Phase-Field Insights into Hydrogen Trapping by Secondary Phases in Alloys
Abstract
1. Introduction
2. Materials and Methods
- (1)
- The material is assumed to be isotropic linear elastic, and the external mechanical load is not considered in the model.
- (2)
- To clearly present the effect of lattice mismatch, the mismatch of elastic property, diffusive coefficient, and solubility between the matrix and secondary phase is ignored.
- (3)
- The hydrogen trapping is treated as a thermodynamic process using the phase-field method. The diffusive interface is employed to describe the moving interface between trapping and non-trapping statuses.
2.1. Multi-Physical Coupled Field
2.2. Helmholtz Free Energy
2.3. FE Implementation
3. Results
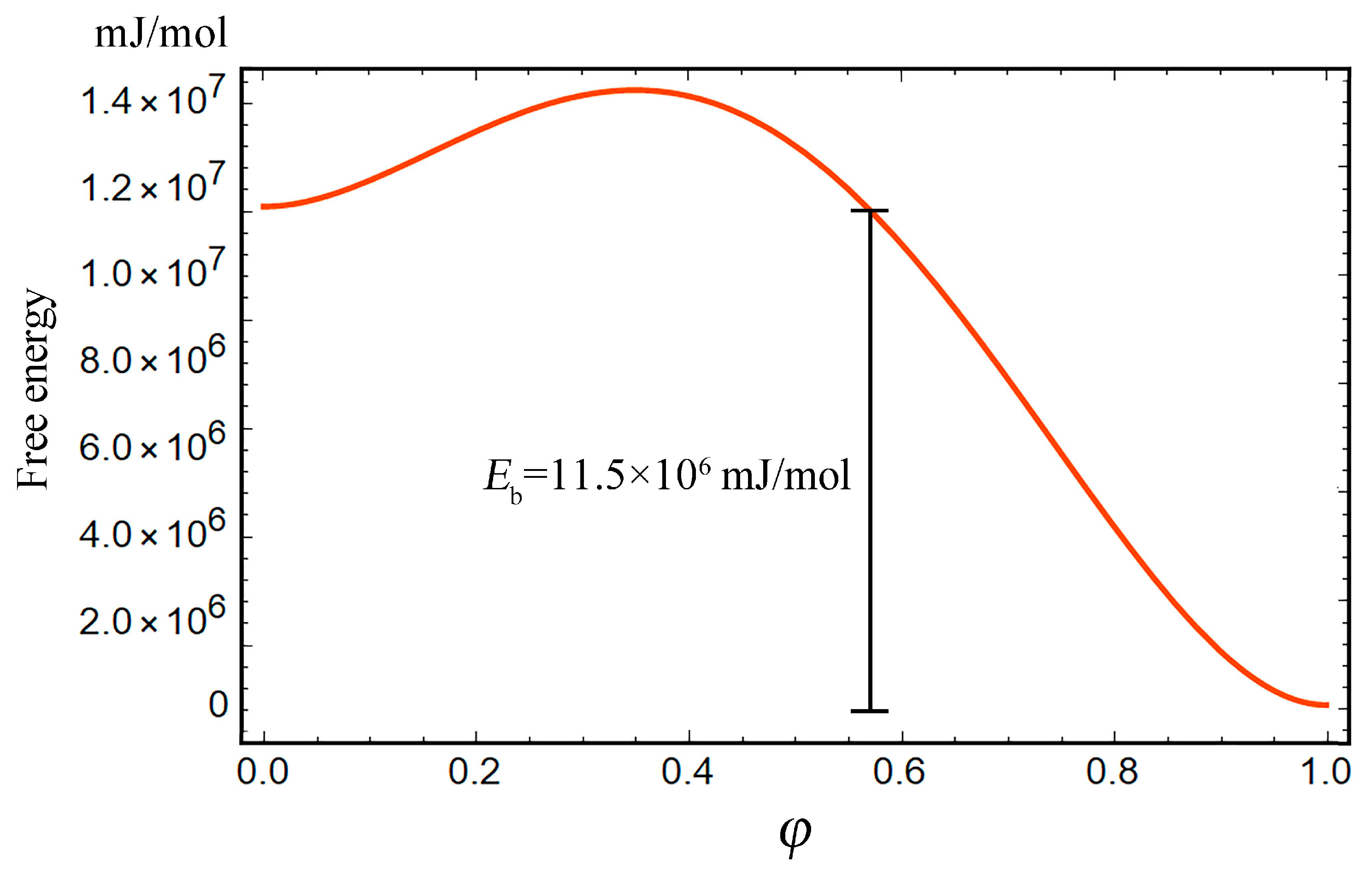
3.1. Justification of Free Energy
3.2. Hydrogen Trapping without Local Elastic-Driven Force
3.3. Hydrogen Trapping with Local Elastic-Driven Force
3.4. Hydrogen Charging
3.4.1. Volume Fraction
3.4.2. Refinement
4. Discussions
4.1. Effect of Secondary Phase Type on Hydrogen Charging Rate
4.2. Negligible Effect of Hydrostatic Pressure Gradient
5. Conclusions
- (1)
- For the secondary phase with pre-trapped points, the hydrogen segregation caused by the pre-trapped point results in clear hydrogen enrichment. For the secondary phase with the eigenstrain, the local elastic energy resulting from the hydrogen-trapping dilatation is generated and assists the hydrogen trapping from the trapping-free status. The high binding energy significantly hinders the hydrogen escape from the trap sites. However, the binding energy might be susceptible to temperatures and other factors, which offers the possibility of hydrogen release for the new hydrogen storage scheme.
- (2)
- Keeping the secondary phase volume fraction constant and varying the ratio of the short axis to the long axis, it is found that the ends with greater curvatures are prone to cause stronger stress concentrations which induce the greater local elastic energy to drive the hydrogen, thus overcoming the energy barrier.
- (3)
- For hydrogen charging, the increase in the volume fraction of the secondary phases can enhance the hydrogen storage capacity effectively. The refinement of secondary phases can reduce the hydrogen charging efficiency. The increase in trapping sites also gradually slows down the hydrogen charging rate. The volume fraction, refinement, and type of secondary phases can be quantitatively regulated by the alloying and heat treatment processes, enabling the optimization of the hydrogen charging.
Author Contributions
Funding
Institutional Review Board Statement
Informed Consent Statement
Data Availability Statement
Acknowledgments
Conflicts of Interest
References
- Zheng, J.; Liu, X.; Xu, P.; Liu, P.; Zhao, Y.; Yang, J. Development of high pressure gaseous hydrogen storage technologies. Int. J. Hydrogen Energy 2012, 37, 1048–1057. [Google Scholar] [CrossRef]
- Shafiei, E.; Davidsdottir, B.; Leaver, J.; Stefansson, H.; Asgeirsson, E.I. Energy, economic, and mitigation cost implications of transition toward a carbon-neutral transport sector: A simulation-based comparison between hydrogen and electricity. J. Clean Prod. 2017, 141, 237–247. [Google Scholar] [CrossRef]
- Bamisile, O.; Wang, X.; Adun, H.; Joseph, E.C.; Obiora, S.; Huang, Q.; Hu, W. A 2030 and 2050 feasible/sustainable decarbonization perusal for China’s Sichuan Province: A deep carbon neutrality analysis and Energy plan. Energy Convers. Manag. 2022, 261, 115605. [Google Scholar] [CrossRef]
- Zheng, Y.; Tan, Y.; Zhou, C.; Chen, G.; Li, J.; Liu, Y.; Liao, B.; Zhang, J. A review on effect of hydrogen on rubber seals used in the high-pressure hydrogen infrastructure. Int. J. Hydrogen Energy 2020, 45, 23721–23738. [Google Scholar] [CrossRef]
- Baykara, S.Z. Hydrogen: A brief overview on its sources, production and environmental impact. Int. J. Hydrogen Energy 2018, 43, 10605–10614. [Google Scholar] [CrossRef]
- Rasul, M.G.; Hazrat, M.A.; Sattar, M.A.; Jahirul, M.I.; Shearer, M.J. The future of hydrogen: Challenges on production, storage and applications. Energy Convers. Manag. 2022, 272, 116326. [Google Scholar] [CrossRef]
- Wu, F.; Gao, R.; Li, C.; Liu, J. A comprehensive evaluation of wind-PV-salt cavern-hydrogen energy storage and utilization system: A case study in Qianjiang salt cavern, China. Energy Convers. Manag. 2023, 277, 116633. [Google Scholar] [CrossRef]
- Aakko-Saksa, P.T.; Cook, C.; Kiviaho, J.; Repo, T. Liquid organic hydrogen carriers for transportation and storing of renewable energy—Review and discussion. J. Power Sources 2018, 396, 803–823. [Google Scholar] [CrossRef]
- Alekseeva, M.V.; Gulyaeva, Y.K.; Bulavchenko, O.A.; Saraev, A.A.; Kremneva, A.M.; Stepanenko, S.A.; Koskin, A.P.; Kaichev, V.V.; Yakovlev, V.A. Promoting effect of Zn in high-loading Zn/Ni-SiO2 catalysts for selective hydrogen evolution from methylcyclohexane. Dalton Trans. 2022, 51, 6068–6085. [Google Scholar] [CrossRef] [PubMed]
- Fernández-Sousa, R.; Betegón, C.; Martínez-Pañeda, E. Analysis of metal hydride storage on the basis of thermophysical properties and its application in microgrid. Energy Convers. Manag. 2020, 222, 113217. [Google Scholar]
- Chen, Z.; Ma, Z.; Zheng, J.; Li, X.; Akiba, E.; Li, H.W. Perspectives and challenges of hydrogen storage in solid-state hydrides. Chin. J. Chem. Eng. 2021, 229, 1–12. [Google Scholar] [CrossRef]
- Zhao, H.; Chakraborty, P.; Ponge, D.; Hickel, T.; Sun, B.; Wu, C.; Gault, B.; Raabe, D. Hydrogen trapping and embrittlement in high-strength Al alloys. Nature 2022, 602, 437–441. [Google Scholar]
- Alfons, H.M.K.; Bakker, A.D. Hydrogen trapping models in steel. Metal. Mater. Trans. A 2000, 31B, 1475–1482. [Google Scholar]
- McNabb, A.; Foster, P.K. A new analysis of the diffusion of hydrogen in iron and ferritic steels. Trans. Metal. Soc. AIME 1963, 227, 618–627. [Google Scholar]
- Oriani, R.A. The diffusion and trapping of hydrogen in steel. Acta Metal. 1970, 18, 147–157. [Google Scholar] [CrossRef]
- Zhou, C.; Liu, X.; Zhang, Y.; Wu, H.; Yang, Y. Numerical study on effect of inclusions on hydrogen segregation in steel under stress conditions. Int. J. Hydrogen Energy 2022, 47, 20310–20322. [Google Scholar] [CrossRef]
- Fernández-Sousa, R.; Betegón, C.; Martínez-Pañeda, E. Analysis of the influence of microstructural traps on hydrogen assisted fatigue. Acta Mater. 2020, 199, 253–263. [Google Scholar] [CrossRef]
- Leitner, S.; Ecker, W.; Fischer, F.D.; Svoboda, J. Thermodynamic trapping and diffusion model for multiple species in systems with multiple sorts of traps. Acta Mater. 2022, 233, 117940. [Google Scholar] [CrossRef]
- Martínez-Pañeda, E.; Golahmar, A.; Niordson, C.F. A phase field formulation for hydrogen assisted cracking. Comput. Methods Appl. Mech. Eng. 2018, 342, 742–761. [Google Scholar] [CrossRef]
- Kristensen, P.K.; Niordson, C.F.; Martínez-Pañeda, E. A phase field model for elastic-gradient-plastic solids undergoing hydrogen embrittlement. J. Mech. Phys. Solid 2020, 143, 104093. [Google Scholar]
- Wu, J.Y.; Mandal, T.K.; Nguyen, V.P. A phase-field regularized cohesive zone model for hydrogen assisted cracking. Comput. Methods Appl. Mech. Eng. 2020, 358, 112614. [Google Scholar] [CrossRef]
- Xie, C.; Bai, S.; Liu, X.; Zhang, M.; Du, J. Stress-corrosion coupled damage localization induced by secondary phases in bio-degradable Mg alloys: Phase-field modeling. J. Magnes. Alloy. 2022. [Google Scholar] [CrossRef]
- Pressouyre, G.M. A classification of hydrogen traps in steel. Metal Trans. A 1979, 10, 1571–1573. [Google Scholar] [CrossRef]
- Tashie-Lewis, B.C.; Nnabuife, S.G. Hydrogen production, distribution, storage and power conversion in a hydrogen economy—A technology review. Chem. Eng. J. Adv. 2021, 8, 100172. [Google Scholar] [CrossRef]
- Madadi, A.V.; Zendehboudi, S.; Cata Saady, N.M.; Dusseault, M.B. A comprehensive review on hydrogen production and utilization in North America: Prospects and challenges. Energy Convers. Manag. 2022, 269, 115927. [Google Scholar] [CrossRef]
- Yue, M.; Lambert, H.; Pahon, E.; Roche, R.; Jemei, S.; Hissel, D. Hydrogen energy systems: A critical review of technologies, applications, trends and challenges. Renew. Sustain. Energy Rev. 2021, 146, 111180. [Google Scholar] [CrossRef]
- Chau, K.; Djire, A.; Khan, F. Review and analysis of the hydrogen production technologies from a safety perspective. Int. J. Hydrogen Energy 2022, 47, 13990–14007. [Google Scholar] [CrossRef]
- Galliano, F.; Andrieu, E.; Blanc, C.; Cloue, J.M.; Connetable, D.; Odemer, G. Effect of trapping and temperature on the hydrogen embrittlement susceptibility of alloy 718. Mat. Sci. Eng. A Struct. 2014, 611, 370–382. [Google Scholar] [CrossRef]




















| Parameters | Value | Unit |
|---|---|---|
| Young’s modulus | 71,000 | |
| Poisson’s ratio | 0.33 | - |
| Interfacial characteristic thickness | 0.005 | |
| Mobility for lattice hydrogen transport | ||
| Mobility for trap hydrogen transport | ||
| Free energy density curvature | 53.5 | |
| Surface energy density | ||
| Number of lattice atoms per unit volume | ||
| Number of lattice atoms per unit volume | ||
| Trapping binding energy | ||
| Saddle point energy | ||
| The partial molar volume of hydrogen at lattice | ||
| The partial molar volume of hydrogen at trap | ||
| Avogadro constant | ||
| Gas constant | 8314 | |
| Absolute temperature | 300 | K |
| Parameter of diffusive interface | 1 | - |
Disclaimer/Publisher’s Note: The statements, opinions and data contained in all publications are solely those of the individual author(s) and contributor(s) and not of MDPI and/or the editor(s). MDPI and/or the editor(s) disclaim responsibility for any injury to people or property resulting from any ideas, methods, instructions or products referred to in the content. |
© 2023 by the authors. Licensee MDPI, Basel, Switzerland. This article is an open access article distributed under the terms and conditions of the Creative Commons Attribution (CC BY) license (https://creativecommons.org/licenses/by/4.0/).
Share and Cite
Bai, S.; Liu, L.; Liu, C.; Xie, C. Phase-Field Insights into Hydrogen Trapping by Secondary Phases in Alloys. Materials 2023, 16, 3189. https://doi.org/10.3390/ma16083189
Bai S, Liu L, Liu C, Xie C. Phase-Field Insights into Hydrogen Trapping by Secondary Phases in Alloys. Materials. 2023; 16(8):3189. https://doi.org/10.3390/ma16083189
Chicago/Turabian StyleBai, Shijie, Lin Liu, Chenyang Liu, and Chao Xie. 2023. "Phase-Field Insights into Hydrogen Trapping by Secondary Phases in Alloys" Materials 16, no. 8: 3189. https://doi.org/10.3390/ma16083189
APA StyleBai, S., Liu, L., Liu, C., & Xie, C. (2023). Phase-Field Insights into Hydrogen Trapping by Secondary Phases in Alloys. Materials, 16(8), 3189. https://doi.org/10.3390/ma16083189
