Role of 5 wt.% Mg Alloying in Al on Corrosion Characteristics of Al-Mg Coating Deposited by Plasma Arc Thermal Spray Process
Abstract
1. Introduction
2. Materials and Methods
2.1. Materials
2.2. Methods
3. Results and Discussion
3.1. Coating Thickness and Bond Adhesion
3.2. SEM of the Coatings
3.3. XRD of the Coatings
3.4. Contact Angle of the Coatings
3.5. Corrosion Studies in 3.5 wt.% NaCl at Different Duration of Immersion
3.5.1. Open Circuit Potential (OCP) Measurements
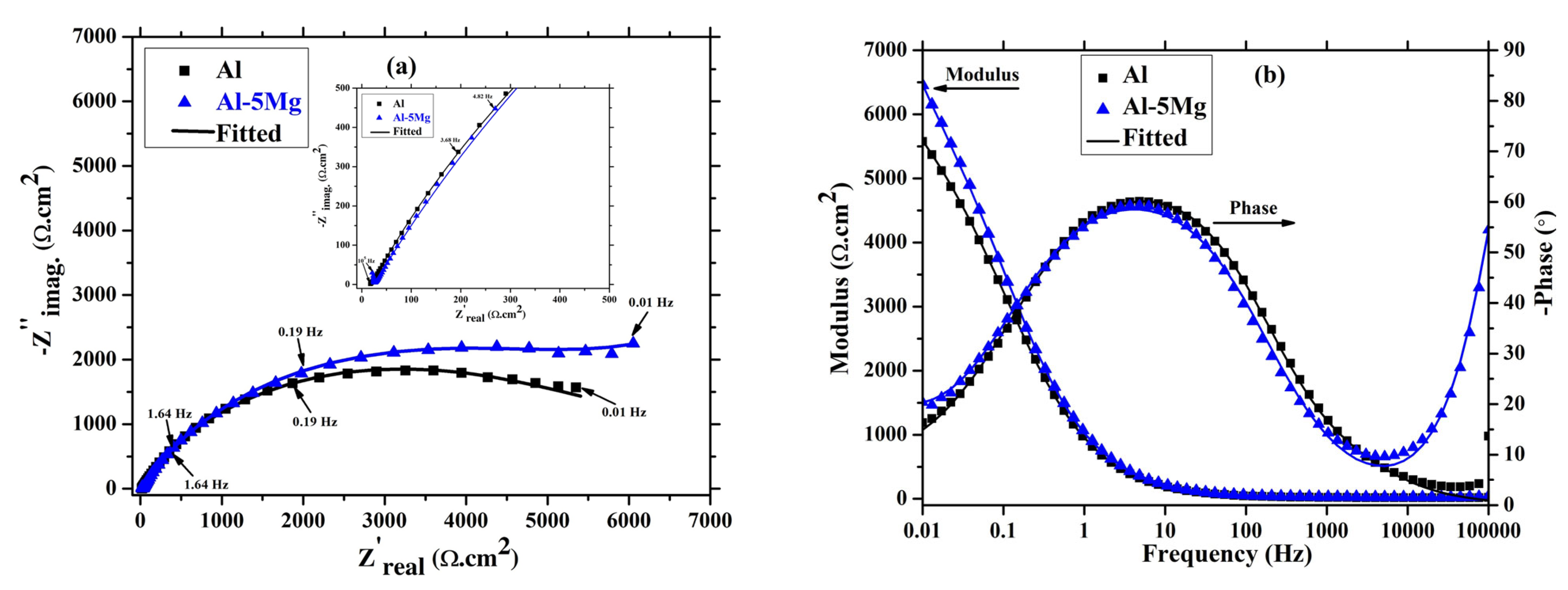
3.5.2. Electrochemical Impedance Spectroscopy (EIS) with Immersion Duration
3.5.3. Potentiodynamic Polarization (PDP) Analysis
3.6. SEM of the Corrosion Products
4. Conclusions
Author Contributions
Funding
Institutional Review Board Statement
Informed Consent Statement
Data Availability Statement
Acknowledgments
Conflicts of Interest
References
- Volovitch, P.; Vu, T.; Allély, C.; Aal, A.A.; Ogle, K. Understanding corrosion via corrosion product characterization: II. Role of alloying elements in improving the corrosion resistance of Zn–Al–Mg coatings on steel. Corros. Sci. 2011, 53, 2437–2445. [Google Scholar] [CrossRef]
- Schuerz, S.; Fleischanderl, M.; Luckeneder, G.; Preis, K.; Haunschmied, T.; Mori, G.; Kneissl, A. Corrosion behaviour of Zn–Al–Mg coated steel sheet in sodium chloride-containing environment. Corros. Sci. 2009, 51, 2355–2363. [Google Scholar] [CrossRef]
- Schürz, S.; Luckeneder, G.H.; Fleischanderl, M.; Mack, P.; Gsaller, H.; Kneissl, A.; Mori, G. Chemistry of corrosion products on Zn–Al–Mg alloy coated steel. Corros. Sci. 2010, 52, 3271–3279. [Google Scholar] [CrossRef]
- Persson, D.; Thierry, D.; LeBozec, N.; Prosek, T. In situ infrared reflection spectroscopy studies of the initial atmospheric corrosion of Zn–Al–Mg coated steel. Corros. Sci. 2013, 72, 54–63. [Google Scholar] [CrossRef]
- Dutta, M.; Halder, A.K.; Singh, S.B. Morphology and properties of hot dip Zn–Mg and Zn–Mg–Al alloy coatings on steel sheet. Surf. Coat. Technol. 2010, 205, 2578–2584. [Google Scholar] [CrossRef]
- Ueda, K.; Takahashi, A.; Kubo, Y. Investigation of corrosion resistance of pre-painted Zn-11% Al-3% Mg-0.2% Si alloy coated steel sheet through outdoor exposure test in Okinawa. La Metallurgia Italiana 2012, 2, 13–19. [Google Scholar]
- LeBozec, N.; Thierry, D.; Peltola, A.; Luxem, L.; Luckeneder, G.; Marchiaro, G.; Rohwerder, M. Corrosion performance of Zn–Mg–Al coated steel in accelerated corrosion tests used in the automotive industry and field exposures. Mater. Corros. 2013, 64, 969–978. [Google Scholar] [CrossRef]
- Chaliampalias, D.; Vourlias, G.; Pavlidou, E.; Stergioudis, G.; Skolianos, S.; Chrissafis, K. High temperature oxidation and corrosion in marine environments of thermal spray deposited coatings. Appl. Surf. Sci. 2008, 255, 3104–3111. [Google Scholar] [CrossRef]
- Zhao, X.; Yan, D.; Li, S.; Lu, C. The effect of heat treatment on the electrochemical corrosion behavior of reactive plasma-sprayed TiN coatings. Appl. Surf. Sci. 2011, 257, 10078–10083. [Google Scholar] [CrossRef]
- Tian, W.; Wang, Y.; Zhang, T.; Yang, Y. Sliding wear and electrochemical corrosion behavior of plasma sprayed nanocomposite Al2O3–13% TiO2 coatings. Mater. Chem. Phys. 2009, 118, 37–45. [Google Scholar] [CrossRef]
- De Rincón, O.; Sánchez, M.; De Romero, M.; Paz, G.; Campos, W. Long-term performance of different aluminum alloy designs as sacrificial anodes for rebars. Revista de Metalurgia 2003, 2003, 228–234. [Google Scholar] [CrossRef]
- Parthiban, G.; Parthiban, T.; Ravi, R.; Saraswathy, V.; Palaniswamy, N.; Sivan, V. Cathodic protection of steel in concrete using magnesium alloy anode. Corros. Sci. 2008, 50, 3329–3335. [Google Scholar] [CrossRef]
- Keppert, T.A.; Luckeneder, G.H.; Mori, G.; Stellnberger, K.-H. Influence of the pH Value on the Corrosion of Zn-Al-Mg Hot-Dip Galvanized Steel Sheets in Chloride Containing Environments. In CORROSION 2012; OnePetro: Richardson, TX, USA, 2012. [Google Scholar]
- LeBozec, N.; Thierry, D.; Rohwerder, M.; Persson, D.; Luckeneder, G.; Luxem, L. Effect of carbon dioxide on the atmospheric corrosion of Zn–Mg–Al coated steel. Corros. Sci. 2013, 74, 379–386. [Google Scholar] [CrossRef]
- Lee, H.-S.; Kwon, S.-J.; Singh, J.K.; Ismail, M.A. Influence of Zn and Mg alloying on the corrosion resistance properties of Al coating applied by arc thermal spray process in simulated weather solution. Acta Metall. Sin. 2018, 31, 591–603. [Google Scholar] [CrossRef]
- Vargel, C. Corrosion of Aluminium; Elsevier: Amsterdam, The Netherlands, 2020. [Google Scholar]
- Song, G.L.; Atrens, A. Corrosion mechanisms of magnesium alloys. Adv. Eng. Mater. 1999, 1, 11–33. [Google Scholar] [CrossRef]
- Shrestha, S.; Sturgeon, A. Characteristics and Electrochemical Corrosion Behaviour of Thermal Sprayed Aluminium (TSA) Coatings Prepared by Various Wire Thermal Spray Processes. In Proceedings of the EUROCORR 2005—The European Corrosion Congress, Lisbonne, Portugal, 4–8 September 2005; pp. 1–8. [Google Scholar]
- Rodriguez, R.M.P.; Paredes, R.S.; Wido, S.H.; Calixto, A. Comparison of aluminum coatings deposited by flame spray and by electric arc spray. Surf. Coat. Technol. 2007, 202, 172–179. [Google Scholar] [CrossRef]
- Nikbakht, R.; Seyedein, S.; Kheirandish, S.; Assadi, H.; Jodoin, B. The role of deposition sequence in cold spraying of dissimilar materials. Surf. Coat. Technol. 2019, 367, 75–85. [Google Scholar] [CrossRef]
- Lee, H.-S.; Singh, J.K. Deposition and corrosion studies of plasma arc thermal sprayed Zn and 85Zn–15Al films on steel surface. J. Mater. Sci. 2022, 57, 19650–19665. [Google Scholar] [CrossRef]
- Singh, J.K.; Mandal, S.; Adnin, R.J.; Lee, H.-S.; Yang, H.-M. Role of Coating Processes on the Corrosion Kinetics and Mechanism of Zinc in Artificial Seawater. Materials 2021, 14, 7464. [Google Scholar] [CrossRef] [PubMed]
- Walde, C.; Cote, D.; Champagne, V.; Sisson, R. Characterizing the effect of thermal processing on feedstock Al alloy powder for additive manufacturing applications. J. Mater. Eng. Perform. 2019, 28, 601–610. [Google Scholar] [CrossRef]
- Ngai, S.; Ngai, T.; Vogel, F.; Story, W.; Thompson, G.B.; Brewer, L.N. Saltwater corrosion behavior of cold sprayed AA7075 aluminum alloy coatings. Corros. Sci. 2018, 130, 231–240. [Google Scholar] [CrossRef]
- Rhys-Jones, T.N. Thermally sprayed coating systems for surface protection and clearance control applications in aero engines. Surf. Coat. Technol. 1990, 43, 402–415. [Google Scholar] [CrossRef]
- Schweitzer, P.A. Fundamentals of Corrosion: Mechanisms, Causes, and Preventative Methods; CRC Press: Boca Raton, FL, USA, 2003. [Google Scholar]
- Zhang, X.G. Corrosion and Electrochemistry of Zinc; Springer Science & Business Media: Berlin/Heidelberg, Germany, 1996. [Google Scholar]
- Lee, H.-S.; Singh, J.K.; Ismail, M.A.; Bhattacharya, C.; Seikh, A.H.; Alharthi, N.; Hussain, R.R. Corrosion mechanism and kinetics of Al-Zn coating deposited by arc thermal spraying process in saline solution at prolong exposure periods. Sci. Rep. 2019, 9, 3399. [Google Scholar] [CrossRef]
- Li, Y. Corrosion behaviour of hot dip zinc and zinc-aluminium coatings on steel in seawater. Bull. Mater. Sci. 2001, 24, 355–360. [Google Scholar] [CrossRef]
- Güleç, A.; Cevher, Ö.; Türk, A.; Ustel, F.; Yılmaz, F. Accelerated Corrosion Behaviors of Zn, Al and Zn/15Al Coatings on a Steel Surface; FSM Vakıf University: İstanbul, Turkey, 2011. [Google Scholar]
- Davis, J.R. Corrosion of Aluminum and Aluminum Alloys; ASM International: Detroit, MI, USA, 1999. [Google Scholar]
- Ezuber, H.; El-Houd, A.; El-Shawesh, F. A study on the corrosion behavior of aluminum alloys in seawater. Mater. Des. 2008, 29, 801–805. [Google Scholar] [CrossRef]
- Korean Standard, KS F4716; Cement Filling Compound for Surface Preparation Korean Agency for Technology and Standards (KATS). Korean Agency for Technology and Standards: Maengdong-myeon, Republic of Korea, 2001.
- Park, I.-C.; Kim, S.-J. Electrochemical characteristics in seawater for cold thermal spray-coated Al–Mg alloy layer. Acta Metall. Sin. 2016, 29, 727–734. [Google Scholar] [CrossRef]
- Polmear, I. Light Alloys: From Traditional Alloys to Nanocrystals; Elsevier: Amsterdam, The Netherlands, 2005. [Google Scholar]
- Gupta, R.; Sukiman, N.; Cavanaugh, M.; Hinton, B.; Hutchinson, C.; Birbilis, N. Metastable pitting characteristics of aluminium alloys measured using current transients during potentiostatic polarisation. Electrochim. Acta 2012, 66, 245–254. [Google Scholar] [CrossRef]
- Jang, J.-M.; Lee, H.-S.; Singh, J.K. Electromagnetic Shielding Performance of Different Metallic Coatings Deposited by Arc Thermal Spray Process. Materials 2020, 13, 5776. [Google Scholar] [CrossRef]
- Anson, J.; Drew, R.; Gruzleski, J. The surface tension of molten aluminum and Al-Si-Mg alloy under vacuum and hydrogen atmospheres. Metall. Mater. Trans. B 1999, 30, 1027–1032. [Google Scholar] [CrossRef]
- Apelian, D.; Kear, B.; Schadler, H. Rapidly Solidified Crystalline Alloys. In Conference Proceedings; Das, S.K., Kear, B.H., Adam, C.M., Eds.; The Metallurgical Society: Warrendale, PA, USA, 1985; p. 93. [Google Scholar]
- Abràmoff, M.D.; Magalhães, P.J.; Ram, S.J. Image processing with ImageJ. Biophotonics Int. 2004, 11, 36–42. [Google Scholar]
- Fowler, D.; Riggs, W.; Russ, J. Inspecting thermally sprayed coatings. Adv. Mater. Process. 1990, 138, 41–52. [Google Scholar]
- Birt, A.; Champagne, V.; Sisson, R.; Apelian, D. Microstructural analysis of cold-sprayed Ti-6Al-4V at the micro-and nano-scale. J. Therm. Spray Technol. 2015, 24, 1277–1288. [Google Scholar] [CrossRef]
- Paswan, S.; Singh, J.K.; Singh, D.D.N. Effect of lead alloying on corrosion characteristics of galvanized coatings exposed in atmosphere, simulated laboratory and a service environment. Surf. Interfaces 2020, 21, 100752. [Google Scholar] [CrossRef]
- Thimmaiah, P.C.; Panda, A.K.; Pandey, U.K.; McCague, C.; Dutta, P.; Bahrami, M. A new approach to compute the porosity and surface roughness of porous coated capillary-assisted low pressure evaporators. Sci. Rep. 2018, 8, 11708. [Google Scholar] [CrossRef] [PubMed]
- Isa, M.; Daud, A.R.; Ahmad, M.; Daud, M.; Shamsudin, S.; Hassanuddin, N.; Din Yati, M.; Muhammad, M. An electrochemical impedance spectroscopy study of Al-Zn and Al-Zn-Sn alloys in tropical seawater. Key Eng. Mater. 2012, 510, 284–292. [Google Scholar] [CrossRef]
- Lee, H.-S.; Singh, J.K.; Park, J.H. Pore blocking characteristics of corrosion products formed on Aluminum coating produced by arc thermal metal spray process in 3.5 wt.% NaCl solution. Constr. Build. Mater. 2016, 113, 905–916. [Google Scholar] [CrossRef]
- Lee, H.-S.; Singh, J.K.; Ismail, M.A.; Bhattacharya, C. Corrosion resistance properties of aluminum coating applied by arc thermal metal spray in SAE J2334 solution with exposure periods. Metals 2016, 6, 55. [Google Scholar] [CrossRef]
- Zhang, Z.; Liu, F.; Han, E.-H.; Xu, L. Mechanical and corrosion properties in 3.5% NaCl solution of cold sprayed Al-based coatings. Surf. Coat. Technol. 2020, 385, 125372. [Google Scholar] [CrossRef]
- Da Silva, F.; Bedoya, J.; Dosta, S.; Cinca, N.; Cano, I.; Guilemany, J.; Benedetti, A. Corrosion characteristics of cold gas spray coatings of reinforced aluminum deposited onto carbon steel. Corros. Sci. 2017, 114, 57–71. [Google Scholar] [CrossRef]
- Lim, A.B.; Neo, W.J.; Yauw, O.; Chylak, B.; Gan, C.L.; Chen, Z. Evaluation of the corrosion performance of Cu–Al intermetallic compounds and the effect of Pd addition. Microelectron. Reliab. 2016, 56, 155–161. [Google Scholar] [CrossRef]
- Meydanoglu, O.; Jodoin, B.; Kayali, E.S. Microstructure, mechanical properties and corrosion performance of 7075 Al matrix ceramic particle reinforced composite coatings produced by the cold gas dynamic spraying process. Surf. Coat. Technol. 2013, 235, 108–116. [Google Scholar] [CrossRef]
- Zheludkevich, M.L.; Shchukin, D.G.; Yasakau, K.A.; Möhwald, H.; Ferreira, M.G. Anticorrosion coatings with self-healing effect based on nanocontainers impregnated with corrosion inhibitor. Chem. Mater. 2007, 19, 402–411. [Google Scholar] [CrossRef]
- Kumar, C.S.; Rao, V.S.; Raja, V.; Sharma, A.; Mayanna, S. Corrosion behaviour of solar reflector coatings on AA 2024T3–an electrochemical impedance spectroscopy study. Corros. Sci. 2002, 44, 387–393. [Google Scholar] [CrossRef]
- Hitzig, J.; Jüttner, K.; Lorenz, W.; Paatsch, W. AC-impedance measurements on porous aluminium oxide films. Corros. Sci. 1984, 24, 945–952. [Google Scholar] [CrossRef]
- Mansfeld, F.; Kendig, M. Evaluation of anodized aluminum surfaces with electrochemical impedance spectroscopy. J. Electrochem. Soc. 1988, 135, 828. [Google Scholar] [CrossRef]
- Lee, H.-S.; Singh, J.K. Influence of calcium nitrate on morphology and corrosion characteristics of ammonium phosphate treated Aluminum coating deposited by arc thermal spraying process. Corros. Sci. 2019, 146, 254–268. [Google Scholar] [CrossRef]
- Lim, J.; Jeong, G.; Seo, K.; Lim, J.; Park, S.; Ju, W.; Janani, G.; Lee, D.-K.; Kim, J.Y.; Han, M.-K. Controlled optimization of Mg and Zn in Al alloys for improved corrosion resistance via uniform corrosion. Mater. Adv. 2022, 3, 4813–4823. [Google Scholar] [CrossRef]
- Farghali, R.; Fekry, A.; Ahmed, R.A.; Elhakim, H. Corrosion resistance of Ti modified by chitosan–gold nanoparticles for orthopedic implantation. Int. J. Biol. Macromol. 2015, 79, 787–799. [Google Scholar] [CrossRef]
- Trentin, A.; Chagas, V.H.; Uvida, M.C.; Pulcinelli, S.H.; Santilli, C.V.; Hammer, P. Green-High-Performance PMMA–Silica–Li Barrier Coatings. Corros. Mater. Degrad. 2022, 3, 303–319. [Google Scholar] [CrossRef]
- Wang, Y.; Liu, H.; Jia, Z.; Yang, B.; He, L. The Electrochemical Performance of Al-Mg-Ga-Sn-xBi Alloy Used as the Anodic Material for Al-Air Battery in KOH Electrolytes. Crystals 2022, 12, 1785. [Google Scholar] [CrossRef]
- ASTM G104; Standard Practice for Calculation of Corrosion Rates and Related Information from Electrochemical Measurements. ASTM International: West Conshohocken, PA, USA, 2004.
- Gummow, R. Cathodic protection potential criterion for underground steel structures. Mater. Perform. 1993, 32, 11. [Google Scholar]
- Reboul, M.; Warner, T.; Mayer, H.; Barouk, B. A ten step mechanism for the pitting corrosion of aluminium alloys. Corros. Rev. 1997, 15, 471–496. [Google Scholar] [CrossRef]
- Rosenfeld, I.; Marshakov, I. Mechanism of crevice corrosion. Corrosion 1964, 20, 115t–125t. [Google Scholar] [CrossRef]
- Huang, Y.; Li, Y.; Xiao, Z.; Liu, Y.; Huang, Y.; Ren, X. Effect of homogenization on the corrosion behavior of 5083-H321 aluminum alloy. J. Alloys Compd. 2016, 673, 73–79. [Google Scholar] [CrossRef]
- Zander, D.; Schnatterer, C.; Altenbach, C.; Chaineux, V. Microstructural impact on intergranular corrosion and the mechanical properties of industrial drawn 6056 aluminum wires. Mater. Des. 2015, 83, 49–59. [Google Scholar] [CrossRef]
- Sharma, M.M.; Tomedi, J.D.; Parks, J.M. A microscopic study on the corrosion fatigue of ultra-fine grained and conventional Al–Mg alloy. Corros. Sci. 2015, 93, 180–190. [Google Scholar] [CrossRef]
- Aballe, A.; Bethencourt, M.; Botana, F.; Cano, M.; Marcos, M. Influence of the cathodic intermetallics distribution on the reproducibility of the electrochemical measurements on AA5083 alloy in NaCl solutions. Corros. Sci. 2003, 45, 161–180. [Google Scholar] [CrossRef]












| Coatings | Elements (wt.%) | Porosity (%) | ||
|---|---|---|---|---|
| Al | Mg | O | ||
| Al | 97.37 | - | 2.63 | 10.86 |
| Al-5 Mg | 92.98 | 4.76 | 2.26 | 2.49 |
| Coatings | Parameters | 1 h | 8 d | 41 d | |
|---|---|---|---|---|---|
| Al | Rs (Ω·cm2) | 9.62 | 8.76 | 6.82 | |
| Rc (Ω·cm2) | 680.21 | 653.36 | 547.59 | ||
| CPEc | Qc (1 × 10−5) (Ω−1·cm−2·s−n) | 11.23 | 11.40 | 13.65 | |
| nc | 0.74 | 0.74 | 0.73 | ||
| Rox (Ω·cm2) | 730.46 | 737.62 | 1862.01 | ||
| CPEox | Qox (1 × 10−5) (Ω−1·cm−2·s−n) | 10.02 | 9.96 | 7.20 | |
| nox | 0.77 | 0.77 | 0.79 | ||
| Rct (Ω·cm2) | 1016.10 | 1043.23 | 3175.04 | ||
| CPEct | Qct(1 × 10−5) (Ω−1·cm−2·s−n) | 8.81 | 8.51 | 5.23 | |
| nct | 0.80 | 0.80 | 0.83 | ||
| Al-5 Mg | Rs (Ω·cm2) | 7.09 | 5.13 | 6.47 | |
| Rc (Ω·cm2) | 920.17 | 912.17 | 906.16 | ||
| CPEc | Qc (1 × 10−5) (Ω−1·cm−2·s−n) | 9.88 | 9.91 | 9.95 | |
| nc | 0.79 | 0.79 | 0.79 | ||
| Rox (Ω·cm2) | 1033.40 | 1592.33 | 2063.76 | ||
| CPEox | Qox (1 × 10−5) (Ω−1·cm−2·s−n) | 8.51 | 7.10 | 5.83 | |
| nox | 0.82 | 0.83 | 0.84 | ||
| Rct (Ω·cm2) | 1307.10 | 1991.74 | 3501.30 | ||
| CPEct | Qct (1 × 10−5) (Ω−1·cm−2·s−n) | 6.79 | 5.72 | 3.38 | |
| nct | 0.84 | 0.85 | 0.87 | ||
| Coatings | Electrochemical Parameters | ||
|---|---|---|---|
| Ecorr (V) vs. SCE | icorr (μA·cm−2) | Corrosion Rate (μm·Year−1) | |
| Al | −0.99 | 3.83 | 41.75 |
| Al-5 Mg | −1.09 | 2.35 | 26.56 |
| Coatings | Element (wt.%) | ||||
|---|---|---|---|---|---|
| Al | Mg | O | Na | Cl | |
| Al | 46.85 | - | 52.95 | 0.00 | 0.20 |
| Al-5 Mg | 67.99 | 1.27 | 28.64 | 1.45 | 0.65 |
Disclaimer/Publisher’s Note: The statements, opinions and data contained in all publications are solely those of the individual author(s) and contributor(s) and not of MDPI and/or the editor(s). MDPI and/or the editor(s) disclaim responsibility for any injury to people or property resulting from any ideas, methods, instructions or products referred to in the content. |
© 2023 by the authors. Licensee MDPI, Basel, Switzerland. This article is an open access article distributed under the terms and conditions of the Creative Commons Attribution (CC BY) license (https://creativecommons.org/licenses/by/4.0/).
Share and Cite
Jeong, H.-R.; Singh, J.K. Role of 5 wt.% Mg Alloying in Al on Corrosion Characteristics of Al-Mg Coating Deposited by Plasma Arc Thermal Spray Process. Materials 2023, 16, 3088. https://doi.org/10.3390/ma16083088
Jeong H-R, Singh JK. Role of 5 wt.% Mg Alloying in Al on Corrosion Characteristics of Al-Mg Coating Deposited by Plasma Arc Thermal Spray Process. Materials. 2023; 16(8):3088. https://doi.org/10.3390/ma16083088
Chicago/Turabian StyleJeong, Hwa-Rang, and Jitendra Kumar Singh. 2023. "Role of 5 wt.% Mg Alloying in Al on Corrosion Characteristics of Al-Mg Coating Deposited by Plasma Arc Thermal Spray Process" Materials 16, no. 8: 3088. https://doi.org/10.3390/ma16083088
APA StyleJeong, H.-R., & Singh, J. K. (2023). Role of 5 wt.% Mg Alloying in Al on Corrosion Characteristics of Al-Mg Coating Deposited by Plasma Arc Thermal Spray Process. Materials, 16(8), 3088. https://doi.org/10.3390/ma16083088

