recycled Mixed Aggregates (RMA) |
|---|---|---|---|
| Floating particles | 3.0% | - | 6.6% |
| Other | 0.0% | - | 0.5% |
| Concrete | 78.0% | - | 22.0% |
| Unbound aggregate | 19.0% | - | 52.7% |
| Masonry | - | 100.0% | 17.2% |
| Asphalt | - | - | 1.0% |
| Mixture | Cement (kg/m3) | Effective Water (l/m3) | Natural Aggregates 0/4 (%) a | Natural Aggregates 5/12 (%) a | Recycled Aggregates 0/4 (%) a | Recycled Aggregates 5/12 (%) a |
|---|---|---|---|---|---|---|
| Control | 280 | 132 | 55.00 | 45.00 | - | - |
| CA-C-25 | 280 | 132 | 55.00 | 33.75 | - | 11.25 |
| CA-C-60 | 280 | 132 | 55.00 | 18.00 | - | 27.00 |
| CA-C-100 | 280 | 132 | 55.00 | - | - | 45.00 |
| MA1-S-25 | 280 | 132 | 41.25 | 45.00 | 13.75 | - |
| MA1-S-60 | 280 | 132 | 22.00 | 45.00 | 33.00 | - |
| MA1-S-100 | 280 | 132 | - | 45.00 | 55.00 | - |
| MA1-C-25 | 280 | 132 | 55.00 | 33.75 | - | 11.25 |
| MA1-C-60 | 280 | 132 | 55.00 | 18.00 | - | 27.00 |
| MA1-C-100 | 280 | 132 | 55.00 | - | - | 45.00 |
| MA2-C-25 | 280 | 132 | 55.00 | 33.75 | - | 11.25 |
| MA2-C-60 | 280 | 132 | 55.00 | 18.00 | - | 27.00 |
| MA2-C-100 | 280 | 132 | 55.00 | - | - | 45.00 |
| RMA-S-25 | 280 | 132 | 41.25 | 45.00 | 13.75 | - |
| RMA-S-60 | 280 | 132 | 22.00 | 45.00 | 33.00 | - |
| RMA-S-100 | 280 | 132 | - | 45.00 | 55.00 | - |
| RMA-C-25 | 280 | 132 | 55.00 | 33.75 | - | 11.25 |
| RMA-C-60 | 280 | 132 | 55.00 | 18.00 | - | 27.00 |
| RMA-C-100 | 280 | 132 | 55.00 | - | - | 45.00 |
| Eigenvalue | Variance (%) | Cumulative Variance (%) | Eigenvalue | Variance (%) | Cumulative Variance (%) | |
|---|---|---|---|---|---|---|
| 28 Days | 90 Days | |||||
| Dim. 1 | 4.50 | 75.12 | 75.12 | 4.55 | 75.89 | 75.89 |
| Dim. 2 | 1.11 | 18.42 | 93.54 | 1.06 | 17.65 | 93.54 |
| Dim. 3 | 2.75 × 10−1 | 4.59 | 98.13 | 2.83 × 10−1 | 4.72 | 98.26 |
| Dim. 4 | 9.48 × 10−2 | 1.58 | 99.71 | 8.87 × 10−2 | 1.48 | 99.74 |
| Dim. 5 | 1.71 × 10−2 | 0.28 | 99.99 | 1.54 × 10−2 | 2.57 × 10−1 | 99.99 |
| Dim. 6 | 1.86 × 10−5 | 3.11 × 10−4 | 100.00 | 1.75 × 10−5 | 2.92 × 10−4 | 100.00 |
| Dim. 1 | Dim. 2 | Dim. 3 | Dim. 4 | Dim. 5 | |
|---|---|---|---|---|---|
| Density | −0.966 | 0.117 | −0.207 | 0.043 | 0.090 |
| Fragmentation | 0.966 | −0.137 | −0.025 | −0.205 | 0.070 |
| Floating part. | 0.942 | −0.246 | 0.005 | 0.224 | 0.046 |
| Absorption | 0.981 | −0.172 | 0.083 | 0.014 | −0.004 |
| Substitution | 0.353 | 0.908 | 0.224 | 0.023 | 0.026 |
| Mech. strength | −0.815 | −0.398 | 0.418 | −0.009 | 0.035 |
| Eigenvalue | Variance (%) | Cumulative Variance (%) | Eigenvalue | Variance (%) | Cumulative Variance (%) | |
|---|---|---|---|---|---|---|
| 28 Days | 90 Days | |||||
| Dim. 1 | 4.04 | 67.49 | 67.49 | 4.20 | 70.03 | 70.03 |
| Dim. 2 | 1.42 | 23.70 | 91.19 | 1.30 | 21.73 | 91.77 |
| Dim. 3 | 4.94 × 10−1 | 8.24 | 99.43 | 4.61 × 10−1 | 7.68 | 99.45 |
| Dim. 4 | 3.40 × 10−2 | 5.67 × 10−1 | 100.00 | 3.29 × 10−2 | 5.49 × 10−1 | 100.00 |
| Dim. 5 | 5.14 × 10−29 | 8.56 × 10−28 | 100.00 | 5.17 × 10−29 | 8.61 × 10−28 | 100.00 |
| Dim. 6 | 3.01 × 10−31 | 5.02 × 10−30 | 100.00 | 3.10 × 10−31 | 5.17 × 10−30 | 100.00 |
| Eigenvalue | Variance (%) | Cumulative Variance (%) | Eigenvalue | Variance (%) | Cumulative Variance (%) | |
|---|---|---|---|---|---|---|
| Coarse Fraction | Fine Fraction | |||||
| Dim. 1 | 4.56 | 75.93 | 75.93 | 4.09 | 68.15 | 68.15 |
| Dim. 2 | 1.08 | 18.05 | 93.98 | 1.37 | 22.91 | 91.06 |
| Dim. 3 | 0.26 | 4.28 | 98.26 | 0.53 | 8.78 | 99.84 |
| Dim. 4 | 0.07 | 1.25 | 99.51 | 9.6 × 10−3 | 0.16 | 100.00 |
| Dim. 5 | 0.03 | 0.49 | 100.00 | 5.2 × 10−29 | 8.6 × 10−28 | 100.00 |
| Dim. 6 | 1.9 × 10−5 | 3.2 × 10−4 | 100.00 | 3.1 × 10−31 | 5.2 × 10−30 | 100.00 |
| Mixture | Density (g/cm3) | Abrasive Wear (mm) | Slipping Resistance |
|---|---|---|---|
| Control | 2.30 | 16.9 | 86 |
| CA-C-25 | 2.27 | 15.9 | 87 |
| CA-C-60 | 2.24 | 16.3 | 83 |
| CA-C-100 | 2.25 | 18.5 | 84 |
| MA1-C-25 | 2.26 | 16.4 | 88 |
| MA1-C-60 | 2.23 | 16.6 | 84 |
| MA1-C-100 | 2.13 | 17.4 | 86 |
| MA1-S-25 | 2.28 | 17.1 | 85 |
| MA1-S-60 | 2.21 | 17.4 | 84 |
| MA1-S-100 | 1.95 | 16.7 | 87 |
| MA2-C-25 | 2.18 | 17.8 | 90 |
| MA2-C-60 | 2.13 | 25.1 | 84 |
| MA2-C-100 | 2.07 | 28.7 | 86 |
| RMA-C-25 | 2.30 | 13.3 | 85 |
| RMA-C-60 | 2.26 | 14.4 | 86 |
| RMA-C-100 | 2.21 | 15.1 | 85 |
| RMA-S-25 | 2.28 | 15.9 | 83 |
| RMA-S-60 | 2.23 | 16.5 | 88 |
| RMA-S-100 | 1.97 | 15.8 | 85 |
| Eigenvalue | Variance (%) | Cumulative Variance (%) | |
|---|---|---|---|
| Dim. 1 | 3.96 | 66.01 | 66.01 |
| Dim. 2 | 1.04 | 17.37 | 83.38 |
| Dim. 3 | 8.6 × 10−1 | 16.34 | 97.72 |
| Dim. 4 | 9.5 × 10−2 | 1.58 | 99.30 |
| Dim. 5 | 4.2 × 10−2 | 7.0 × 10−1 | 99.99 |
| Dim. 6 | 1.9 × 10−5 | 3.2 × 10−4 | 100.00 |
| Eigenvalue | Variance (%) | Cumulative Variance (%) | |
|---|---|---|---|
| Dim. 1 | 4.47 | 74.57 | 74.57 |
| Dim. 2 | 0.99 | 16.54 | 91.11 |
| Dim. 3 | 4.21 × 10−1 | 7.01 | 98.12 |
| Dim. 4 | 9.07 × 10−2 | 1.51 | 99.63 |
| Dim. 5 | 2.17 × 10−2 | 3.6 × 10−1 | 100.00 |
| Dim. 6 | 1.63 × 10−5 | 2.7 × 10−4 | 100.00 |
| Limit Imposed EU Landfill Directive L/S = 10 L/kg (mg/kg) | Concrete Aggregates | Masonry Aggregates | Recycled Mixed Aggregates | ||||
|---|---|---|---|---|---|---|---|
| CA-C | MA1-S | MA1-C | MA2-C | RMA-S | RMA-C | ||
| Cr | 0.5 | 0.140 | 0.117 | 0.105 | 0.513 | 0.111 | 0.154 |
| Ni | 0.4 | 0.014 | 0.009 | 0.009 | 0.040 | 0.017 | 0.020 |
| Cu | 2.0 | 0.014 | 0.009 | 0.009 | 0.117 | 0.077 | 0.017 |
| Zn | 4.0 | 0.043 | 0.000 | 0.000 | 0.006 | 0.000 | 0.000 |
| As | 0.5 | 0.009 | 0.026 | 0.020 | 0.006 | 0.009 | 0.034 |
| Se | 0.1 | 0.011 | 0.006 | 0.006 | 0.040 | 0.060 | 0.000 |
| Mo | 0.5 | 0.057 | 0.074 | 0.063 | 0.123 | 0.009 | 0.043 |
| Cd | 0.0 | 0.000 | 0.000 | 0.000 | 0.003 | 0.000 | 0.000 |
| Sb | 0.1 | 0.006 | 0.009 | 0.003 | 0.006 | 0.000 | 0.006 |
| Ba | 20.0 | 0.889 | 0.573 | 0.590 | 1.342 | 0.875 | 0.633 |
| Chloride | 800.0 | 796.842 | 581.229 | 529.519 | 805.410 | 1743.148 | 720.124 |
| Sulphate | 1000.0 | 26.391 | 4928.790 | 4927.080 | 3722.100 | 8195.460 | 4910.550 |
| Fluoride | 10.0 | 1.107 | 1.032 | 0.990 | 1.095 | 1.390 | 0.955 |
| Classification according to concentration on heavy metals and sulphates (EU landfill Directive) | Inert | Non-hazardous | Non-hazardous | Non-hazardous | Non-hazardous | Non-hazardous | |
| Element | NSQD Limits (mg/m2) | CONTROL (mg/m2) | CA-C-100 (mg/m2) | MA1-S-100 (mg/m2) | MA1-C-100 (mg/m2) | MA2-C-100 (mg/m2) | RMA-S-100 (mg/m2) | RMA-C-100 (mg/m2) |
|---|---|---|---|---|---|---|---|---|
| Cr | 120 | 0.650 | 0.217 | 1.408 | 0.650 | 4.442 | 0.650 | 0.433 |
| Ni | 81 | 0.000 | 0.000 | 0.000 | 0.000 | 0.000 | 0.000 | 0.000 |
| Cu | 98 | 0.000 | 0.000 | 0.000 | 0.000 | 0.000 | 0.000 | 0.000 |
| Zn | 800 | 0.000 | 0.000 | 0.000 | 0.000 | 0.000 | 0.000 | 0.000 |
| As | 260 | 0.108 | 0.108 | 0.108 | 0.108 | 0.000 | 0.108 | 0.108 |
| Se | 4.8 | 0.000 | 0.000 | 0.000 | 0.000 | 0.000 | 0.000 | 0.000 |
| Mo | 144 | 0.758 | 0.000 | 0.000 | 0.000 | 0.000 | 0.000 | 0.000 |
| Cd | 3.8 | 0.000 | 0.000 | 0.000 | 0.000 | 0.000 | 0.000 | 0.000 |
| Sb | 8.7 | 0.000 | 0.000 | 0.000 | 0.000 | 0.000 | 0.000 | 0.000 |
| Ba | 1500 | 0.758 | 3.358 | 2.708 | 2.383 | 6.175 | 2.708 | 2.708 |
| Chloride | 110,000 | 349.917 | 1258.292 | 561.167 | 999.483 | 881.833 | 228.583 | 321.642 |
| Sulphate | 165,000 | 88.833 | 1001.758 | 7480.850 | 2703.350 | 5812.517 | 1284.942 | 1222.758 |
| Fluoride | 2500 | 14.733 | 17.008 | 16.467 | 13.542 | 17.442 | 1.300 | 1.620 |
Disclaimer/Publisher’s Note: The statements, opinions and data contained in all publications are solely those of the individual author(s) and contributor(s) and not of MDPI and/or the editor(s). MDPI and/or the editor(s) disclaim responsibility for any injury to people or property resulting from any ideas, methods, instructions or products referred to in the content. |
© 2024 by the authors. Licensee MDPI, Basel, Switzerland. This article is an open access article distributed under the terms and conditions of the Creative Commons Attribution (CC BY) license (https://creativecommons.org/licenses/by/4.0/).
Share and Cite
Hernández, M.; Sánchez, I.; Navarro, R.; Sánchez, M.; Rodríguez, C. Influence of the Properties of Different Types of Recycled Aggregate on the Service Properties and Leaching of Paving Blocks Manufactured at Industrial Scale. Materials 2024, 17, 2898. https://doi.org/10.3390/ma17122898
Hernández M, Sánchez I, Navarro R, Sánchez M, Rodríguez C. Influence of the Properties of Different Types of Recycled Aggregate on the Service Properties and Leaching of Paving Blocks Manufactured at Industrial Scale. Materials. 2024; 17(12):2898. https://doi.org/10.3390/ma17122898
Chicago/Turabian StyleHernández, Miriam, Isidro Sánchez, Rosa Navarro, Marina Sánchez, and Carlos Rodríguez. 2024. "Influence of the Properties of Different Types of Recycled Aggregate on the Service Properties and Leaching of Paving Blocks Manufactured at Industrial Scale" Materials 17, no. 12: 2898. https://doi.org/10.3390/ma17122898
APA StyleHernández, M., Sánchez, I., Navarro, R., Sánchez, M., & Rodríguez, C. (2024). Influence of the Properties of Different Types of Recycled Aggregate on the Service Properties and Leaching of Paving Blocks Manufactured at Industrial Scale. Materials, 17(12), 2898. https://doi.org/10.3390/ma17122898

