Multifunctional BiOI/SiO2/Fe3O4@n-Docosane Phase-Change Microcapsules for Waste Heat Recovery and Wastewater Treatment
Abstract
1. Introduction
2. Materials and Methods
2.1. Materials
2.2. Synthesis of Phase-Change Microcapsules
2.3. Characterizations
3. Results and Discussion
3.1. Synthetic Strategy and Morphology
3.2. Chemical Characterizations and Magnetic Response
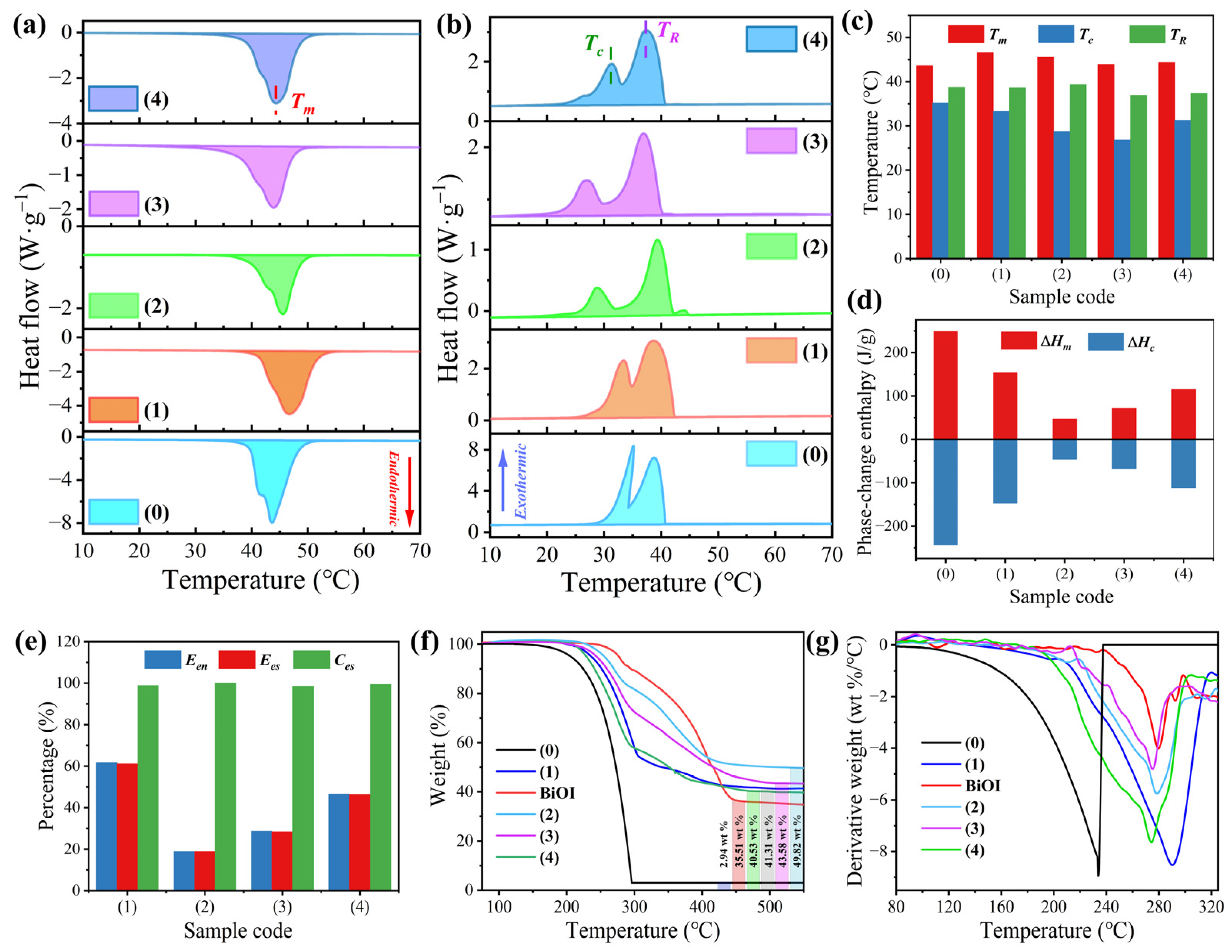
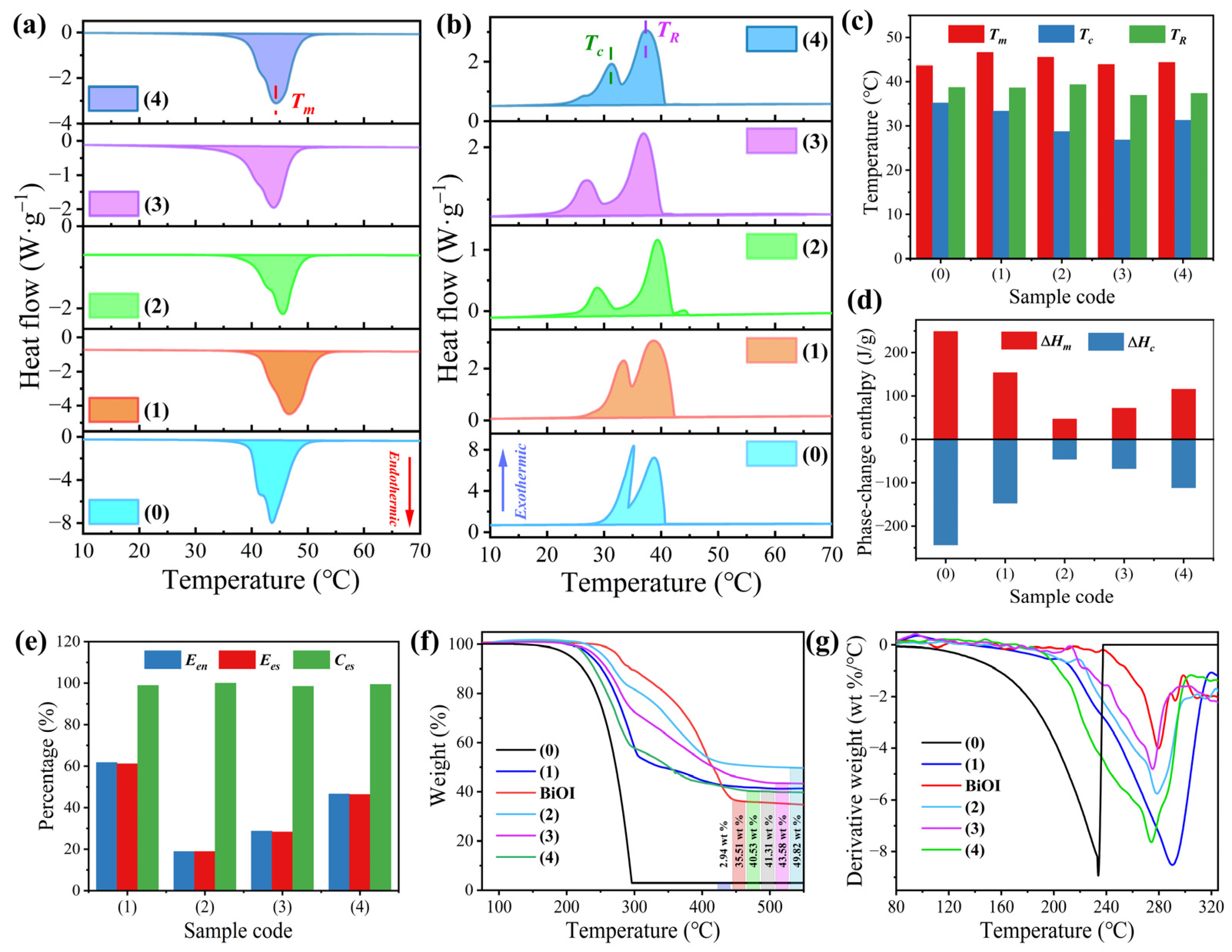
3.3. Thermophysical Property
3.4. Photocatalytic Activity
3.5. Heat-Energy Storage Performance
3.6. Shape Stability and Thermal Reliability
4. Conclusions
Author Contributions
Funding
Data Availability Statement
Conflicts of Interest
References
- Goel, V.; Saxena, A.; Kumar, M.; Thakur, A.; Sharma, A.; Bianco, V. Potential of phase change materials and their effective use in solar thermal applications: A critical review. Appl. Therm. Eng. 2023, 219, 119417. [Google Scholar] [CrossRef]
- Shchukina, E.M.; Graham, M.; Zheng, Z.; Shchukin, D.G. Nanoencapsulation of phase change materials for advanced thermal energy storage systems. Chem. Soc. Rev. 2018, 47, 4156–4175. [Google Scholar] [CrossRef] [PubMed]
- Zhang, Q.; Zhang, Z.; Xia, W.; Zhou, Y.; Yang, H. Enhanced thermal conductive lauric acid/g-C3N4/graphene composite phase change materials for efficient photo-thermal storage. Fuel 2023, 333, 126279. [Google Scholar] [CrossRef]
- Du, M.; Yu, X.; Zhang, Z.; Shao, M.; Zhou, L.; Zhu, G.; Militky, J.; Kremenakova, D.; Zhang, G. CuS Nanoparticle-based microcapsules for dolar-induced phase-change energy storage. ACS Appl. Nano. Mater. 2022, 5, 13009–13017. [Google Scholar] [CrossRef]
- Liu, T.; Yang, G.; Zhu, H.; Tang, C.; Qu, B. Preparation of multifunctional phase change microcapsules for thermal energy storage and shielding against ionizing radiation. Mater. Lett. 2023, 333, 133559. [Google Scholar] [CrossRef]
- Liu, Q.; Zhang, J.; Liu, J.; Sun, W.; Xu, H.; Liu, C. Self-healed inorganic phase change materials for thermal energy harvesting and management. Appl. Therm. Eng. 2023, 219, 119423. [Google Scholar] [CrossRef]
- Li, A.; Wan, Y.; Gao, Y.; Tang, Z.; Xu, J.; Huang, M.; Li, Y.; Zhang, X.; Chen, X. MOF-derived hierarchical carbon/ZnO hybrid synergistically boosts photothermal conversion and storage capability of phase change materials. Mater. Today Nano 2022, 20, 100277. [Google Scholar] [CrossRef]
- Wang, T.; Wang, S.; Luo, R.; Zhu, C.; Akiyama, T.; Zhang, Z. Microencapsulation of phase change materials with binary cores and calcium carbonate shell for thermal energy storage. Appl. Energy 2016, 171, 113–119. [Google Scholar] [CrossRef]
- Xu, L.; Zhang, K.; He, R.; Yang, A.; Su, L.; Li, Y.; He, F.; Jiang, S.; Yang, W. Phase change composites based on double-shell microcapsules with high latent heat and low leakage rate for thermal energy storage and temperature regulation. J. Energy Storage 2022, 55, 105428. [Google Scholar] [CrossRef]
- Xu, D.; Shen, W.; Sun, S.; Chen, Y.; Lu, Z.; Meng, X.; Wang, C.; Guo, L.; Liu, C.; Huang, Q. Experimental design of 1-dodecanol@methylated melamine-formaldehyde microencapsulated composite phase change material and the application in energy storage field. J. Energy Storage 2022, 55, 105400. [Google Scholar] [CrossRef]
- Liu, H.; Wang, X.; Wu, D. Innovative design of microencapsulated phase change materials for thermal energy storage and versatile applications: A review. Sustain. Energy Fuels 2019, 3, 1091–1149. [Google Scholar] [CrossRef]
- Yang, L.; Dai, L.; Ye, L.; Yang, R.; Lu, Y. Microfluidic fabrication and thermal properties of microencapsulated n-hexadecane with a hybrid polymer shell for thermal energy storage. Materials 2022, 15, 3708. [Google Scholar] [CrossRef] [PubMed]
- Wang, B.; Shi, M.; Yao, H.; Yang, X.; Guo, S.; Liu, Y.; Hua, Q.; Shen, B.; Liu, P.; Tang, J. Preparation and application of low-temperature binary eutectic lauric acid-stearic acidSiO2 phase change microcapsules. Energy Build. 2023, 279, 112706. [Google Scholar] [CrossRef]
- Zhang, Z.; Liu, Y.; Du, W.; Liang, Z.; Li, F.; Yong, Y.; Li, Z. Construction of layered double hydroxide-modified silica integrated multilayer shell phase change capsule with flame retardancy and highly efficient thermoregulation performance. J. Colloid Interface Sci. 2023, 632, 311–325. [Google Scholar] [CrossRef] [PubMed]
- Chen, X.; Tang, Z.; Liu, P.; Gao, H.; Chang, Y.; Wang, G. Smart utilization of multifunctional metal oxides in phase change materials. Matter 2020, 3, 708–741. [Google Scholar] [CrossRef]
- Lou, L.; He, Z.; Li, Y.; Li, Y.; Zhou, Y.; Lin, C.; Yang, Z.; Fan, J.; Zhang, K.; Yang, W. Multifunctional silicone rubber/paraffin@PbWO4 phase-change composites for thermoregulation and gamma radiation shielding. Int. J. Energy Res. 2020, 44, 7674–7686. [Google Scholar] [CrossRef]
- Liu, H.; Tian, D.; Ouyang, M.; Qian, Z.; Wang, X. Morphology-controlled fabrication of magnetic phase-change microcapsules for synchronous efficient recovery of wastewater and waste heat. J. Colloid Interface Sci. 2022, 608, 1497–1513. [Google Scholar] [CrossRef]
- Zhang, M.; Shen, H.; Qian, Z.; Liu, H.; Tian, D.; Wang, X. Dual-purpose applications of magnetic phase-change microcapsules with crystalline-phase-tunable CaCO3 shell for waste heat recovery and heavy metal ion removal. J. Energy Storage 2022, 55, 105672. [Google Scholar] [CrossRef]
- Bu, Y.; Xu, J.; Li, Y.; Liu, Q.; Zhang, X. Enhanced photocatalytic activity of BiOI under visible light irradiation by the modification of MoS2. RSC Adv. 2017, 7, 42398–42406. [Google Scholar] [CrossRef]
- Li, Z.; Wang, M.; Shen, J.; Zhu, Z.; Liu, Y. Synthesis of BiOI nanosheet/coarsened TiO2 nanobelt heterostructures for enhancing visible light photocatalytic activity. RSC Adv. 2016, 6, 30037–30047. [Google Scholar] [CrossRef]
- Shi, Y.; Yang, D.; Li, Y.; Qu, J.; Yu, Z.-Z. Fabrication of PAN@TiO2/Ag nanofibrous membrane with high visible light response and satisfactory recyclability for dye photocatalytic degradation. Appl. Surf. Sci. 2017, 426, 622–629. [Google Scholar] [CrossRef]
- Park, Y.; Na, Y.; Pradhan, D.; Min, B.-K.; Sohn, Y. Adsorption and UV/Visible photocatalytic performance of BiOI for methyl orange, Rhodamine B and methylene blue: Ag and Ti-loading effects. CrystEngComm 2014, 16, 3155–3167. [Google Scholar] [CrossRef]
- Qian, D.; Zhong, S.; Wang, S.; Lai, Y.; Yang, N.; Jiang, W. Promotion of phenol photodegradation based on novel self-assembled magnetic bismuth oxyiodide core–shell microspheres. RSC Adv. 2017, 7, 36653–36661. [Google Scholar] [CrossRef]
- Dai, D.; Qiu, J.; Li, M.; Xu, J.; Zhang, L.; Yao, J. Construction of two-dimensional BiOI on carboxyl-rich MIL-121 for visible-light photocatalytic degradation of tetracycline. J. Alloys Compd. 2021, 872, 159711. [Google Scholar] [CrossRef]
- Dai, D.; Qiu, J.; Zhang, L.; Ma, H.; Yao, J. Amino-functionalized Ti-metal-organic framework decorated BiOI sphere for simultaneous elimination of Cr(VI) and tetracycline. J. Colloid Interface Sci. 2022, 607, 933–941. [Google Scholar] [CrossRef]
- Shu, S.; Wang, H.; Li, Y.; Liu, J.; Liu, J.; Yao, J.; Liu, S.; Zhu, M.; Huang, L. Fabrication of n-p beta-Bi2O3@BiOI core/shell photocatalytic heterostructure for the removal of bacteria and bisphenol A under LED light. Colloid. Surf. B 2023, 221, 112957. [Google Scholar] [CrossRef]
- Ning, S.; Lin, H.; Tong, Y.; Zhang, X.; Lin, Q.; Zhang, Y.; Long, J.; Wang, X. Dual couples Bi metal depositing and Ag@AgI islanding on BiOI 3D architectures for synergistic bactericidal mechanism of E. coli under visible light. Appl. Catal. B 2017, 204, 1–10. [Google Scholar] [CrossRef]
- Dai, G.; Yu, J.; Liu, G. Synthesis and enhanced visible-light photoelectrocatalytic activity of p−n junction BiOI/TiO2 nanotube arrays. J. Phy. Chem. C 2011, 115, 7339–7346. [Google Scholar] [CrossRef]
- Yadav, M.; Garg, S.; Chandra, A.; Jyoti; Ingole, P.P.; Bardos, E.; Hernadi, K. Quercetin-mediated 3-D hierarchical BiOI-Q and BiOI-Q-Ag nanostructures with enhanced photodegradation efficiency. J. Alloys Compd. 2021, 856, 156812. [Google Scholar] [CrossRef]
- Duo, F.; Wang, Y.; Fan, C.; Zhang, X.; Wang, Y. Enhanced visible light photocatalytic activity and stability of CQDs/BiOBr composites: The upconversion effect of CQDs. J. Alloys Compd. 2016, 685, 34–41. [Google Scholar] [CrossRef]
- Liu, Y.; Yao, W.; Liu, D.; Zong, R.; Zhang, M.; Ma, X.; Zhu, Y. Enhancement of visible light mineralization ability and photocatalytic activity of BiPO4/BiOI. Appl. Catal. B 2015, 163, 547–553. [Google Scholar] [CrossRef]
- Feng, Y.; Liu, C.; Che, H.; Chen, J.; Huang, K.; Huang, C.; Shi, W. The highly improved visible light photocatalytic activity of BiOI through fabricating a novel p–n heterojunction BiOI/WO3 nanocomposite. CrystEngComm 2016, 18, 1790–1799. [Google Scholar] [CrossRef]
- Di, J.; Xia, J.; Ji, M.; Xu, L.; Yin, S.; Zhang, Q.; Chen, Z.; Li, H. Carbon quantum dots in situ coupling to bismuth oxyiodide via reactable ionic liquid with enhanced photocatalytic molecular oxygen activation performance. Carbon 2016, 98, 613–623. [Google Scholar] [CrossRef]
- Sun, Z.; Liu, H.; Wang, X. Hierarchically nanostructured Co(OH)2/MXene/SiO2/n-docosane phase-change composites for enhancement of supercapacitor performance under in-situ thermal management. Compos. Part B 2022, 242, 110112. [Google Scholar] [CrossRef]
- Fu, D.; Su, Y.; Xie, B.; Zhu, H.; Liu, G.; Wang, D. Phase change materials of n-alkane-containing microcapsules: Observation of coexistence of ordered and rotator phases. Phys. Chem. Chem. Phys. 2011, 13, 2021–2026. [Google Scholar] [CrossRef]
- Li, B.; Liu, T.; Hu, L.; Wang, Y.; Gao, L. Fabrication and properties of microencapsulated paraffin@SiO2 phase change composite for thermal energy storage. ACS Sustain. Chem. Eng. 2013, 1, 374–380. [Google Scholar] [CrossRef]
- Yang, C.; Cheng, J.; Chen, Y.; Hu, Y. Enhanced adsorption performance of MoS2 nanosheet-coated MIL-101 hybrids for the removal of aqueous rhodamine B. J. Colloid Interface Sci. 2017, 504, 39–47. [Google Scholar] [CrossRef]
- Zhou, C.; Cao, J.; Lin, H.; Xu, B.; Huang, B.; Chen, S. Controllable synthesis and photocatalytic activity of Ag/BiOI based on the morphology effect of BiOI substrate. Surf. Coat. Technol. 2015, 272, 213–220. [Google Scholar] [CrossRef]
- Ni, Q.; Feng, S.; Ke, X.; Yan, Z.; Luan, J. Multi-dimensional (2D–3D) assembly of BiOI/BiOBr/UiO-66-NH2 composites to form multi-heterojunction structures for synergistic removal of Rhodamine B. J. Alloys Compd. 2023, 935, 168103. [Google Scholar] [CrossRef]











| Adsorption Sample | Pseudo-First-Order Model | Pseudo-Second-Order Model | ||
|---|---|---|---|---|
| k1 (min−1) | R2 | k2 (g·mg−1·min−1) | R2 | |
| SiO2/Fe3O4-MEPCM | 0.02929 | 0.9268 | 0.00787 | 1 |
| BiOI | 0.05324 | 0.8851 | 0.00024 | 0.9901 |
| BiOI-MEPCM (0.5:1) | 0.05190 | 0.9274 | 0.00107 | 0.9989 |
| BiOI-MEPCM (1:1) | 0.02218 | 0.9624 | 0.00021 | 0.9774 |
| BiOI-MEPCM (1.5:1) | 0.04858 | 0.8931 | 0.00035 | 0.9927 |
Disclaimer/Publisher’s Note: The statements, opinions and data contained in all publications are solely those of the individual author(s) and contributor(s) and not of MDPI and/or the editor(s). MDPI and/or the editor(s) disclaim responsibility for any injury to people or property resulting from any ideas, methods, instructions or products referred to in the content. |
© 2023 by the authors. Licensee MDPI, Basel, Switzerland. This article is an open access article distributed under the terms and conditions of the Creative Commons Attribution (CC BY) license (https://creativecommons.org/licenses/by/4.0/).
Share and Cite
Jing, J.; Liu, H.; Wang, X. Multifunctional BiOI/SiO2/Fe3O4@n-Docosane Phase-Change Microcapsules for Waste Heat Recovery and Wastewater Treatment. Materials 2023, 16, 1656. https://doi.org/10.3390/ma16041656
Jing J, Liu H, Wang X. Multifunctional BiOI/SiO2/Fe3O4@n-Docosane Phase-Change Microcapsules for Waste Heat Recovery and Wastewater Treatment. Materials. 2023; 16(4):1656. https://doi.org/10.3390/ma16041656
Chicago/Turabian StyleJing, Jianwei, Huan Liu, and Xiaodong Wang. 2023. "Multifunctional BiOI/SiO2/Fe3O4@n-Docosane Phase-Change Microcapsules for Waste Heat Recovery and Wastewater Treatment" Materials 16, no. 4: 1656. https://doi.org/10.3390/ma16041656
APA StyleJing, J., Liu, H., & Wang, X. (2023). Multifunctional BiOI/SiO2/Fe3O4@n-Docosane Phase-Change Microcapsules for Waste Heat Recovery and Wastewater Treatment. Materials, 16(4), 1656. https://doi.org/10.3390/ma16041656

