Effect of the Water-Binder Ratio on the Autogenous Shrinkage of C50 Mass Concrete Mixed with MgO Expansion Agent
Abstract
1. Introduction
2. Materials and Methods
2.1. Materials
2.2. Mixture Proportions of Concrete
2.3. Methods
2.3.1. Mechanical Properties
2.3.2. Autogenous Deformation
2.3.3. Thermal Analysis
2.3.4. Pore Structure
3. Results
3.1. Effect of Water-Binder Ratio on the Compressive Strength of Concrete with MEA
3.2. Autogenous Deformation and Internal Relative Humidity in Concrete
3.3. Thermal Analysis
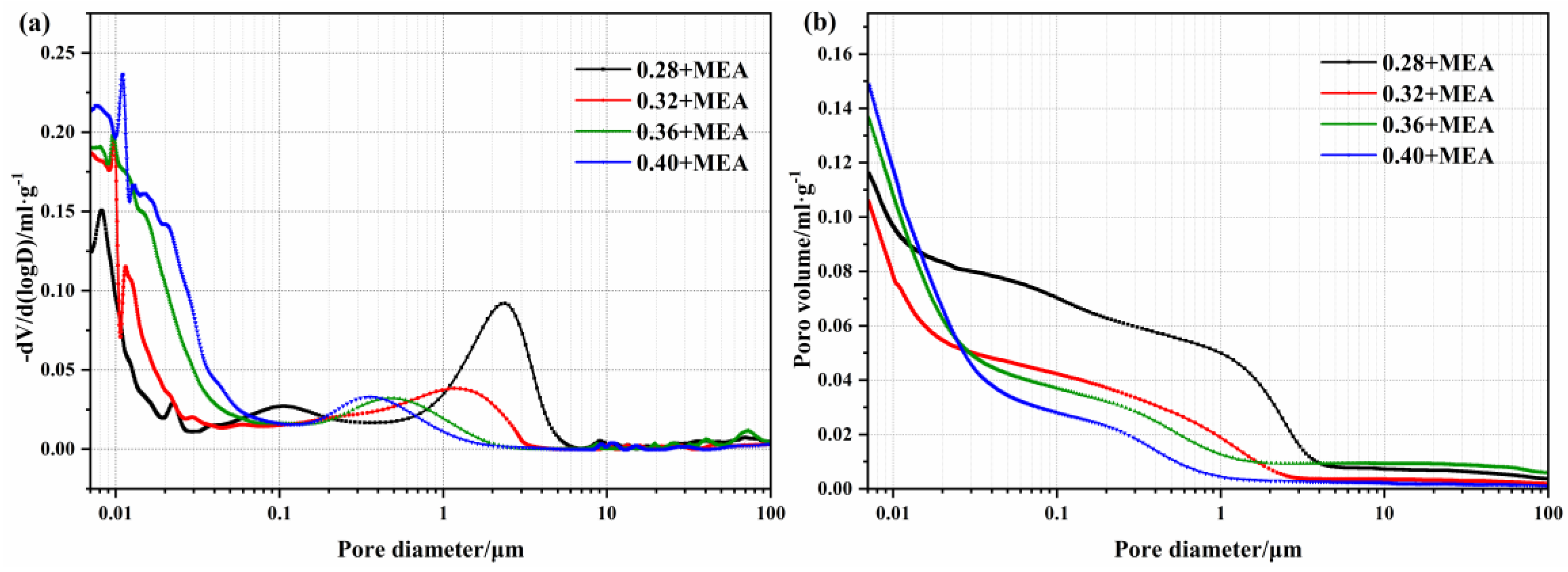
3.4. Pore Structure and Microstructure
4. Discussion
5. Conclusions
- The hydration process of MgO is accelerated under variable temperature curing. The addition of 8 wt% MEA reduces the compressive strength of the concrete, but the effect is minimal (no more than 5 MPa). In this experiment, the compressive strength of the concrete at 7 d can reach 85% or more at 28 d.
- High temperature accelerates the early self-shrinkage of concrete, especially within 7 d. Increasing the water-binder ratio can reduce the autogenous shrinkage of concrete. When the water-binder ratio is 0.40, the concrete deformation is slightly expanded. Compared to the reference group without MEA, the best effect of compensating for autogenous shrinkage is achieved by adding 8% MEA with a water-binder ratio of 0.36. Therefore, in actual projects, the water-binder ratio can be relaxed to 0.36 or even 0.40 under the premise of ensuring strength.
- At high temperatures, the hydration product of MgO, Mg(OH)2 crystals, appear as lamellar in the cement system, growing mainly in the pores not far from the MgO particles and overlapping each other. As the water-binder ratio increases, the MgO hydrates more and the Mg(OH)2 crystals become denser, which fills the pores better and counteracts the autogenous shrinkage of the concrete.
Author Contributions
Funding
Institutional Review Board Statement
Informed Consent Statement
Data Availability Statement
Acknowledgments
Conflicts of Interest
References
- Habel, K.; Viviani, M.; Denarié, E.; Brühwiler, E. Development of the mechanical properties of an Ultra-High-Performance Fiber Reinforced Concrete (UHPFRC). Cem. Concr. Res. 2006, 36, 1362–1370. [Google Scholar] [CrossRef]
- Sifan, M.; Nagaratnam, B.; Thamboo, J.; Poologanathan, K.; Corradi, M. Development and prospectives of lightweight high strength concrete using lightweight aggregates. Constr. Build. Mater. 2023, 362, 129628. [Google Scholar] [CrossRef]
- Mac, M.J.; Yio, M.H.N.; Wong, H.S.; Buenfeld, N.R. Analysis of autogenous shrinkage-induced microcracks in concrete from 3D images. Cem. Concr. Res. 2021, 144, 106416. [Google Scholar] [CrossRef]
- Jensen, O.M.; Hansen, P.F. Autogenous deformation and RH-change in perspective. Cem. Concr. Res. 2001, 31, 1859–1865. [Google Scholar] [CrossRef]
- Yio, M.H.N.; Mac, M.J.; Yeow, Y.X.; Wong, H.S.; Buenfeld, N.R. Effect of autogenous shrinkage on microcracking and mass transport properties of concrete containing supplementary cementitious materials. Cem. Concr. Res. 2021, 150, 106611. [Google Scholar] [CrossRef]
- Tang, S.; Huang, D.; He, Z. A review of autogenous shrinkage models of concrete. J. Build. Eng. 2021, 44, 103412. [Google Scholar] [CrossRef]
- Zhao, H.; Liu, J.; Yin, X.; Wang, Y.; Huang, D. A multiscale prediction model and simulation for autogenous shrinkage deformation of early-age cementitious materials. Constr. Build Mater. 2019, 215, 482–493. [Google Scholar] [CrossRef]
- Shen, D.; Liu, C.; Luo, Y.; Shao, H.; Zhou, X.; Bai, S. Early-age autogenous shrinkage, tensile creep, and restrained cracking behavior of ultra-high-performance concrete incorporating polypropylene fibers. Cem. Concr. Compos. 2023, 138, 104948. [Google Scholar] [CrossRef]
- Valipour, M.; Khayat, K.H. Coupled effect of shrinkage-mitigating admixtures and saturated lightweight sand on shrinkage of UHPC for overlay applications. Constr. Build Mater. 2018, 184, 320–329. [Google Scholar] [CrossRef]
- Wang, Y.; Tian, Q.; Li, H.; Wang, Y.; Li, M.; Liu, J. A new hypothesis for early age expansion of cement-based materials: Cavitation in ink-bottle pores. Constr. Build. Mater. 2022, 326, 126884. [Google Scholar] [CrossRef]
- Akcay, B.; Tasdemir, M.A. Autogenous shrinkage, pozzolanic activity and mechanical properties of metakaolin blended cementitious materials. KSCE J. Civil Eng. 2019, 23, 4727–4734. [Google Scholar] [CrossRef]
- Wang, L.; Jin, M.; Wu, Y.; Zhou, Y.; Tang, S. Hydration, shrinkage, pore structure and fractal dimension of silica fume modified low heat Portland cement-based materials. Construct. Build. Mater. 2021, 272, 121952. [Google Scholar] [CrossRef]
- Weber, S.; Reinhardt, H.W. A New Generation of High Performance Concrete: Concrete with Autogenous Curing. Adv. Cem. Based Mater. 1997, 6, 59–68. [Google Scholar] [CrossRef]
- Andreu Gonzalez-Corominas, M.E. Effects of using recycled concrete aggregates on the shrinkage of high performance concrete. Constr. Build. Mater. 2016, 115, 32–41. [Google Scholar] [CrossRef]
- Torgal, F.P.; Jalali, S. Eco-Efficient Construction and Building Materials; Springer Verlag London Limited: London, UK, 2011. [Google Scholar]
- Polat, R.; Demirboğa, R.; Khushefati, W.H. Effects of nano and micro size of CaO and MgO, nano-clay and expanded perlite aggregate on the autogenous shrinkage of mortar. Constr. Build Mater. 2015, 81, 268–275. [Google Scholar] [CrossRef]
- Yang, L.; Ma, X.; Liu, J.; Hu, X.; Wu, Z.; Shi, C. Improving the effectiveness of internal curing through engineering the pore structure of lightweight aggregates. Cem. Concr. Comp. 2022, 134, 104773. [Google Scholar] [CrossRef]
- Xu, F.; Lin, X.; Zhou, A. Performance of internal curing materials in high-performance concrete: A review. Constr. Build Mater. 2021, 311, 125250. [Google Scholar] [CrossRef]
- Shen, D.; Wang, X.; Cheng, D.; Zhang, J.; Jiang, G. Effect of internal curing with super absorbent polymers on autogenous shrinkage of concrete at early age. Constr. Build Mater. 2016, 106, 512–522. [Google Scholar] [CrossRef]
- Wyrzykowski, M.; Lura, P.; Pesavento, F.; Gawin, D. Modeling of Water Migration during Internal Curing with Superabsorbent Polymers. J. Mater. Civ. Eng. 2012, 24, 1006–1016. [Google Scholar] [CrossRef]
- Mo, L.; Deng, M.; Tang, M.; Al-Tabbaa, A. MgO expansive cement and concrete in China: Past, present and future. Cem. Concr. Res. 2014, 57, 1–12. [Google Scholar] [CrossRef]
- Ou, G.; Lin, Z.; Kishi, T. The practical application of a self-developed temperature stress testing machine in development of expansive concrete blended with calcium sulfoaluminate additives. Cem. Concr. Res. 2023, 164, 107045. [Google Scholar] [CrossRef]
- Ou, G.; Kishi, T.; Mo, L.; Lin, Z. New insights into restrained stress and deformation mechanisms of concretes blended with calcium sulfoaluminate and MgO expansive additives using multi-scale techniques. Constr. Build Mater. 2023, 371, 130737. [Google Scholar] [CrossRef]
- Chen, X.; Yang, H.; Li, W. Factors analysis on autogenous volume deformation of MgO concrete and early thermal cracking evaluation. Constr. Build Mater. 2016, 118, 276–285. [Google Scholar] [CrossRef]
- Temiz, H.; Kantarcı, F.; Emin İnceer, M. Influence of blast-furnace slag on behaviour of dolomite used as a raw material of MgO-type expansive agent. Constr. Build Mater. 2015, 94, 528–535. [Google Scholar] [CrossRef]
- Zhang, X.; Liu, Z.; Wang, F. Autogenous shrinkage behavior of ultra-high performance concrete. Constr. Build Mater. 2019, 226, 459–468. [Google Scholar] [CrossRef]
- Loukili, A.; Khelidj, A.; Richard, P. Hydration kinetics, change of relative humidity, and autogenous shrinkage of ultra-high-strength concrete. Cem. Concr. Res. 1999, 29, 577–584. [Google Scholar] [CrossRef]
- Persson, B. Self-desiccation and its importance in concrete technology. Mater. Struct. 1997, 30, 293–305. [Google Scholar] [CrossRef]
- Salomão, R.; Bittencourt, L.R.M.; Pandolfelli, V.C. A novel approach for magnesia hydration assessment in refractory castables. Ceram Int. 2007, 33, 803–810. [Google Scholar] [CrossRef]
- Mo, L.; Fang, J.; Hou, W.; Ji, X.; Yang, J.; Fan, T.; Wang, H. Synergetic effects of curing temperature and hydration reactivity of MgO expansive agents on their hydration and expansion behaviours in cement pastes. Constr. Build Mater. 2019, 207, 206–217. [Google Scholar] [CrossRef]
- Durán, T.; Pena, P.; De Aza, S.; Gómez-Millán, J.; Alvarez, M.; De Aza, A.H. Interactions in Calcium Aluminate Cement (CAC)-Based Castables Containing Magnesia. Part I: Hydration-Dehydration Behavior of MgO in the Absence of CAC. J. Am. Ceram Soc. 2011, 94, 902–908. [Google Scholar] [CrossRef]
- Thomas, J.J.; Musso, S.; Prestini, I. Kinetics and Activation Energy of Magnesium Oxide Hydration. J. Am. Ceram Soc. 2014, 97, 275–282. [Google Scholar] [CrossRef]
- Liu, J.; Wang, Y.; Tian, Q.; Zhang, S. Temperature sensitivity of the expansion performance of lightly burned magnesium oxide expansion agent and its mechanism analysis. J. Southeast Univ. 2011, 41, 359–364. [Google Scholar]
- Li, M.; Liu, J.; Tian, Q.; Wang, Y.; Xu, W. Efficacy of internal curing combined with expansive agent in mitigating shrinkage deformation of concrete under variable temperature condition. Constr. Build Mater. 2017, 145, 354–360. [Google Scholar] [CrossRef]
- Wang, L.; Li, G.; Li, X.; Guo, F.; Tang, S.; Lu, X.; Hanif, A. Influence of reactivity and dosage of MgO expansive agent on shrinkage and crack resistance of face slab concrete. Cem. Concr. Compos. 2022, 126, 104333. [Google Scholar] [CrossRef]
- Li, H.; Tian, Q.; Zhao, H.; Lu, A.; Liu, J. Temperature sensitivity of MgO expansive agent and its application in temperature crack mitigation in shiplock mass concrete. Constr. Build Mater. 2018, 170, 613–618. [Google Scholar] [CrossRef]
- Miao, M.; Yan, P. Influences of Water-binder Ratio and Dosage of Fly Ash on Autogenous Shrinkage of Shrinkage-Compensating Concrete. J. Chin. Ceram. Soc. 2012, 40, 1607–1612. [Google Scholar]
- Yang, L.; Shi, C.; Wu, Z. Mitigation techniques for autogenous shrinkage of ultra-high-performance concrete—A review. Compos. Part B Eng. 2019, 178, 107456. [Google Scholar] [CrossRef]
- Cao, F.; Miao, M.; Yan, P. Effects of reactivity of MgO expansive agent on its performance in cement-based materials and an improvement of the evaluating method of MEA reactivity. Constr. Build. Mater. 2018, 187, 257–266. [Google Scholar] [CrossRef]
- CBMF 19-2017; China Building Materials Association Standard. MgO Expansion Agent for Concrete. 2017. Available online: http://www.ccpa.com.cn/site/xhbz/93.html?siteid=10001 (accessed on 28 February 2022).
- GB/T 50081-2019; Standard for Test Methods of Concrete Physical and Mechanical Properties. China Construction Industry Press: Beijing, China, 2019.
- Yu, L.; Deng, M.; Mo, L.; Liu, J.; Jiang, F. Effects of Lightly Burnt MgO Expansive Agent on the Deformation and Microstructure of Reinforced Concrete Wall. Adv. Mater Sci. Eng. 2019, 2019, 1–9. [Google Scholar] [CrossRef]
- SL/T 352-2020; Test Code for Hydraulic Concrete. China Water & Power Press: Beijing, China, 2020.
- Huang, H.; Ye, G. Examining the “time-zero” of autogenous shrinkage in high/ultra-high performance cement pastes. Cem. Concr. Res. 2017, 97, 107–114. [Google Scholar] [CrossRef]
- Li, Y.; Deng, M.; Mo, L.; Tang, M. Strength and Expansive Stresses of Concrete with MgO-Type Expansive Agent under Restrain Conditions. J. Build. Mater. 2012, 15, 446–450. [Google Scholar]
- Mo, L.; Fang, J.; Huang, B.; Wang, A.; Deng, M. Combined effects of biochar and MgO expansive additive on the autogenous shrinkage, internal relative humidity and compressive strength of cement pastes. Constr. Build Mater. 2019, 229, 116877. [Google Scholar] [CrossRef]










| Chemical Compositions | OPC | FA | BFS | MEA |
|---|---|---|---|---|
| CaO (%) | 65.32 | 4.07 | 38.00 | 1.98 |
| SiO2 (%) | 18.55 | 50.53 | 33.72 | 3.87 |
| Al2O3 (%) | 3.95 | 31.65 | 17.74 | 1.03 |
| Fe2O3 (%) | 3.41 | 4.48 | 0.77 | 0.88 |
| MgO (%) | 1.01 | 0.92 | 6.35 | 89.37 |
| K2O (%) | 0.72 | 1.26 | 0.41 | 0.08 |
| Na2O (%) | 0.18 | 0.68 | 0.41 | - |
| SO3 (%) | 2.78 | 1.32 | 1.04 | 0.06 |
| LOI (%) | 2.88 | 2.77 | −0.72 | 2.38 |
| Sample | W/B | Mix Proportion/(kg/m3) | ||||||
|---|---|---|---|---|---|---|---|---|
| OPC | FA | BFS | S | G | MEA | SP | ||
| C1 | 0.28 | 360 | 90 | 40 | 680 | 1100 | 40 | 3.3% |
| C2 | 0.32 | 360 | 90 | 40 | 680 | 1100 | 40 | 2.6% |
| C3 | 0.36 | 360 | 90 | 40 | 680 | 1100 | 40 | 1.9% |
| C4 | 0.40 | 360 | 90 | 40 | 680 | 1100 | 40 | 1.6% |
| C5 | 0.28 | 320 | 90 | 40 | 680 | 1100 | 0 | 3.2% |
| C6 | 0.32 | 320 | 90 | 40 | 680 | 1100 | 0 | 2.5% |
| C7 | 0.36 | 320 | 90 | 40 | 680 | 1100 | 0 | 1.7% |
| C8 | 0.40 | 320 | 90 | 40 | 680 | 1100 | 0 | 1.4% |
| 0.28 + 8% MEA | 0.32 + 8% MEA | 0.36 + 8% MEA | 0.40 + 8% MEA | |||||||||
|---|---|---|---|---|---|---|---|---|---|---|---|---|
| 1 d | 3 d | 7 d | 1 d | 3 d | 7 d | 1 d | 3 d | 7 d | 1 d | 3 d | 7 d | |
| Mass loss at 320–400 °C/wt% | 2.1 | 2.8 | 3.1 | 2.2 | 2.9 | 3.2 | 2.2 | 3.2 | 3.3 | 2.2 | 3.6 | 3.4 |
| Quantity of Mg(OH)2/% | 6.8 | 9.3 | 10.0 | 7.2 | 9.5 | 10.4 | 8.2 | 10.5 | 10.7 | 7.2 | 11.7 | 11.1 |
| Hydration degree of MgO/% | 39.2 | 53.1 | 58.9 | 40.5 | 52.3 | 65.8 | 42.7 | 55.2 | 66.9 | 51.7 | 67.4 | 72.6 |
Disclaimer/Publisher’s Note: The statements, opinions and data contained in all publications are solely those of the individual author(s) and contributor(s) and not of MDPI and/or the editor(s). MDPI and/or the editor(s) disclaim responsibility for any injury to people or property resulting from any ideas, methods, instructions or products referred to in the content. |
© 2023 by the authors. Licensee MDPI, Basel, Switzerland. This article is an open access article distributed under the terms and conditions of the Creative Commons Attribution (CC BY) license (https://creativecommons.org/licenses/by/4.0/).
Share and Cite
Chen, J.; Mao, Z.; Huang, X.; Deng, M. Effect of the Water-Binder Ratio on the Autogenous Shrinkage of C50 Mass Concrete Mixed with MgO Expansion Agent. Materials 2023, 16, 2478. https://doi.org/10.3390/ma16062478
Chen J, Mao Z, Huang X, Deng M. Effect of the Water-Binder Ratio on the Autogenous Shrinkage of C50 Mass Concrete Mixed with MgO Expansion Agent. Materials. 2023; 16(6):2478. https://doi.org/10.3390/ma16062478
Chicago/Turabian StyleChen, Jun, Zhongyang Mao, Xiaojun Huang, and Min Deng. 2023. "Effect of the Water-Binder Ratio on the Autogenous Shrinkage of C50 Mass Concrete Mixed with MgO Expansion Agent" Materials 16, no. 6: 2478. https://doi.org/10.3390/ma16062478
APA StyleChen, J., Mao, Z., Huang, X., & Deng, M. (2023). Effect of the Water-Binder Ratio on the Autogenous Shrinkage of C50 Mass Concrete Mixed with MgO Expansion Agent. Materials, 16(6), 2478. https://doi.org/10.3390/ma16062478
