Microstructure and Wear Resistance of Ti6Al4V Titanium Alloy Laser-Clad Ni60/WC Composite Coating
Abstract
1. Introduction
2. Materials and Characterization
2.1. Materials
2.2. Laser Cladding and Sample Preparation
2.3. Microstructure Inspection and Performance Testing
3. Results and Discussion
3.1. Phase Composition and Microstructure
3.2. Microhardness
3.3. Friction and Wear Performance
3.4. Coating Wear Mechanism
4. Conclusions
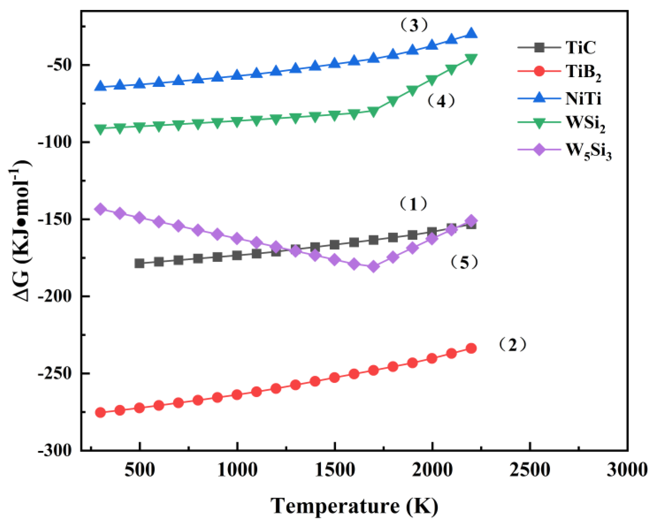
- The phase compositions of the composite coatings under different scanning speeds are fundamentally similar, and are mainly composed of γ-Ni solid solution, TiC, TiB2, WSi2, W5Si3, NiTi, and residual WC. Good metallurgical bonding between the matrix and coatings is consistently observed under different scanning speeds.
- The laser-melting Ni60/WC composite coating significantly enhances the microhardness of the Ti6Al4V substrate. The microhardness exhibited first increases and then changes to a decreasing trend with the scanning speed. When 12 mm/s was deployed as the scanning parameter, the average microhardness of the produced coating was 3.13 times higher than that of the substrate (364.8 HV0.5) (ca. 1141.6 HV0.5). This phenomenon may be owing to the fact that the harder phases and finer microstructure were produced at this scanning speed.
- The composite coatings demonstrate excellent tribological performance under dry sliding wear test conditions compared to the Ti6Al4V alloy. Both the friction coefficient and the weight of abrasion loss show a rise and then a decline with the scanning speed, and the optimal tribological performance is achieved at a set scanning parameter of 12 mm/s.
- The wear mechanism of the Ti6Al4V matrix is produced through a combined interaction of intense abrasive wear along with adhesive wear. In contrast, the wear of the Ni60/WC composite coating features localized adhesive wear and a slight abrasive wear mechanism. The produced coating shows the most excellent wear resistance at a scanning speed of less than 12 mm/s, which is 4.9 times higher than that of the matrix.
- This study can broaden the use of titanium alloys in high-wear environments. It can also provide technical guidance for the preparation of anti-wear coatings and the selection of laser cladding process parameters. To further improve the surface properties of Ti6Al4V, the effect of a laser cladding bionic coating on the surface can be further explored. Some auxiliary technologies, such as ultrasonic vibration, electric field, and magnetic field, can be combined with laser cladding at the same time to explore the impact of its surface properties on substrate research.
Author Contributions
Funding
Institutional Review Board Statement
Informed Consent Statement
Data Availability Statement
Conflicts of Interest
References
- Zhang, L.-C.; Chen, L.-Y.; Wang, L. Surface modification of titanium and titanium alloys: Technologies, developments, and future interests. Adv. Eng. Mater. 2020, 22, 1901258. [Google Scholar] [CrossRef]
- Kang, L.; Yang, C. A review on high-strength titanium alloys: Microstructure, strengthening, and properties. Adv. Eng. Mater. 2019, 21, 1801359. [Google Scholar] [CrossRef]
- Kurup, A.; Dhatrak, P.; Khasnis, N. Surface modification techniques of titanium and titanium alloys for biomedical dental applications: A review. Mater Today Proc. 2021, 39, 84–90. [Google Scholar] [CrossRef]
- Faqin, X.; Peng, H.; Xiangqing, W.; Minghui, L.; Shaoqing, W.; Zheng, L.; Kai, Z. Research and Prospect of Laser Cladding Technology on Titanium Alloy Surface. Rare Met. Mater. Eng. 2022, 51, 1514–1524. [Google Scholar]
- Jimenez-Marcos, C.; Mirza-Rosca, J.C.; Baltatu, M.S.; Vizureanu, P. Experimental research on new developed titanium alloys for biomedical applications. Bioengineering 2022, 9, 686. [Google Scholar] [CrossRef] [PubMed]
- Istrate, B.; Munteanu, C.; Geanta, V.; Baltatu, S.; Focsaneanu, S.; Earar, K. Microstructural analysis of biodegradable Mg-0.9 Ca-1.2 Zr alloy. In IOP Conference Series: Materials Science and Engineering; IOP Publishing: Bristol, UK, 2016; Volume 147, p. 012033. [Google Scholar]
- Bălţatu, M.S.; Vizureanu, P.; Goanţă, V.; Ţugui, C.A.; Voiculescu, I. Mechanical tests for Ti-based alloys as new medical materials. In IOP Conference Series: Materials Science and Engineering; IOP Publishing: Bristol, UK, 2019; Volume 572, p. 012029. [Google Scholar]
- Mao, Y.; Wang, L.; Chen, K.; Wang, S.; Cui, X. Tribo-layer and its role in dry sliding wear of Ti-6Al-4V alloy. Wear 2013, 297, 1032–1039. [Google Scholar] [CrossRef]
- Ke, J.; Liu, X.B.; Liang, J.; Liang, L.; Luo, Y.S. Microstructure and fretting wear of laser cladding self-lubricating anti-wear composite coatings on TA2 alloy after aging treatment. Opt Laser. Technol. 2019, 119, 105599. [Google Scholar]
- Zhu, L.; Xue, P.; Lan, Q.; Meng, G.; Ren, Y.; Yang, Z.; Xu, P.; Liu, Z. Recent research and development status of laser cladding: A review. Opt. Laser Technol. 2021, 138, 106915. [Google Scholar] [CrossRef]
- Jiang, T.; Kim, H.S. Simultaneous improvement in the hardness and friction characteristics of Ti-6Al-4V through laser cladding with nanoscale SiC particles in an air environment. Int. J. Adv. Manuf. Technol. 2021, 116, 1041–1051. [Google Scholar] [CrossRef]
- Choi, D.C.; Kim, H.S. Characterization of the coating structure and stability of core–shell Al nanoparticles generated by using pulsed laser ablation in acetone. J. Mater. Res. Technol. 2022, 19, 4683–4696. [Google Scholar] [CrossRef]
- Xi, W.; Song, B.; Zhao, Y.; Yu, T.; Wang, J. Geometry and dilution rate analysis and prediction of laser cladding. Int. J. Adv. Manuf. Technol. 2019, 103, 4695–4702. [Google Scholar] [CrossRef]
- Liu, Y.; Ding, Y.; Yang, L.; Sun, R.; Zhang, T.; Yang, X. Research and progress of laser cladding on engineering alloys: A review. J. Manuf. Process. 2021, 66, 341–363. [Google Scholar] [CrossRef]
- Tian, Z.H.; Zhao, Y.T.; Jiang, Y.J.; Ren, H.P. Microstructure and properties of Inconel 625+ WC composite coatings prepared by laser cladding. Rare Met. 2021, 40, 2281–2291. [Google Scholar] [CrossRef]
- Zhao, W.; Zhang, K.; Liu, P.; Ma, F.; Liu, X. Study on microstructure and properties of laser cladding Ni-based WC composite coating. J. Funct. Mater. 2019, 50, 1098–1103. [Google Scholar]
- Wang, H.; Shin, K.H.; Kim, H.S. Development and Characterization of Ni60 Alloy and SiC Ceramic Reinforced Metal Matrix Composite Coating on Ti-6Al-4V using Laser Cladding with Coaxial Powder Feeding System. Int J. Adv. Manuf. Technol. 2023, 128, 2705–2718. [Google Scholar] [CrossRef]
- Yan, H.; Liu, K.; Zhang, P.; Zhao, J.; Qin, Y.; Lu, Q.; Yu, Z. Fabrication and tribological behaviors of Ti3SiC2/Ti5Si3/TiC/Ni-based composite coatings by laser cladding for self-lubricating applications. Opt. Laser Technol. 2020, 126, 106077. [Google Scholar] [CrossRef]
- Jiang, C.; Zhang, J.; Chen, Y.; Hou, Z.; Zhao, Q.; Li, Y.; Zhu, L.; Zhang, F.; Zhao, Y. On enhancing wear resistance of titanium alloys by laser cladded WC-Co composite coatings. Int. J. Refract. Met. H 2022, 107, 105902. [Google Scholar] [CrossRef]
- Liu, J.G.; Yang, J.H.; Wang, G.S.; Li, Y.; Zheng, J.Y. Microstructure and Wear Resistance of Laser Cladding WC Reinforced Ni Based Composite Coating on TC4 Titanium Alloy. Rare Met. Mater. Eng. 2022, 51, 2907–2914. [Google Scholar]
- Ge, Y.; Zheng, C.Y.; Dai, L.J.; Liu, C.; Kong, D.J. Effect of Laser Power on the Electrochemical Performance of a Ni-60% WC Alloy Laser Clad Coating on H13 Steel. Lasers Eng. 2023, 56, 177–190. [Google Scholar]
- Xue, S.L.; Li, J.H.; Yao, F.P.; Yang, Y.H.; Li, X.X. Preparation and Structural Properties of Gradient Composite Coatings for Laser Cladding. Lasers Eng. 2023, 54, 343–355. [Google Scholar]
- He, B.F.; Ma, F.; Ma, D.Y.; Xu, K.W. Study of Wear and Corrosion Resistances of Ni60-WC+TiC Composite Coating. J. Nanoelectron. Optoelectron. 2020, 15, 1300–1305. [Google Scholar]
- Gao, Q.S.; Yan, H.; Qin, Y.; Zhang, P.L.; Guo, J.L.; Chen, Z.F.; Yu, Z.S. Laser cladding Ti-Ni/TiN/TiW+TiS/WS2 self-lubricating wear resistant composite coating on Ti-6Al-4V alloy. Opt. Laser. Technol. 2019, 113, 182–191. [Google Scholar] [CrossRef]
- Gong, Y.; Wu, M.; Miao, X.; Xui, C. Effect of CeO2on crack sensitivity and tribological properties of Ni60A coatings prepared by laser cladding. Adv. Mech. Eng. 2021, 13, 821–829. [Google Scholar]
- Ping, X.; Fu, H.; Sun, S.; Lin, J.; Lei, Y.; Wu, W.; Zhou, J. Effect of Nb addition on microstructure and properties of laser cladding NiCrBSi coatings. Trans. IMF 2018, 96, 304–312. [Google Scholar]
- Liu, X.P.; Zhang, P.L.; Yan, H.; Lu, Y.L.; Yu, Z.S.; Li, C.G.; Lu, Q.H.; Qiu, D.D. Microstructure and Wear Properties of Ni-W-Si Coatings by Laser Cladding. Appl. Mech. Mater. 2015, 750, 214–219. [Google Scholar] [CrossRef]
- Wang, B.H.Y. Microstructure and properties of WC reinforced Ni-based composite coatings with Y2O3 addition on titanium alloy by laser cladding. Sci. Technol. Weld. Join. 2019, 24, 517–524. [Google Scholar] [CrossRef]
- Gabrielyan, A.V.; Manukyan, K.V.; Kharatyan, S.L. Comparative study of combustion laws for Mo–Si–N and W–Si–N ternary systems. J. Alloys Compd. 2008, 454, 394–399. [Google Scholar] [CrossRef]
- Pu, R.; Sun, Y.; Xu, J.; Zhou, X.; Li, S.; Zhang, B.; Cai, Z.; Liu, S.; Xiao, L. Microstructure and properties of Mo-based double-layer MoSi2 thick coating by a new two-step method. Surf. Coat. Technol. 2020, 394, 125840. [Google Scholar] [CrossRef]
- Cai, L.X.; Wang, H.M. Microstructure and dry sliding wear resistance of laser clad tungsten reinforced W5Si3/W2Ni3Si intermetallic coatings. Appl. Surf. Sci. 2004, 235, 501–506. [Google Scholar] [CrossRef]
- Wang, Y.; Liu, X.B.; Liu, Y.F.; Luo, Y.S.; Meng, Y. Microstructure and tribological performance of Ni60-based composite coatings on Ti6Al4V alloy with different Ti3SiC2 ceramic additions by laser cladding. Ceram. Int. 2020, 18 Pt A, 28996–29010. [Google Scholar] [CrossRef]
- Xiang, Z.F.; Liu, X.B.; Ren, J.; Luo, J.; Shi, S.H.; Chen, Y.; Shi, G.L.; Wu, S.H. Investigation of laser cladding high temperature anti-wear composite coatings on Ti6Al4V alloy with the addition of self-lubricant CaF2. Appl. Surf. Sci. 2014, 313, 243–250. [Google Scholar] [CrossRef]
- Zhu, Y.; Liu, X.B.; Liu, Y.F.; Wang, G.; Wang, Y.; Meng, Y.; Liang, J. Development and characterization of Co-Cu/Ti3SiC2 self-lubricating wear resistant composite coatings on Ti6Al4V alloy by laser cladding. Surf. Coat. Technol. 2021, 424, 127664. [Google Scholar] [CrossRef]
- Feng, Y.; Feng, K.; Yao, C.; Li, Z.; Sun, J. Microstructure and properties of in-situ synthesized (Ti3Al + TiB)/Ti composites by laser cladding. Mater. Des. 2018, 157, 258–272. [Google Scholar] [CrossRef]
- Zhao, X.; Zhong, Q.; Zhai, P.; Fan, P.; Wu, R.; Fang, J.; Xiao, Y.; Jiang, Y.; Liu, S.; Li, W. Microstructure and Wear Resistance of Laser-Clad Ni–Cu–Mo–W–Si Coatings on a Cu–Cr–Zr Alloy. Materials 2022, 16, 284. [Google Scholar] [CrossRef] [PubMed]
- Mthisi, A.; Popoola, A.P.I.; Popoola, O.M. Tribological behaviour of laser synthesized Ti-Al2O3 coatings on Ti-6Al-4V alloy. Int. J. Adv. Des. Manuf. Technol. 2019, 103, 655–664. [Google Scholar] [CrossRef]
- Mthisi, A.; Popoola, A.P.I. Comparative study on tribology and microhardness of laser synthesized Ti-Al2O3/Zn coatings on Ti-6Al-4V alloy. Tribol. Mater. Surf. Interfaces 2020, 14, 142–150. [Google Scholar] [CrossRef]
- Chen, C.; Feng, A.; Wei, Y.; Wang, Y.; Pan, X.; Song, X. Effects of WC particles on microstructure and wear behavior of laser cladding Ni60 composite coatings. Opt. Laser. Technol. 2023, 163, 10942. [Google Scholar] [CrossRef]
- Wang, Y.; Xiong, J.; Yan, J.; Fan, H.Y.; Wang, J. Oxidation resistance and corrosion behavior of hot-dip aluminized coatings on commercial-purity titanium. Surf. Coat. Technol. 2011, 206, 1277–1282. [Google Scholar] [CrossRef]
- Xu, S.; Cai, Q.; Li, G.; Lu, X.; Zhu, X. Effect of scanning speed on microstructure and properties of TiC/Ni60 composite coatings on Ti6Al4V alloy by laser cladding. Opt. Laser. Technol. 2022, 154, 108309. [Google Scholar] [CrossRef]
- Farahmand, P.; Liu, S.; Zhang, Z.; Kovacevic, R. Laser cladding assisted by induction heating of Ni–WC composite enhanced by nano-WC and La2O3. Ceram. Int. 2014, 40, 15421–15438A. [Google Scholar] [CrossRef]
- Yang, Y.; Zhang, D.; Yan, W.; Zheng, Y. Microstructure and wear properties of TiCN/Ti coatings on titanium alloy by laser cladding. Opt. Lasers Eng. 2010, 48, 119–124. [Google Scholar] [CrossRef]
- Cai, Q.; Li, G.; Wu, B.; Xu, S.Y.; Wang, L.Y.; Guo, Y.P. Effect of TiC content on microstructure and properties of TiC/Ni60 coatings on Ti6Al4V alloy deposited by laser cladding. Opt. Lasers Eng. 2023, 168, 109854. [Google Scholar] [CrossRef]
- Liu, R.; Dang, X.; Gao, Y.; Wu, T.; Zhu, Y. The wear behavior of the laser cladded Ti-Al-Si composite coatings on Ti-6Al-4V alloy with additional TiC. Materials 2021, 14, 4567. [Google Scholar] [CrossRef] [PubMed]
- Huang, K.; Huang, W. Microstructure and Wear Resistance of Ti5Si3/Ti3Al Composite Coatings Prepared by Laser Cladding on TA2 Titanium Alloy. Lubricants 2023, 11, 213. [Google Scholar] [CrossRef]
- Archard, J.F. Contact and rubbing of flat surfaces. J. Appl. Phys. 1953, 24, 981–988. [Google Scholar] [CrossRef]
- Mu, M.; Zhou, X.; Xiao, Q.; Liang, J.; Huo, X. Preparation and tribological properties of self-lubricating TiO2/graphite composite coating on Ti6Al4V alloy. Appl. Surf. Sci. 2012, 258, 8570–8576. [Google Scholar] [CrossRef]















| Al | V | Fe | C | N | H | O | Ti |
|---|---|---|---|---|---|---|---|
| 6.8 | 4.5 | 0.30 | 0.10 | 0.05 | 0.015 | 0.20 | Bal. |
| Fe | B | Si | Cr | C | Ni |
|---|---|---|---|---|---|
| 4.31 | 3.2 | 4.0055 | 15.9 | 0.78 | Bal. |
| NO. | Laser Power (W) | Scanning Speed (mm/s) | Laser Beam Diameter (mm) |
|---|---|---|---|
| Sample 1 | 1400 | 8 | 3 |
| Sample 2 | 1400 | 10 | 3 |
| Sample 3 | 1400 | 12 | 3 |
| Sample 4 | 1400 | 14 | 3 |
| Region | Element Composition (at%) | |||||||
|---|---|---|---|---|---|---|---|---|
| C | Al | Si | Ti | Cr | Fe | Ni | W | |
| 1 | 34.700 | 1.351 | 5.487 | 18.330 | 9.798 | 8.371 | 20.907 | 1.056 |
| 2 | 23.883 | - | 8.037 | 23.418 | 11.230 | 8.600 | 24.832 | - |
| 3 | 27.695 | 1.613 | 1.632 | 15.715 | 8.498 | 7.790 | 37.056 | - |
Disclaimer/Publisher’s Note: The statements, opinions and data contained in all publications are solely those of the individual author(s) and contributor(s) and not of MDPI and/or the editor(s). MDPI and/or the editor(s) disclaim responsibility for any injury to people or property resulting from any ideas, methods, instructions or products referred to in the content. |
© 2024 by the authors. Licensee MDPI, Basel, Switzerland. This article is an open access article distributed under the terms and conditions of the Creative Commons Attribution (CC BY) license (https://creativecommons.org/licenses/by/4.0/).
Share and Cite
Feng, M.; Ma, Y.; Tian, Y.; Cao, H. Microstructure and Wear Resistance of Ti6Al4V Titanium Alloy Laser-Clad Ni60/WC Composite Coating. Materials 2024, 17, 264. https://doi.org/10.3390/ma17010264
Feng M, Ma Y, Tian Y, Cao H. Microstructure and Wear Resistance of Ti6Al4V Titanium Alloy Laser-Clad Ni60/WC Composite Coating. Materials. 2024; 17(1):264. https://doi.org/10.3390/ma17010264
Chicago/Turabian StyleFeng, Mingjia, Yunhai Ma, Yitong Tian, and Hongtu Cao. 2024. "Microstructure and Wear Resistance of Ti6Al4V Titanium Alloy Laser-Clad Ni60/WC Composite Coating" Materials 17, no. 1: 264. https://doi.org/10.3390/ma17010264
APA StyleFeng, M., Ma, Y., Tian, Y., & Cao, H. (2024). Microstructure and Wear Resistance of Ti6Al4V Titanium Alloy Laser-Clad Ni60/WC Composite Coating. Materials, 17(1), 264. https://doi.org/10.3390/ma17010264
