Effect of Plasma Argon Pretreatment on the Surface Properties of AZ31 Magnesium Alloy
Abstract
1. Introduction
2. Materials and Methods
2.1. Metal Samples
2.2. Argon Plasma Pretreatment
2.3. Surface Analysis
2.3.1. Contact Angle
2.3.2. Atomic Force Microscopy
2.3.3. X-ray Photoelectron Spectroscopy
2.4. Electrochemical Measurements
2.5. Weight Loss
3. Results and Discussion
3.1. Surface Characterization
3.1.1. Contact Angle
3.1.2. Atomic Force Microscopy
3.1.3. X-ray Photoelectron Spectroscopy
3.2. Electrochemical Results
3.2.1. Open Circuit Potential
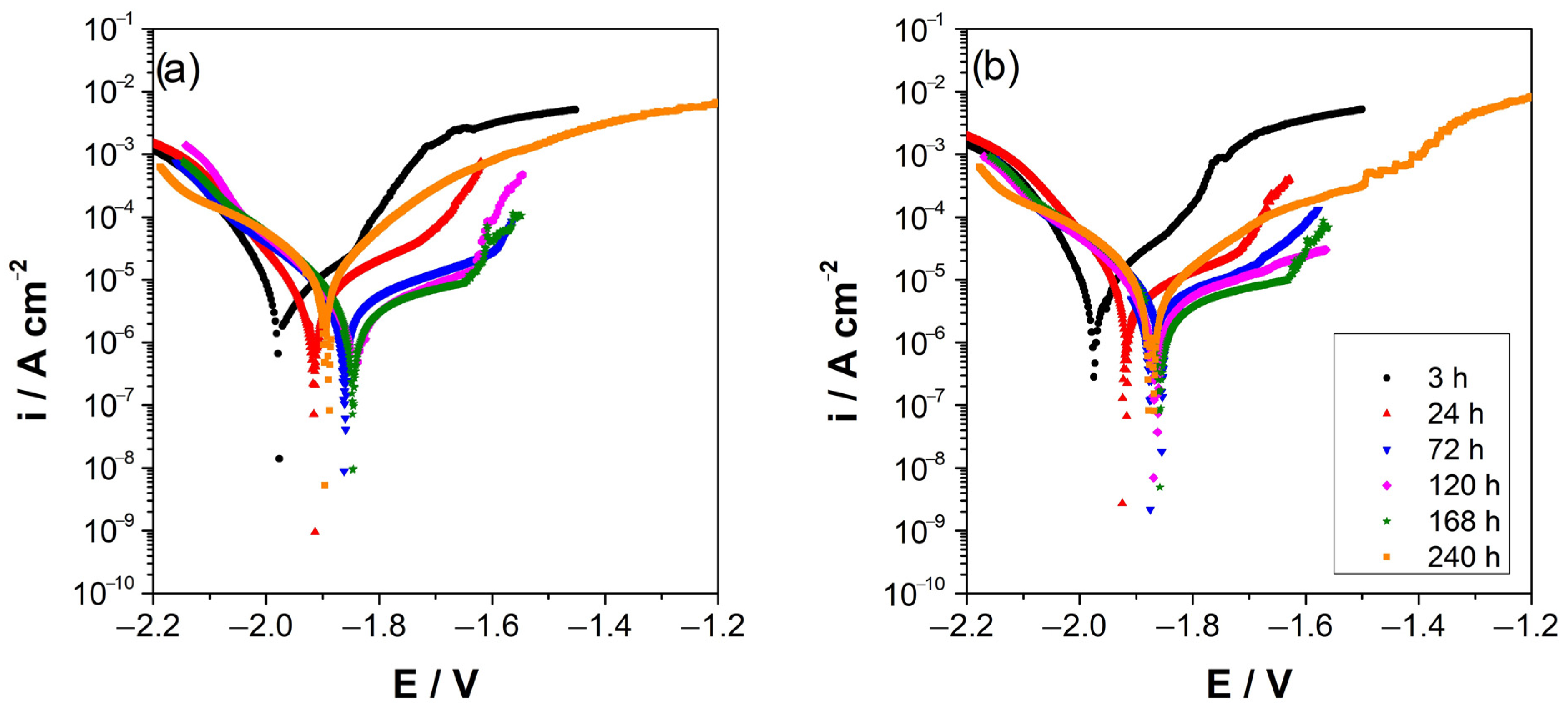
3.2.2. Potentiodynamic Polarization
3.2.3. Electrochemical Impedance Spectroscopy
3.3. Weight Loss
4. Conclusions
Author Contributions
Funding
Institutional Review Board Statement
Informed Consent Statement
Data Availability Statement
Conflicts of Interest
References
- Esmaily, M.; Svensson, J.E.; Fajardo, S.; Birbilis, N.; Frankel, G.S.; Virtanen, S.; Arrabal, R.; Thomas, S.; Johansson, L.G. Fundamentals and Advances in Magnesium Alloy Corrosion. Prog. Mater. Sci. 2017, 89, 92–193. [Google Scholar] [CrossRef]
- Leleu, S.; Rives, B.; Causse, N.; Pébère, N. Corrosion Rate Determination of Rare-Earth Mg Alloys in a Na2SO4 Solution by Electrochemical Measurements and Inductive Coupled Plasma-Optical Emission Spectroscopy. J. Magnes. Alloys 2019, 7, 47–57. [Google Scholar] [CrossRef]
- Tiyyagura, H.R.; Puliyalil, H.; Filipič, G.; Kumar, K.C.; Pottathara, Y.B.; Rudolf, R.; Fuchs-Godec, R.; Mohan, M.K.; Cvelbar, U. Corrosion Studies of Plasma Modified Magnesium Alloy in Simulated Body Fluid (SBF) Solutions. Surf. Coat. Technol. 2020, 385, 125434. [Google Scholar] [CrossRef]
- Yang, J.; Cui, F.Z.; Lee, I.S.; Wang, X. Plasma Surface Modification of Magnesium Alloy for Biomedical Application. Surf. Coat. Technol. 2010, 205 (Suppl. S1), S182–S187. [Google Scholar] [CrossRef]
- Gray, J.E.; Luan, B. Protective Coatings on Magnesium and Its Alloys—A Critical Review. J. Alloys Compd. 2002, 336, 88–113. [Google Scholar] [CrossRef]
- Sönmez, T.; Fazeli Jadidi, M.; Kazmanli, K.; Birer, Ö.; Ürgen, M. Role of Different Plasma Gases on the Surface Chemistry and Wettability of RF Plasma Treated Stainless Steel. Vacuum 2016, 129, 63–73. [Google Scholar] [CrossRef]
- Muñoz, L.; Pineda, F.; Martínez, C.; Sancy, M.; Urzua, M.; Flores, M.; Encinas, M.V.; Páez, M.A. Improving the Interaction between Aluminum Surfaces and Polymer Coatings. Surf. Coat. Technol. 2019, 358, 435–442. [Google Scholar] [CrossRef]
- Lin, J.W.; Chang, H.C. Surface Modification of SUS304 Stainless Steel by Atmospheric Pressure Ar/N2/O2 Plasma. Nucl. Instrum. Methods Phys. Res. B 2011, 269, 1801–1808. [Google Scholar] [CrossRef]
- Vesel, A.; Mozetic, M.; Drenik, A.; Hauptman, N.; Balat-Pichelin, M. High Temperature Oxidation of Stainless Steel AISI316L in Air Plasma. Appl. Surf. Sci. 2008, 255, 1759–1765. [Google Scholar] [CrossRef]
- Kim, M.C.; Yang, S.H.; Boo, J.H.; Han, J.G. Surface Treatment of Metals Using an Atmospheric Pressure Plasma Jet and Their Surface Characteristics. Surf. Coat. Technol. 2003, 174–175, 839–844. [Google Scholar] [CrossRef]
- Tang, S.; Kwon, O.J.; Lu, N.; Choi, H.S. Surface Characteristics of AISI 304 L Stainless Steel after an Atmospheric Pressure Plasma Treatment. Surf. Coat. Technol. 2005, 195, 298–306. [Google Scholar] [CrossRef]
- Shin, D.H.; Bang, C.U.; Kim, J.H.; Han, K.H.; Hong, Y.C.; Uhm, H.S.; Park, D.K.; Kim, K.H. Modification of Metal Surfaces by Microwave Plasma at Atmospheric Pressure. Surf. Coat. Technol. 2007, 201, 4939–4942. [Google Scholar] [CrossRef]
- Mui, T.S.M.; Silva, L.L.G.; Prysiazhnyi, V.; Kostov, K.G. Surface Modification of Aluminium Alloys by Atmospheric Pressure Plasma Treatments for Enhancement of Their Adhesion Properties. Surf. Coat. Technol. 2017, 312, 32–36. [Google Scholar] [CrossRef]
- Xu, D.; Yang, W.; Li, X.; Hu, Z.; Li, M.; Wang, L. Surface Nanostructure and Wettability Inducing High Bonding Strength of Polyphenylene Sulfide-Aluminum Composite Structure. Appl. Surf. Sci. 2020, 515, 145996. [Google Scholar] [CrossRef]
- Yoshida, M.; Nakanishi, G.; Yamanaka, H.; Iwamori, S. Enhanced Adhesion of Copper Plating to Polyether Ether Ketone Based on Active Oxygen Species Generated under Ultraviolet Irradiation. Surf. Interface Anal. 2022, 54, 759–766. [Google Scholar] [CrossRef]
- Horcas, I.; Fernández, R.; Gómez-Rodríguez, J.M.; Colchero, J.; Gómez-Herrero, J.; Baro, A.M. WSXM: A Software for Scanning Probe Microscopy and a Tool for Nanotechnology. Rev. Sci. Instrum. 2007, 78, 013705. [Google Scholar] [CrossRef] [PubMed]
- G1-03(2017)e1; Standard Practice for Preparing, Cleaning, and Evaluating Corrosion Test Specimens. ASTM: West Conshohocken, PA, USA, 2017.
- Mrad, M.; ben Amor, Y.; Dhouibi, L.; Montemor, M.F. Effect of AA2024-T3 Surface Pretreatment on the Physicochemical Properties and the Anticorrosion Performance of Poly(γ-Glycidoxypropyltrimethoxysilane) Sol-Gel Coating. Surf. Interface Anal. 2018, 50, 335–345. [Google Scholar] [CrossRef]
- Sun, L.; Zhao, B.C.; Wang, T.; Cui, J.Y.; Zhang, S.X.; Li, F.; Zhang, Q.; Cai, H.X.; Jiang, H.B.; Lee, E.S. Surface Characterization and Corrosion Resistance of Biomedical AZ31 Mg Alloy Treated by Microarc Fluorination. Scanning 2020, 2020, 5936789. [Google Scholar] [CrossRef]
- Lee, S.Y.; Shrestha, S.; Shrestha, B.K.; Park, C.H.; Kim, C.S. Covalent Surface Functionalization of Bovine Serum Albumin to Magnesium Surface to Provide Robust Corrosion Inhibition and Enhance in Vitro Osteo-Inductivity. Polymers 2020, 12, 439. [Google Scholar] [CrossRef]
- Witecka, A.; Yamamoto, A.; Dybiec, H.; Swieszkowski, W. Surface Characterization and Cytocompatibility Evaluation of Silanized Magnesium Alloy AZ91 for Biomedical Applications. Sci. Technol. Adv. Mater. 2012, 13, 064214. [Google Scholar] [CrossRef]
- Filipič, G.; Baranov, O.; Mozetič, M.; Cvelbar, U. Growth Dynamics of Copper Oxide Nanowires in Plasma at Low Pressures. J. Appl. Phys. 2015, 117, 043304. [Google Scholar] [CrossRef]
- Ascencio, M.; Pekguleryuz, M.; Omanovic, S. An Investigation of the Corrosion Mechanisms of WE43 Mg Alloy in a Modified Simulated Body Fluid Solution: The Influence of Immersion Time. Corros. Sci. 2014, 87, 489–503. [Google Scholar] [CrossRef]
- Nam, D.; Lim, D.; Kim, S.D.; Seo, D.; Shim, S.E.; Baeck, S.H. The Fabrication of a Conversion Film on AZ31 Containing Carbonate Product and Evaluation of Its Corrosion Resistance. J. Alloys Compd. 2018, 737, 597–602. [Google Scholar] [CrossRef]
- Feliu, S.; Merino, M.C.; Arrabal, R.; Coy, A.E.; Matykina, E. XPS Study of the Effect of Aluminium on the Atmospheric Corrosion of the AZ31 Magnesium Alloy. Surf. Interface Anal. 2009, 41, 143–150. [Google Scholar] [CrossRef]
- Taheri, M.; Danaie, M.; Kish, J.R. TEM Examination of the Film Formed on Corroding Mg Prior To. J. Electrochem. Soc. 2014, 161, C89. [Google Scholar] [CrossRef]
- Brady, M.P.; Rother, G.; Anovitz, L.M.; Littrell, K.C.; Unocic, K.A.; Elsentriecy, H.H.; Song, G.-L.; Thomson, J.K.; Gallego, N.C.; Davis, B. Film Breakdown and Nano-Porous Mg(OH) 2 Formation from Corrosion of Magnesium Alloys in Salt Solutions. J. Electrochem. Soc. 2015, 162, C140–C149. [Google Scholar] [CrossRef]
- Fajardo, S.; Frankel, G.S. Effect of Impurities on the Enhanced Catalytic Activity for Hydrogen Evolution in High Purity Magnesium. Electrochim. Acta 2015, 165, 255–267. [Google Scholar] [CrossRef]
- Baril, G.; Galicia, G.; Deslouis, C.; Pébère, N.; Tribollet, B.; Vivier, V. An Impedance Investigation of the Mechanism of Pure Magnesium Corrosion in Sodium Sulfate Solutions. J. Electrochem. Soc. 2007, 154, C108. [Google Scholar] [CrossRef]
- Pebere, N.; Riera, C.; Dabosi, F. Investigation of Magnesium Corrosion in Aerated Sodium Sulfate Solution by Electrochemical Impedance Spectroscopy. Electrochim. Acta 1990, 35, 555–561. [Google Scholar] [CrossRef]
- Leleu, S.; Rives, B.; Bour, J.; Causse, N.; Pébère, N. On the Stability of the Oxides Film Formed on a Magnesium Alloy Containing Rare-Earth Elements. Electrochim. Acta 2018, 290, 586–594. [Google Scholar] [CrossRef]
- Baril, G.; Pebere, N. The Corrosion of Pure Magnesium in Aerated and Deaerated Sodium Sulphate Solutions. Corros. Sci. 2001, 43, 471–484. [Google Scholar] [CrossRef]
- Feliu, S.; Llorente, I. Corrosion Product Layers on Magnesium Alloys AZ31 and AZ61: Surface Chemistry and Protective Ability. Appl. Surf. Sci. 2015, 347, 736–746. [Google Scholar] [CrossRef]
- Song, G.; Atrens, A.; Dargusch, M. Influence of Microstructure on the Corrosion of Diecast AZ91D. Corros. Sci. 1998, 41, 249–273. [Google Scholar] [CrossRef]
- Hara, N.; Kobayashi, Y.; Kagaya, D.; Akao, N. Formation and Breakdown of Surface Films on Magnesium and Its Alloys in Aqueous Solutions. Corros. Sci. 2007, 49, 166–175. [Google Scholar] [CrossRef]
- Feliu, S.; Maffiotte, C.; Galván, J.C.; Barranco, V. Atmospheric Corrosion of Magnesium Alloys AZ31 and AZ61 under Continuous Condensation Conditions. Corros. Sci. 2011, 53, 1865–1872. [Google Scholar] [CrossRef]
- Gomes, M.P.; Costa, I.; Pébère, N.; Rossi, J.L.; Tribollet, B.; Vivier, V. On the Corrosion Mechanism of Mg Investigated by Electrochemical Impedance Spectroscopy. Electrochim. Acta 2019, 306, 61–70. [Google Scholar] [CrossRef]
- Xin, Y.; Liu, C.; Zhang, X.; Tang, G.; Tian, X.; Chu, P.K. Corrosion Behavior of Biomedical AZ91 Magnesium Alloy in Simulated Body Fluids. J. Mater. Res. 2007, 22, 2004–2011. [Google Scholar] [CrossRef]
- Jorcin, J.B.; Orazem, M.E.; Pébère, N.; Tribollet, B. CPE Analysis by Local Electrochemical Impedance Spectroscopy. Electrochim. Acta 2006, 51, 1473–1479. [Google Scholar] [CrossRef]
- Cördoba-Torres, P.; Mesquita, T.J.; Nogueira, R.P. Relationship between the Origin of Constant-Phase Element Behavior in Electrochemical Impedance Spectroscopy and Electrode Surface Structure. J. Phys. Chem. C 2015, 119, 4136–4147. [Google Scholar] [CrossRef]
- Nordlien, J.H.; Ono, S.; Masuko, N.; Nisancioglu, K. A TEM Investigation of Naturally Formed Oxide Films on Pure Magnesium. Corros. Sci. 1997, 39, 1397–1414. [Google Scholar] [CrossRef]
- Benoit, M.; Bataillon, C.; Gwinner, B.; Miserque, F.; Orazem, M.E.; Sánchez-Sánchez, C.M.; Tribollet, B.; Vivier, V. Comparison of Different Methods for Measuring the Passive Film Thickness on Metals. Electrochim. Acta 2016, 201, 340–347. [Google Scholar] [CrossRef]
- Pardo, A.; Feliu, S.; Merino, M.C.; Arrabal, R.; Matykina, E. Electrochemical Estimation of the Corrosion Rate of Magnesium/Aluminium Alloys. Int. J. Corros. 2010, 2010, 953850. [Google Scholar] [CrossRef]
- Tian, Y.; Yang, L.J.; Li, Y.F.; Wei, Y.H.; Hou, L.F.; Li, Y.G.; Murakami, R.I. Corrosion Behaviour of Die-Cast AZ91D Magnesium Alloys in Sodium Sulphate Solutions with Different PH Values. Trans. Nonferrous Met. Soc. China Engl. Ed. 2011, 21, 912–920. [Google Scholar] [CrossRef]











| t s | θw ° | θD ° | γLV mN m−1 | γdLV mN m−1 | γpLV mN m−1 |
|---|---|---|---|---|---|
| 0 | 37.60 ± 8.37 | 42.67 ± 7.42 | 64.12 ± 2.80 | 38.08 ± 3.90 | 26.04 ± 6.70 |
| 120 | 5.31 ± 0.98 | 11.76 ± 2.90 | 80.01 ± 0.17 | 49.71 ± 0.52 | 30.94 ± 0.35 |
| Sample | t h | Ecorr VMSE | icorr μA cm−2 | EB VMSE | ∆Epass V |
|---|---|---|---|---|---|
| AZ | 3 | −1.96 ± 0.01 | 3.8 ± 0.1 | −1.82 ± 0.03 | 0.11 ± 0.01 |
| 24 | −1.93 ± 0.01 | 2.9 ± 0.4 | −1.72 ± 0.02 | 0.16 ± 0.02 | |
| 72 | −1.87 ± 0.02 | 3.2 ± 0.7 | −1.66 ± 0.05 | 0.21 ± 0.06 | |
| 120 | −1.83 ± 0.02 | 2.9 ± 0.5 | −1.63 ± 0.08 | 0.17 ± 0.06 | |
| 168 | −1.82 ± 0.02 | 3.6 ± 0.5 | −1.63 ± 0.03 | 0.16 ± 0.09 | |
| 240 | −1.93 ± 0.06 | 21.8 ± 10.4 | - | 0 | |
| AZ + Ar-P | 3 | −1.97 ± 0.01 | 6.6 ± 2.6 | −1.83 ± 0.01 | 0.09 ± 0.02 |
| 24 | −1.91 ± 0.01 | 5.9 ± 0.03 | −1.71 ± 0.01 | 0.17 ± 0.01 | |
| 72 | −1.85 ± 0.01 | 4.3 ± 0.6 | −1.68 ± 0.01 | 0.13 ± 0.01 | |
| 120 | −1.85 ± 0.02 | 3.9 ± 0.6 | −1.69 ± 0.02 | 0.21 ± 0.09 | |
| 168 | −1.82 ± 0.04 | 4.5 ± 0.3 | −1.61 ± 0.03 | 0.22 ± 0.03 | |
| 240 | −1.90 ± 0.03 | 11.0 ± 0.3 | −1.46 ± 0.06 | 0.28 ± 0.01 |
| Sample | t h | Re Ωcm2 | −αHF | Qeff × 10−5 Fs(α−1)cm−2 | Cox μFcm−2 |
|---|---|---|---|---|---|
| AZ | 3 | 63.0 ± 2.6 | 0.90 ± 0.01 | 1.70 ± 0.22 | 4.31 ± 0.45 |
| 24 | 69.2 ± 3.7 | 0.91± 0.01 | 2.25 ± 0.02 | 3.14 ± 0.14 | |
| 72 | 73.4 ± 0.8 | 0.88 ± 0.02 | 2.77 ± 0.52 | 3.81 ± 0.03 | |
| 120 | 79.8 ± 6.6 | 0.88 ± 0.02 | 2.52 ± 0.49 | 4.39 ± 0.70 | |
| 168 | 79.3 ± 4.8 | 0.86 ± 0.02 | 2.58 ± 0.71 | 2.66 ± 0.01 | |
| 240 | 81.1 ± 9.2 | 0.86 ± 0.03 | 2.63 ± 0.60 | 5.06 ± 0.12 | |
| AZ + Ar-P | 3 | 66.0 ± 1.8 | 0.90 ± 0.03 | 1.74 ± 0.47 | 1.47 ± 0.06 |
| 24 | 76.0 ± 4.9 | 0.90 ± 0.02 | 2.41 ± 0.24 | 6.36 ± 0.81 | |
| 72 | 73.0 ± 6.1 | 0.90 ± 0.03 | 2.20 ± 0.12 | 4.21 ± 0.16 | |
| 120 | 81.8 ± 4.6 | 0.84 ± 0.02 | 2.78 ± 0.49 | 2.62 ± 0.08 | |
| 168 | 74.3 ± 7.2 | 0.87 ± 0.03 | 2.44 ± 0.17 | 6.66 ± 1.11 | |
| 240 | 76.2 ± 8.3 | 0.89 ± 0.02 | 2.26 ± 0.15 | 6.44 ± 0.85 |
| Sample | t h | Re Ωcm2 | RCT kΩcm2 | −αCT | CPECT x 10−5 Fs(α−1)cm−2 | CCT μFcm−2 | Rfilm kΩcm2 | −αfilm | CPEfilm mFs(α−1)cm−2 | Cfilm mFcm−2 |
|---|---|---|---|---|---|---|---|---|---|---|
| AZ | 3 | 63.0 ± 2.6 | 2.4 ± 0.3 | 0.91 ± 0.01 | 1.4 ± 0.6 | 4.5 ± 0.1 | 3.3 ± 0.4 | 0.77 ± 0.04 | 1.6 ± 0.4 | 2.9 ± 0.7 |
| 24 | 69.2 ± 3.7 | 7.8 ± 1.1 | 0.94 ± 0.03 | 1.8 ± 0.6 | 17.8 ± 0.5 | 1.1 ± 0.1 | 0.88 ± 0.15 | 5.9 ± 2.1 | 7.9 ± 0.8 | |
| 72 | 73.4 ± 0.8 | 10.1 ± 0.7 | 0.92 ± 0.01 | 2.0 ± 0.1 | 5.6 ± 2.8 | 1.3 ± 0.4 | 0.99 ± 0.01 | 8.4 ± 3.3 | 8.8 ± 3.8 | |
| 120 | 79.8 ± 6.6 | 15.9 ± 0.4 | 0.93 ± 0.01 | 1.9 ± 0.6 | 21.4 ± 5.1 | 2.3 ± 1.4 | 0.66 ± 0.09 | 0.9 ± 0.1 | 1.7 ± 0.7 | |
| 168 | 79.3 ± 4.8 | 8.9 ± 1.0 | 0.93 ± 0.02 | 0.2 ± 0.1 | 1.4 ± 0.6 | 1.3 ± 0.9 | 0.69 ± 0.19 | 0.7 ± 0.1 | 1.6 ± 0.9 | |
| 240 | 81.1 ± 9.2 | 8.5 ± 2.1 | 0.91 ± 0.01 | 3.2 ± 1.6 | 28.3 ± 15.2 | 3.6 ± 3.4 | 0.81 ± 0.13 | 0.9 ± 0.2 | 1.1 ± 0.2 | |
| AZ + Ar-P | 3 | 66.0 ± 1.8 | 2.6 ± 0.4 | 0.92 ± 0.01 | 0.9 ± 0.3 | 7.8 ± 1.3 | 3.0 ± 1.0 | 0.73 ± 0.22 | 1.8 ± 0.8 | 3.3 ± 0.9 |
| 24 | 76.0 ± 4.9 | 9.8 ± 0.8 | 0.95 ± 0.02 | 1.7 ± 0.6 | 18.2 ± 0.1 | 1.6 ± 0.8 | 0.91 ± 0.09 | 2.7 ± 1.3 | 5.6 ± 1.9 | |
| 72 | 73.0 ± 6.1 | 8.3 ± 0.4 | 0.94 ± 0.01 | 2.0 ± 0.2 | 16.7 ± 0.5 | 2.4 ± 0.7 | 0.89 ± 0.03 | 4.0 ± 0.8 | 4.1 ± 3.7 | |
| 120 | 81.8 ± 4.6 | 9.4 ± 2.2 | 0.91 ± 0.02 | 5.8 ± 3.1 | 4.4 ± 2.3 | 1.0 ± 0.1 | 0.60 ± 0.23 | 0.8 ± 0.1 | 0.6 ± 0.1 | |
| 168 | 74.3 ± 7.2 | 11.2 ± 0.6 | 0.93 ± 0.01 | 1.2 ± 0.7 | 6.7 ± 1.4 | 1.1 ± 0.1 | 0.79 ± 0.21 | 4.7 ± 1.7 | 0.4 ± 0.1 | |
| 240 | 76.2 ± 8.3 | 13.6 ± 1.3 | 0.94 ± 0.02 | 2.6 ± 0.8 | 20.0 ± 2.7 | 2.3 ± 0.1 | 0.63 ± 0.18 | 3.3 ± 1.2 | - |
Disclaimer/Publisher’s Note: The statements, opinions and data contained in all publications are solely those of the individual author(s) and contributor(s) and not of MDPI and/or the editor(s). MDPI and/or the editor(s) disclaim responsibility for any injury to people or property resulting from any ideas, methods, instructions or products referred to in the content. |
© 2023 by the authors. Licensee MDPI, Basel, Switzerland. This article is an open access article distributed under the terms and conditions of the Creative Commons Attribution (CC BY) license (https://creativecommons.org/licenses/by/4.0/).
Share and Cite
Montero, C.; Ramírez, C.G.; Muñoz, L.; Sancy, M.; Azócar, M.; Flores, M.; Artigas, A.; Zagal, J.H.; Zhou, X.; Monsalve, A.; et al. Effect of Plasma Argon Pretreatment on the Surface Properties of AZ31 Magnesium Alloy. Materials 2023, 16, 2327. https://doi.org/10.3390/ma16062327
Montero C, Ramírez CG, Muñoz L, Sancy M, Azócar M, Flores M, Artigas A, Zagal JH, Zhou X, Monsalve A, et al. Effect of Plasma Argon Pretreatment on the Surface Properties of AZ31 Magnesium Alloy. Materials. 2023; 16(6):2327. https://doi.org/10.3390/ma16062327
Chicago/Turabian StyleMontero, Cecilia, Cristián Gino Ramírez, Lisa Muñoz, Mamié Sancy, Manuel Azócar, Marcos Flores, Alfredo Artigas, José H. Zagal, Xiaorong Zhou, Alberto Monsalve, and et al. 2023. "Effect of Plasma Argon Pretreatment on the Surface Properties of AZ31 Magnesium Alloy" Materials 16, no. 6: 2327. https://doi.org/10.3390/ma16062327
APA StyleMontero, C., Ramírez, C. G., Muñoz, L., Sancy, M., Azócar, M., Flores, M., Artigas, A., Zagal, J. H., Zhou, X., Monsalve, A., & Páez, M. (2023). Effect of Plasma Argon Pretreatment on the Surface Properties of AZ31 Magnesium Alloy. Materials, 16(6), 2327. https://doi.org/10.3390/ma16062327

