On the Prediction of the Flow Behavior of Metals and Alloys at a Wide Range of Temperatures and Strain Rates Using Johnson–Cook and Modified Johnson–Cook-Based Models: A Review
Abstract
:1. Introduction
2. Flow Stress Behavior
2.1. Effect of Strain Rate
2.2. Effect of Temperature
3. Constitutive Models
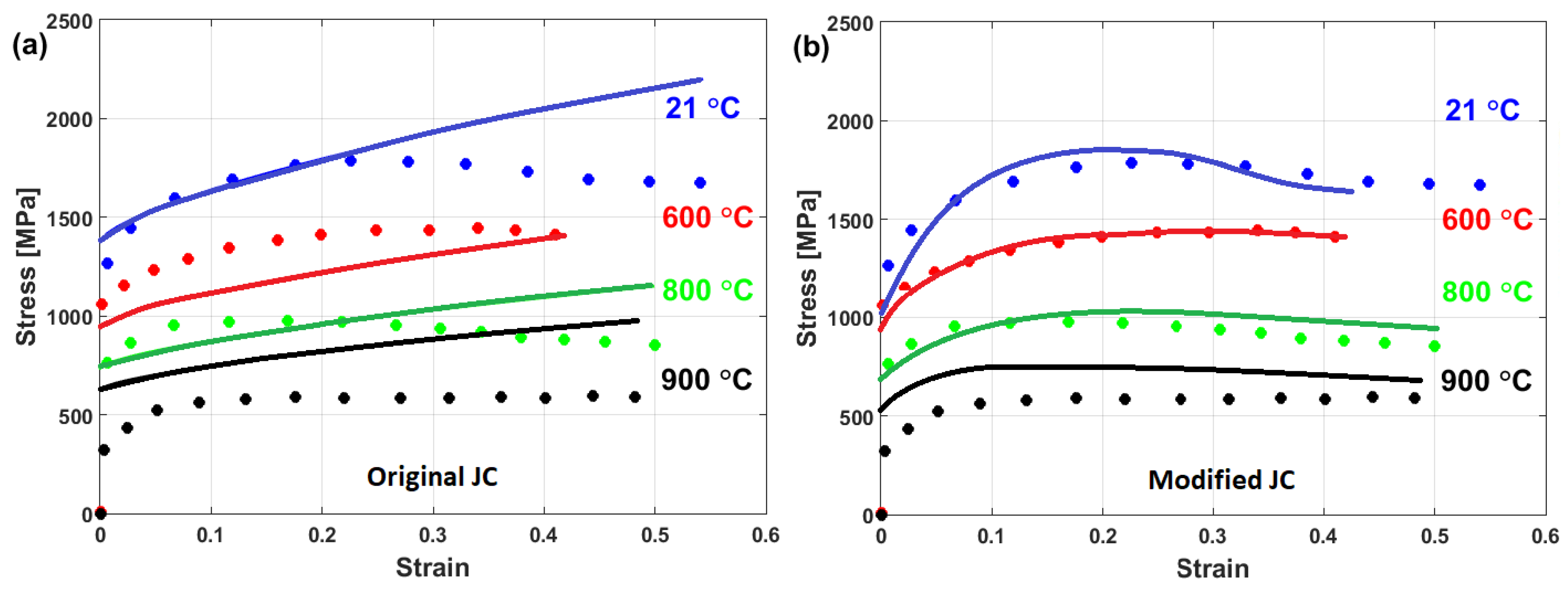
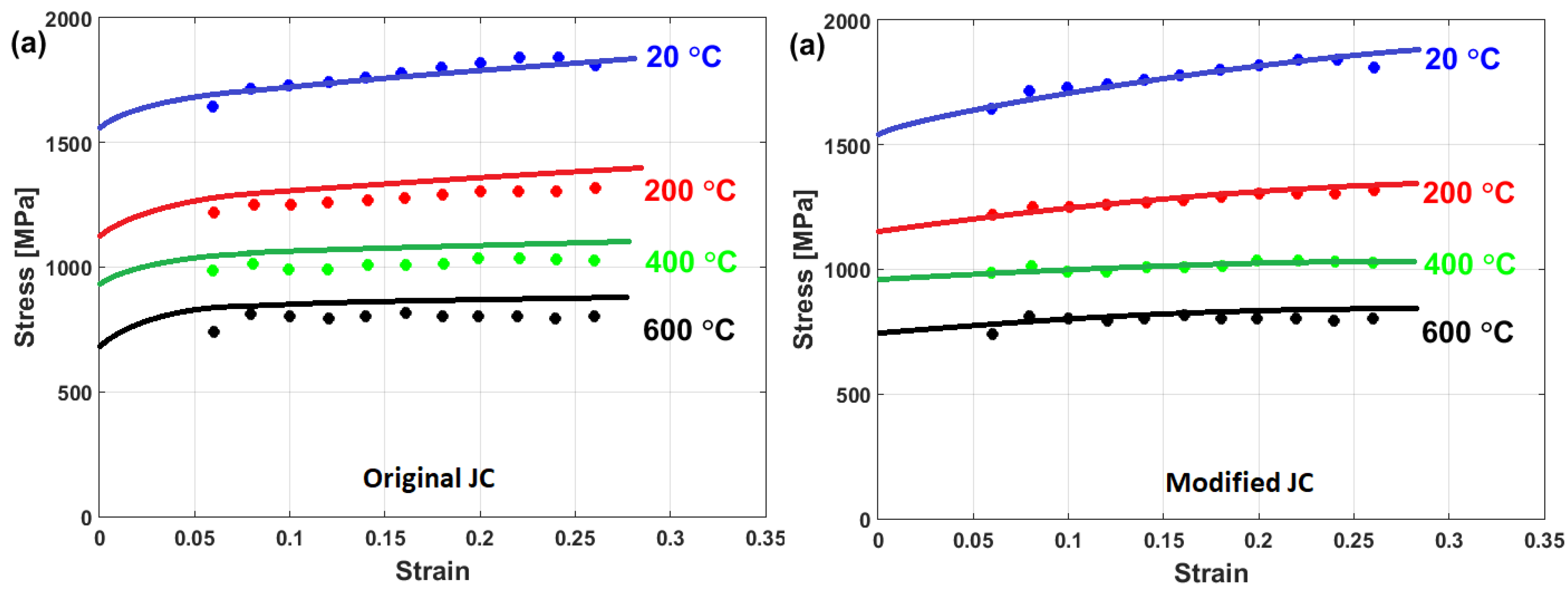
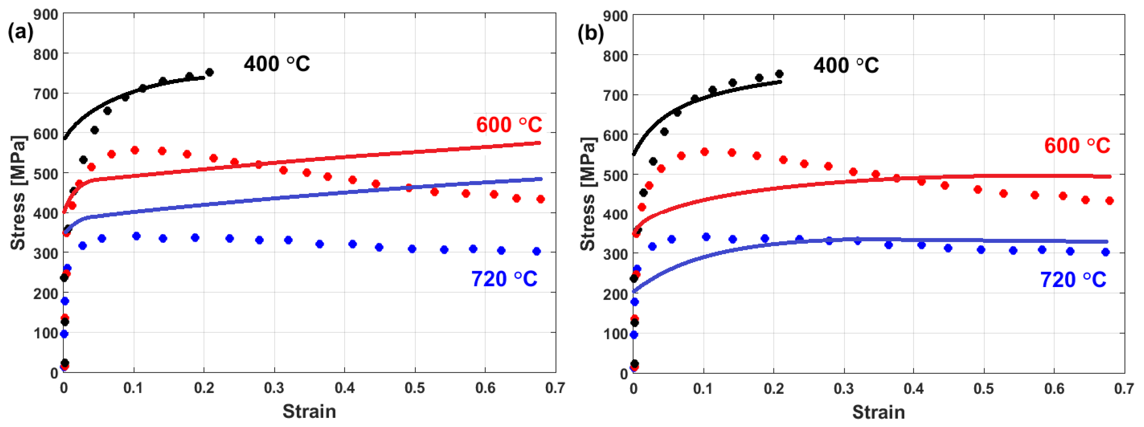
3.1. Original Johnson–Cook Model
3.2. Modified Johnson–Cook-Based Models
3.2.1. Meyers JC-Based Modification
3.2.2. Rule JC-Based Modification
3.2.3. Kang JC-Based Modification
3.2.4. Couque JC-Based Modification
3.2.5. Lin (1) JC-Based Modification
3.2.6. Hou Q. Y. JC-Based Modification
3.2.7. Shin JC-Based Modification
3.2.8. Maheshwari JC-Based Modification
3.2.9. Wang (1) JC-Based Modification
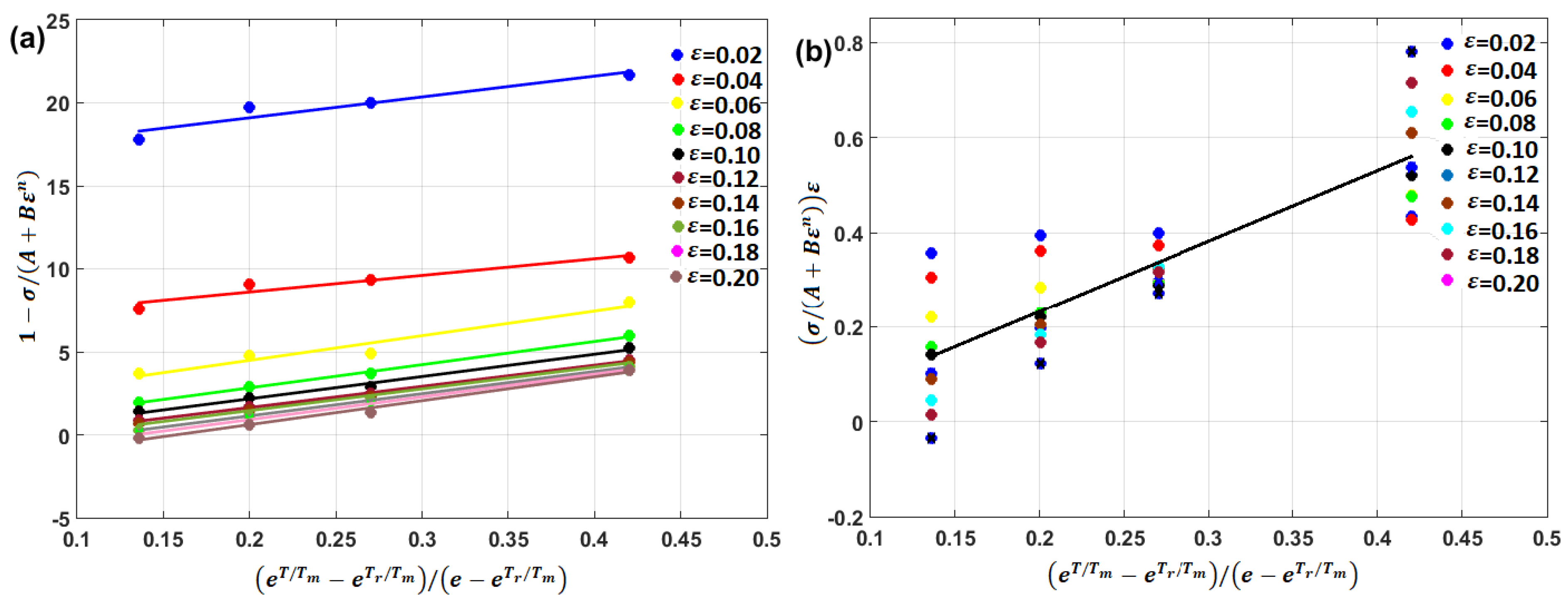
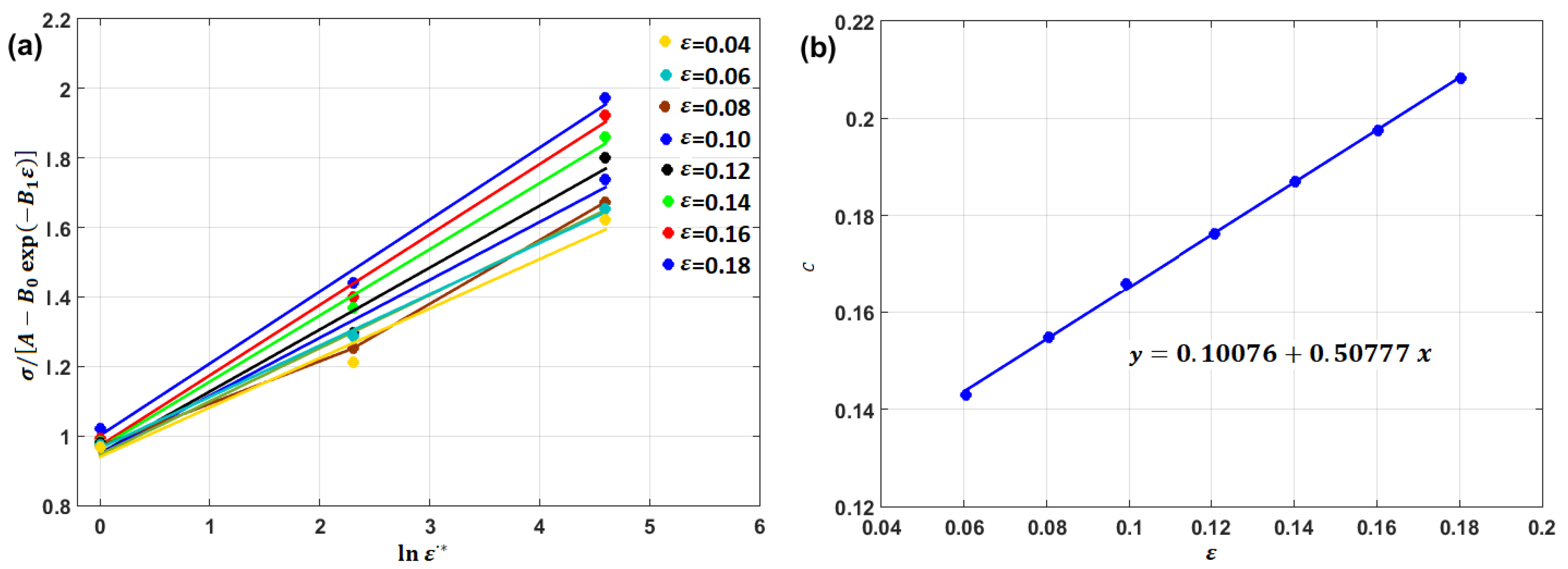
3.2.10. Lin (2) JC-Based Modification
3.2.11. Lin (3) JC-Based Modification
3.2.12. Li JC-Based Modification
3.2.13. Song JC-Based Modification
3.2.14. Wang (2) JC-Based Modification
3.2.15. Tan JC-Based Modification
3.2.16. Chen JC-Based Modification
3.2.17. Wang (3) JC-Based Modification
3.2.18. Shokry (1) JC-Based Modification
3.2.19. Zhao JC-Based Modification
3.2.20. Iturbe JC-Based Modification
3.2.21. Tao JC-Based Modification
3.2.22. He JC-Based Modification
3.2.23. Hou X. JC-Based Modification
3.2.24. Zhang JC-Based Modification
3.2.25. Niu JC-Based Modification
3.2.26. Chakrabarty JC-Based Modification
3.2.27. Li JC-Based Modification
3.2.28. Qian JC-Based Modification
3.2.29. Liu JC-Based Modification
3.2.30. Yu JC-Based Modification
3.2.31. Wang (4) JC-Based Modification
3.2.32. Shokry (2) JC-Based Modification
3.2.33. Priest JC-Based Modification
4. Discussions and Summary
5. Conclusions and Future Directions
- The Johnson–Cook model has been widely used to predict the flow behavior of metals and alloys at a wide range of temperatures and strain rates. In this regard, modified JC-based models were introduced for accurate predictions of the flow behavior for metals and alloys with complex non-linear behavior in which the JC model fails to precisely predict the flow behavior.
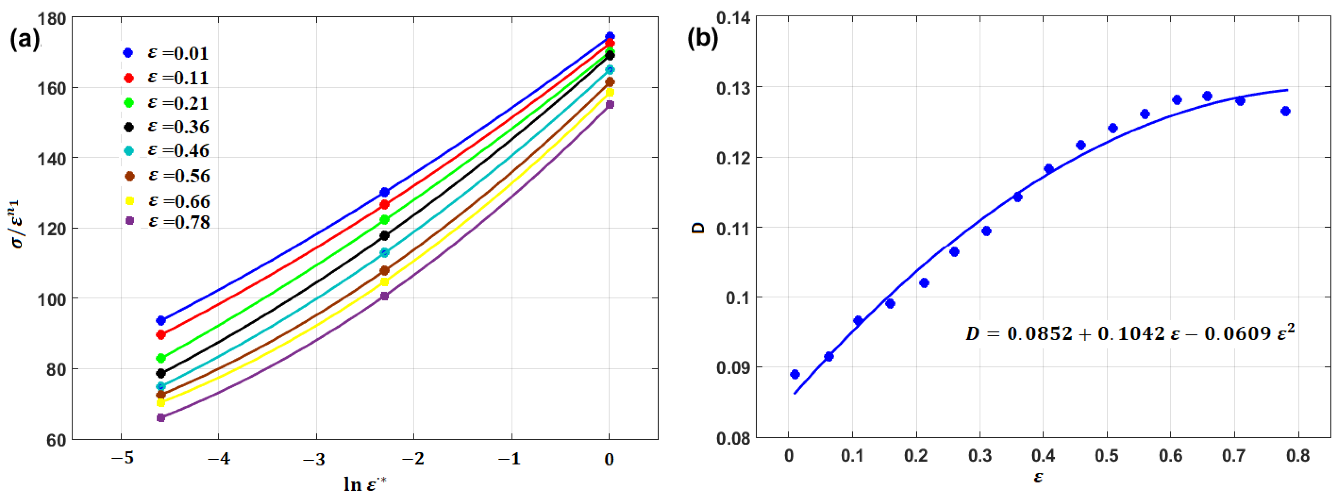
- Lin et al. [73] provided one of the most important modifications of the original JC model, which has been used for the prediction of the flow behavior of different metals and alloys. The modification provides good predictability of flow behavior when compared with experimental stresses in many different alloys.
- The improved generic modification for the JC model that was introduced by Shokry et al. [96] can be considered one of the most promising modifications, in which the interaction between the strain, strain rate, and temperature are taken into account. Accurate predictions are obtained using the improved generic JC model when implemented in six different element-based alloys. One of the limitations of this modification is the large number of constants it has: forty constants. However, this problem is not a concern nowadays due to the rapid improvements in computers and the software used for the determination of the constants.
- Comparing predicted stresses using the original JC model and the modified JC-based models for the same types of alloys might be a future direction to precisely assess and evaluate the predictability of the JC model and modified JC-based models.
- Another future direction is considering the inverse analysis methods and the techniques that are based on non-linear least squares methods to minimize the mean square error between experimental and predicted values for the accurate determination of model constants.
- Coupling the original JC model and the modified JC-based models with other models such as the Zerilli–Armstrong and Arrhenius models might be another future direction.
Funding
Institutional Review Board Statement
Informed Consent Statement
Data Availability Statement
Acknowledgments
Conflicts of Interest
References
- Liu, J.; Zhang, W.; Xin, X.; Wang, L.; Zhu, C.; Zhu, X.; Sun, W. Microstructure evolution and dynamic recrystallisation behaviour in hot deformation of Haynes 214 superalloy. J. Alloys Compd. 2022, 919, 165755. [Google Scholar] [CrossRef]
- Patnamsetty, M.; Ghosh, S.; Somani, M.C.; Peura, P. Characterization of hot deformation behavior of Al0. 3CoCrFeNi high-entropy alloy and development of processing map. J. Alloys Compd. 2022, 914, 165341. [Google Scholar] [CrossRef]
- Lin, X.; Huang, H.; Yuan, X.; Wang, Y.; Zheng, B.; Zuo, X.; Zhou, G. Study on hot deformation behavior and processing map of a Ti-47.5 Al-2.5 V-1.0 Cr-0.2 Zr alloy with a fully lamellar microstructure. J. Alloys Compd. 2022, 901, 16364. [Google Scholar] [CrossRef]
- Shi, C.; Xu, H.; Wang, S.; Li, J.; Zheng, X. Hot deformation characteristics and microstructure evolution of electroslag remelted 15Cr-22Ni-1Nb austenitic heat-resistant steel. Mater. Charact. 2021, 182, 111564. [Google Scholar] [CrossRef]
- Wang, K.; Wen, D.; Li, J.; Zheng, Z.; Xiong, Y. Hot deformation behaviors of low-alloyed ultrahigh strength steel 30CrMnSiNi2A: Microstructure evolution and constitutive modeling. Mater. Today Commun. 2021, 26, 102009. [Google Scholar] [CrossRef]
- Yang, Y.; Jiang, Z.; Li, S.; Liu, X.; Sun, J.; Wang, W. Hot deformation behavior and microstructure evolution of stainless steel/carbon steel laminated composites. Mater. Sci. Eng. A 2022, 842, 142994. [Google Scholar] [CrossRef]
- Liu, D.; Lu, Z.; Yu, J.; Shi, C.; Xiao, H.; Liu, W.; Jiang, S. Hot deformation behavior and microstructure evolution of NiAl-9HfO2 composite. Intermetallics 2021, 139, 107344. [Google Scholar] [CrossRef]
- Tang, K.; Zhang, Z.; Tian, J.; Wu, Y.; Jiang, F. Hot deformation behavior and microstructural evolution of supersaturated Inconel 783 superalloy. J. Alloys Compd. 2021, 860, 158541. [Google Scholar] [CrossRef]
- Prakash, P.; Wells, M.A.; Williams, B.W. Hot deformation of cast AZ31 and AZ80 magnesium alloys–Influence of Al content on microstructure and texture development. J. Magnes. Alloy. 2022, 897, 162876. [Google Scholar] [CrossRef]
- Cao, F.; Sun, C.; Liu, S.; Liang, J.; Liu, R.; Guo, H.; Guo, N. Microstructures, hot tensile deformation behavior and constitutive modeling in a superlight Mg-2.76 Li-3Al-2.6 Zn-0.39 Y alloy. J. Alloys Compd. 2022, 896, 163049. [Google Scholar] [CrossRef]
- Yi, H.; Ding, J.; Ni, C.; Dai, J.; Tang, Y.; Chen, X.; Song, K.; Xia, X. Hot compression deformation behavior and processing maps of Al-0.5 Mg-0.4 Si-0.1 Cu alloy. J. Mater. Res. Technol. 2022, 19, 4890–4904. [Google Scholar] [CrossRef]
- Mofarrehi, M.; Javidani, M.; Chen, X.G. Effect of Mn content on the hot deformation behavior and microstructure evolution of Al–Mg–Mn 5xxx alloys. Mater. Sci. Eng. A 2022, 845, 143217. [Google Scholar] [CrossRef]
- Li, H.; Zhuang, X.; Lu, S.; Antonov, S.; Li, L.; Feng, Q. Hot deformation behavior and flow stress modeling of a novel CoNi-based wrought superalloy. J. Alloys Compd. 2022, 894, 162489. [Google Scholar] [CrossRef]
- Xue, Y.; Zhimin, Z.; Mu, M.; Jingjing, J.; Honglei, Z.; Genxing, L.; Jianmin, Y. Hot tensile deformation behaviors and a fracture damage model of the Mg-Gd-Y-Zn-Zr alloy. J. Mater. Res. Technol. 2022, 18, 255–267. [Google Scholar]
- Guo, S.; Wu, S.; Guo, J.; Shen, Y.; Zhang, W. An investigation on the hot deformation behavior and processing maps of Co-Ni-Cr-W-based superalloy. J. Manuf. Process. 2022, 74, 100–111. [Google Scholar] [CrossRef]
- Lin, Y.C.; Chen, M.S.; Zhong, J. Prediction of 42CrMo steel flow stress at high temperature and strain rate. Mech. Res. Commun. 2008, 35, 142–150. [Google Scholar] [CrossRef]
- Lin, Y.C.; Chen, M.S.; Zhong, J. Constitutive modeling for elevated temperature flow behavior of 42CrMo steel. Comput. Mater. Sci. 2008, 42, 470–477. [Google Scholar] [CrossRef]
- Samantaray, D.; Mandal, S.; Jayalakshmi, M.; Athreya, C.N.; Bhaduri, A.K.; Sarma, V.S. New insights into the relationship between dynamic softening phenomena and efficiency of hot working domains of a nitrogen enhanced 316L (N) stainless stee. Mater. Sci. Eng. A 2014, 598, 368–375. [Google Scholar] [CrossRef]
- Marandi, A.; Zarei-Hanzaki, A.; Haghdadi, N.; Eskandari, M. The prediction of hot deformation behavior in Fe–21Mn–2.5 Si–1.5 Al transformation-twinning induced plasticity steel. Mater. Sci. Eng. A 2012, 554, 72–78. [Google Scholar] [CrossRef]
- Ye, P.; Jin, X.; Fang, W.; Li, X.; Wu, H.; Fan, G. Hot deformation behavior and microstructure evolution of a high Nb containing PM TiAl composite reinforced with Ti2AlC particles. Mater. Today Commun. 2021, 29, 102862. [Google Scholar] [CrossRef]
- Ji, H.; Duan, H.; Li, Y.; Li, W.; Huang, X.; Pei, W.; Lu, Y. Optimization the working parameters of as-forged 42CrMo steel by constitutive equation-dynamic recrystallization equation and processing maps. J. Mater. Res. Technol. 2020, 9, 7210–7224. [Google Scholar] [CrossRef]
- Xiao, W.; Cai, H.; Lu, W.; Li, Y.; Zheng, K.; Wu, Y. Multi-objective optimization with automatic simulation for partition temperature control in aluminum hot stamping process. Struct. Multidiscip. Optim. 2022, 65, 84. [Google Scholar] [CrossRef]
- Li, J.; Wu, X.; Liao, B.; Cao, L. Simulation of dynamic recrystallization in an Al-Mg-Si alloy during inhomogeneous hot deformation. Mater. Today Commun. 2021, 29, 102810. [Google Scholar] [CrossRef]
- Emamverdian, A.A.; Sun, Y.; Chunping, C. Deformation and wear in a H21 (3Cr2W8V) steel die during hot forging: Simulation, mechanical properties, and microstructural evolution. J. Mater. Res. Technol. 2021, 15, 268–277. [Google Scholar] [CrossRef]
- Sun, Y.; Feng, X.; Hu, L.; Zhang, H.; Zhang, H. Characterization on hot deformation behavior of Ti-22Al-25Nb alloy using a combination of 3D processing maps and finite element simulation method. J. Alloys Compd. 2018, 753, 256–271. [Google Scholar] [CrossRef]
- Rahul, M.R.; Samal, S.; Venugopal, S.; Phanikumar, G. Experimental and finite element simulation studies on hot deformation behaviour of AlCoCrFeNi2. 1 eutectic high entropy alloy. J. Alloys Compd. 2018, 749, 1115–1127. [Google Scholar] [CrossRef]
- Derazkola, H.A.; Garcia, E.; Murillo-Marrodán, A.; Fernandez, A.C. Review on modeling and simulation of dynamic recrystallization of martensitic stainless steels during bulk hot deformation. J. Mater. Res. Technol. 2022, 18, 2993–3025. [Google Scholar] [CrossRef]
- Fan, J.; Ma, M.; Zhang, K.; Li, Y.; Li, X.; Shi, G.; Yuan, J. Hot deformation behavior and finite element simulation of Mg–8.3 Gd–4.4 Y–1.5 Zn–0.8 Mn alloy. J. Rare Earths 2022, 40, 831–839. [Google Scholar] [CrossRef]
- Wang, Z.; Qi, L.; Wang, G.; Li, H.; Dargusch, M.S. Constitutive equation for the hot deformation behavior of Csf/AZ91D composites and its validity for numerical simulation. Mech. Mater. 2016, 102, 90–96. [Google Scholar] [CrossRef]
- Korkmaz, M.E. Verification of Johnson-Cook parameters of ferritic stainless steel by drilling process: Experimental and finite element simulations. J. Mater. Res. Technol. 2020, 9, 6322–6330. [Google Scholar] [CrossRef]
- Cao, Y.; Zhen, Y.; Song, M.; Yi, H.; Li, F.; Li, X. Determination of Johnson–Cook parameters and evaluation of Charpy impact test performance for X80 pipeline steel. Int. J. Mech. Sci. 2020, 179, 105627. [Google Scholar] [CrossRef]
- Li, X.Y.; Zhang, Z.H.; Cheng, X.W.; Liu, X.P.; Zhang, S.Z.; He, J.Y.; Wang, Q.; Liu, L.J. The investigation on Johnson-Cook model and dynamic mechanical behaviors of ultra-high strength steel M54. Mater. Sci. Eng. A 2022, 835, 142693. [Google Scholar] [CrossRef]
- Lin, Y.C.; Chen, X.M. A critical review of experimental results and constitutive descriptions for metals and alloys in hot working. Mater. Des. 2011, 32, 1733–1759. [Google Scholar] [CrossRef]
- Buzolin, R.H.; Lasnik, M.; Krumphals, A.; Poletti, M.C. Hot deformation and dynamic α-globularization of a Ti-17 alloy: Consistent physical model. Mater. Des. 2021, 197, 109266. [Google Scholar] [CrossRef]
- Yang, P.R.; Cai, M.H.; Wu, C.F.; Su, J.H.; Guo, X.P. Strain-rate dependent hot deformation behavior and mechanism of interphase-precipitated Ti-Mo-xNb steels: Physical modeling and characterization. Mater. Sci. Eng. A 2018, 729, 230–240. [Google Scholar] [CrossRef]
- Souza, P.M.; Beladi, H.; Singh, R.; Rolfe, B.; Hodgson, P.D. Constitutive analysis of hot deformation behavior of a Ti6Al4V alloy using physical based model. Mater. Sci. Eng. A 2015, 648, 265–273. [Google Scholar] [CrossRef]
- Wang, X.D.; Pan, Q.L.; Xiong, S.W.; Liu, L.L.; Sun, Y.W.; Wang, W.Y. Prediction on hot deformation behavior of spray-formed 7055 aluminum alloy via phenomenological models. Trans. Nonferrous Met. Soc. China 2018, 28, 1484–1494. [Google Scholar] [CrossRef]
- Ashtiani, H.R.; Shahsavari, P. A comparative study on the phenomenological and artificial neural network models to predict hot deformation behavior of AlCuMgPb alloy. J. Alloys Compd. 2016, 687, 263–273. [Google Scholar] [CrossRef]
- Solhjoo, S.; Vakis, A.I.; Pei, Y.T. Two phenomenological models to predict the single peak flow stress curves up to the peak during hot deformation. Mech. Mater. 2017, 105, 61–66. [Google Scholar] [CrossRef]
- Lin, Y.C.; Ding, Y.; Chen, M.S.; Deng, J. A new phenomenological constitutive model for hot tensile deformation behaviors of a typical Al–Cu–Mg alloy. Mater. Des. 2013, 52, 118–127. [Google Scholar] [CrossRef]
- Ji, G.; Li, L.; Qin, F.; Zhu, L.; Li, Q. Comparative study of phenomenological constitutive equations for an as-rolled M50NiL steel during hot deformation. J. Alloys Compd. 2017, 695, 2389–2399. [Google Scholar] [CrossRef]
- Kumar, S.; Karmakar, A.; Nath, S.K. Construction of hot deformation processing maps for 9Cr-1Mo steel through conventional and ANN approach. Mater. Today Commun. 2021, 26, 101903. [Google Scholar] [CrossRef]
- Sani, S.A.; Ebrahimi, G.R.; Vafaeenezhad, H.; Kiani-Rashid, A.R. Modeling of hot deformation behavior and prediction of flow stress in a magnesium alloy using constitutive equation and artificial neural network (ANN) model. J. Magnes. Alloy. 2018, 6, 134–144. [Google Scholar] [CrossRef]
- Shokry, A.; Gowid, S.; Kharmanda, G.; Mahdi, E. Constitutive models for the prediction of the hot deformation behavior of the 10% Cr steel alloy. Materials 2019, 12, 2873. [Google Scholar] [CrossRef] [PubMed]
- Hu, D.C.; Wang, L.; Wang, N.; Chen, M.H.; Wang, H.J. Hot tensile deformation behaviors of TA32 titanium alloy based on back-propagation neural networks and three-dimensional thermal processing maps. J. Mater. Res. Technol. 2022, 18, 4786–4795. [Google Scholar] [CrossRef]
- Jie YA, N.; Pan, Q.L.; An-De, L.I.; Song, W.B. Flow behavior of Al–6.2 Zn–0.70 Mg–0.30 Mn–0.17 Zr alloy during hot compressive deformation based on Arrhenius and ANN models. Trans. Nonferrous Met. Soc. China 2017, 27, 638–664. [Google Scholar]
- Johnson, G.R.; Cook, W.H. A constitutive model and data for metals subjected to large strains, high strain rates and high temperatures. In Proceedings of the 7th International Symposium on Ballistics, Hague, The Netherlands, 19–21 April 1983. [Google Scholar]
- Wang, X.; Huang, C.; Zou, B.; Liu, H.; Zhu, H.; Wang, J. Dynamic behavior and a modified Johnson–Cook constitutive model of Inconel 718 at high strain rate and elevated temperature. Mater. Sci. Eng. A 2013, 580, 385–390. [Google Scholar] [CrossRef]
- Iturbe, A.; Giraud, E.; Hormaetxe, E.; Garay, A.; Germain, G.; Ostolaza, K.; Arrazola, P.J. Mechanical characterization and modelling of Inconel 718 material behavior for machining process assessment. Mater. Sci. Eng. A 2017, 682, 441–453. [Google Scholar] [CrossRef]
- He, A.; Xie, G.; Zhang, H.; Wang, X. A comparative study on Johnson–Cook, modified Johnson–Cook and Arrhenius-type constitutive models to predict the high temperature flow stress in 20CrMo alloy steel. Mater. Des. 2013, 52, 677–685. [Google Scholar] [CrossRef]
- Rudnytskyj, A.; Simon, P.; Jech, M.; Gachot, C. Constitutive modelling of the 6061 aluminium alloy under hot rolling conditions and large strain ranges. Mater. Des. 2020, 190, 108568. [Google Scholar] [CrossRef]
- Chen, L.; Zhao, G.; Yu, J. Hot deformation behavior and constitutive modeling of homogenized 6026 aluminum alloy. Mater. Des. 2015, 74, 25–35. [Google Scholar] [CrossRef]
- Tan, J.Q.; Zhan, M.; Liu, S.; Huang, T.; Guo, J.; Yang, H. A modified Johnson–Cook model for tensile flow behaviors of 7050-T7451 aluminum alloy at high strain rates. Mater. Sci. Eng. A 2015, 631, 214–219. [Google Scholar] [CrossRef]
- Chen, X.; Liao, Q.; Niu, Y.; Jia, W.; Le, Q.; Cheng, C.; Yu, F.; Cui, J. A constitutive relation of AZ80 magnesium alloy during hot deformation based on Arrhenius and Johnson–Cook model. J. Mater. Res. Technol. 2019, 8, 1859–1869. [Google Scholar] [CrossRef]
- Abbassi, F.; Srinivasan, M.; Loganathan, C.; Narayanasamy, R.; Gupta, M. Experimental and numerical analyses of magnesium alloy hot workability. J. Magnes. Alloy. 2016, 4, 295–301. [Google Scholar] [CrossRef]
- Mirza, F.A.; Daolun CH, E.N.; Dejiang, L.I.; Xiaoqin ZE, N.G. A modified Johnson-Cook constitutive relationship for a rare-earth containing magnesium alloy. J. Rare Earths 2013, 31, 1202–1207. [Google Scholar] [CrossRef]
- Deb, S.; Muraleedharan, A.; Immanuel, R.J.; Panigrahi, S.K.; Racineux, G.; Marya, S. Establishing flow stress behaviour of Ti-6Al-4V alloy and development of constitutive models using Johnson-Cook method and Artificial Neural Network for quasi-static and dynamic loading. Theor. Appl. Fract. Mech. 2022, 119, 103338. [Google Scholar] [CrossRef]
- Gao, S.; Sang, Y.; Li, Q.; Sun, Y.; Wu, Y.; Wang, H. Constitutive modeling and microstructure research on the deformation mechanism of Ti-6Al-4V alloy under hot forming condition. J. Alloys Compd. 2022, 892, 162128. [Google Scholar] [CrossRef]
- Zhan, H.; Wang, G.; Kent, D.; Dargusch, M. Constitutive modelling of the flow behaviour of a β titanium alloy at high strain rates and elevated temperatures using the Johnson–Cook and modified Zerilli–Armstrong models. Mater. Sci. Eng. A 2014, 612, 71–79. [Google Scholar] [CrossRef]
- Yu, W.; Li, Y.; Cao, J.; Yang, Z.; Zhang, J.; Lang, S. The dynamic compressive behavior and constitutive models of a near α TA23 titanium alloy. Mater. Today Commun. 2021, 29, 102863. [Google Scholar] [CrossRef]
- Shokry, A. On the constitutive modeling of a powder metallurgy nanoquasicrystalline Al93Fe3Cr2Ti2 alloy at elevated temperatures. J. Braz. Soc. Mech. Sci. Eng. 2019, 41, 118. [Google Scholar] [CrossRef]
- Motallebi, R.; Savaedi, Z.; Mirzadeh, H. Additive manufacturing–A review of hot deformation behavior and constitutive modeling of flow stress. Curr. Opin. Solid State Mater. Sci. 2022, 26, 100992. [Google Scholar] [CrossRef]
- Tao, Z.J.; Fan, X.G.; He YA, N.G.; Jun, M.A.; Heng, L.I. A modified Johnson–Cook model for NC warm bending of large diameter thin-walled Ti-6Al-4V tube in wide ranges of strain rates and temperatures. Trans. Nonferrous Met. Soc. China 2018, 28, 298–308. [Google Scholar] [CrossRef]
- Mirzadeh, H. Constitutive modeling and prediction of hot deformation flow stress under dynamic recrystallization conditions. Mech. Mater. 2015, 85, 66–79. [Google Scholar] [CrossRef]
- Akbari, Z.; Mirzadeh, H.; Cabrera, J.M. A simple constitutive model for predicting flow stress of medium carbon microalloyed steel during hot deformation. Mater. Des. 2015, 77, 126–131. [Google Scholar] [CrossRef]
- Shokry, A.; Gowid, S.; Youssef, S.S. Modeling the flow behavior of Haynes 214 superalloy during hot deformation using mathematical and artificial intelligence-based models. Mater. Today Commun. 2022, 33, 104326. [Google Scholar] [CrossRef]
- Meyers, M.A.; Chen, Y.J.; Marquis, F.D.S.; Kim, D.S. High-strain, high-strain-rate behavior of tantalum. Metall. Mater. Trans. A 1995, 26, 2493–2501. [Google Scholar] [CrossRef]
- Rule, W.K.; Jones, S.E. A revised form for the Johnson–Cook strength model. Int. J. Impact Eng. 1998, 21, 609–624. [Google Scholar] [CrossRef]
- Kang, W.J.; Cho, S.S.; Huh, H.; Chung, D.T. Modified Johnson-Cook model for vehicle body crashworthiness simulation. Int. J. Veh. Des. 1999, 21, 424–435. [Google Scholar] [CrossRef]
- Huh, H.; Kang, W.J.; Han, S.S. A tension split Hopkinson bar for investigating the dynamic behavior of sheet metals. Exp. Mech. 2002, 42, 8–17. [Google Scholar] [CrossRef]
- Couque, H.; Boulanger, R.; Bornet, F. A modified Johnson-Cook model for strain rates ranging from 10−3 to 105 s−1. J. Phys. IV 2006, 134, 87–93. [Google Scholar] [CrossRef]
- Johnson, G.R.; Holmquist, T.J.; Anderson, C.E., Jr.; Nicholls, A.E. Strain-rate effects for high-strain-rate computations. J. Phys. IV 2006, 134, 391–396. [Google Scholar] [CrossRef]
- Lin, Y.C.; Chen, X.M.; Liu, G. A modified Johnson–Cook model for tensile behaviors of typical high-strength alloy steel. Mater. Sci. Eng. A 2010, 527, 6980–6986. [Google Scholar] [CrossRef]
- Hou, Q.Y.; Wang, J.T. A modified Johnson–Cook constitutive model for Mg–Gd–Y alloy extended to a wide range of temperatures. Comput. Mater. Sci. 2010, 50, 147–152. [Google Scholar] [CrossRef]
- Shin, H.; Kim, J.B. A phenomenological constitutive equation to describe various flow stress behaviors of materials in wide strain rate and temperature regimes. J. Eng. Mater. Technol. 2010, 132, 021009. [Google Scholar] [CrossRef]
- Maheshwari, A.K.; Pathak, K.K.; Ramakrishnan, N.; Narayan, S.P. Modified Johnson–Cook material flow model for hot deformation processing. J. Mater. Sci. 2010, 45, 859–864. [Google Scholar] [CrossRef]
- Wang, Y.P.; Han, C.J.; Wang, C.; Li, S.K. A modified Johnson–Cook model for 30Cr2Ni4MoV rotor steel over a wide range of temperature and strain rate. J. Mater. Sci. 2011, 46, 2922–2927. [Google Scholar] [CrossRef]
- Lin, Y.C.; Li, L.T.; Jiang, Y.Q. A phenomenological constitutive model for describing thermo-viscoplastic behavior of Al-Zn-Mg-Cu alloy under hot working condition. Exp. Mech. 2012, 52, 993–1002. [Google Scholar] [CrossRef]
- Lin, Y.C.; Li, L.T.; Fu, Y.X.; Jiang, Y.Q. Hot compressive deformation behavior of 7075 Al alloy under elevated temperature. J. Mater. Sci. 2012, 47, 1306–1318. [Google Scholar] [CrossRef]
- Li, H.Y.; Wang, X.F.; Duan, J.Y.; Liu, J.J. A modified Johnson Cook model for elevated temperature flow behavior of T24 steel. Mater. Sci. Eng. A 2013, 577, 138–146. [Google Scholar] [CrossRef]
- Song, W.; Ning, J.; Mao, X.; Tang, H. A modified Johnson–Cook model for titanium matrix composites reinforced with titanium carbide particles at elevated temperatures. Mater. Sci. Eng. A 2013, 576, 280–289. [Google Scholar] [CrossRef]
- Chen, G.; Ren, C.; Ke, Z.; Li, J.; Yang, X. Modeling of flow behavior for 7050-T7451 aluminum alloy considering microstructural evolution over a wide range of strain rates. Mech. Mater. 2016, 95, 146–157. [Google Scholar] [CrossRef]
- Wang, J.; Guo, W.G.; Li, P.; Zhou, P. Modified Johnson-Cook description of wide temperature and strain rate measurements made on a nickel-base superalloy. Mater. High Temp. 2017, 34, 157–165. [Google Scholar] [CrossRef]
- Shokry, A. A modified Johnson–Cook model for flow behavior of alloy 800H at intermediate strain rates and high temperatures. J. Mater. Eng. Perform. 2017, 26, 5723–5730. [Google Scholar] [CrossRef]
- Zhao, Y.; Sun, J.; Li, J.; Yan, Y.; Wang, P. A comparative study on Johnson-Cook and modified Johnson-Cook constitutive material model to predict the dynamic behavior laser additive manufacturing FeCr alloy. J. Alloys Compd. 2017, 723, 179–187. [Google Scholar] [CrossRef]
- He, J.; Chen, F.; Wang, B.; Zhu, L.B. A modified Johnson-Cook model for 10% Cr steel at elevated temperatures and a wide range of strain rates. Mater. Sci. Eng. A 2018, 715, 1–9. [Google Scholar] [CrossRef]
- Hou, X.; Liu, Z.; Wang, B.; Lv, W.; Liang, X.; Hua, Y. Stress-strain curves and modified material constitutive model for Ti-6Al-4V over the wide ranges of strain rate and temperature. Materials 2018, 11, 938. [Google Scholar] [CrossRef]
- Xu, H.; Zhao, B.; Lu, X.; Liu, Z.; Li, T.; Zhong, N.; Yin, X. A modified Johnson–Cook constitutive model for the compressive flow behaviors of the SnSbCu alloy at high strain rates. J. Mater. Eng. Perform. 2019, 28, 6958–6968. [Google Scholar] [CrossRef]
- Zhang, F.; Liu, Z.; Wang, Y.; Mao, P.; Kuang, X.; Zhang, Z.; Ju, Y.; Xu, X. The modified temperature term on Johnson-Cook constitutive model of AZ31 magnesium alloy with {0002} texture. J. Magnes. Alloy. 2020, 8, 172–183. [Google Scholar] [CrossRef]
- Niu, L.; Cao, M.; Liang, Z.; Han, B.; Zhang, Q. A modified Johnson-Cook model considering strain softening of A356 alloy. Mater. Sci. Eng. A 2020, 789, 139612. [Google Scholar] [CrossRef]
- Chakrabarty, R.; Song, J. A modified Johnson-Cook material model with strain gradient plasticity consideration for numerical simulation of cold spray process. Surf. Coat. Technol. 2020, 39, 125981. [Google Scholar] [CrossRef]
- Li, Y.Q.; Gao, X.L.; Halls, V.A.; Zheng, J.Q. A new constitutive model for ballistic Roma Plastilina no. 1 clay. Mech. Adv. Mater. Struct. 2020, 27, 2027–2034. [Google Scholar] [CrossRef]
- Qian, X.; Peng, X.; Song, Y.; Huang, J.; Wei, Y.; Liu, P.; Mao, X.; Zhang, J.; Wang, L. Dynamic constitutive relationship of CuCrZr alloy based on Johnson-Cook model. Nucl. Mater. Energy 2020, 24, 100768. [Google Scholar] [CrossRef]
- Liu, X.; Ma, H.; Fan, F. Modified Johnson–Cook model of SWRH82B steel under different manufacturing and cold-drawing conditions. J. Constr. Steel Res. 2021, 186, 106894. [Google Scholar] [CrossRef]
- Wang, Y.; Zeng, X.; Chen, H.; Yang, X.; Wang, F.; Zeng, L. Modified Johnson-Cook constitutive model of metallic materials under a wide range of temperatures and strain rates. Results Phys. 2021, 27, 104498. [Google Scholar] [CrossRef]
- Shokry, A.; Gowid, S.; Kharmanda, G. An improved generic Johnson-Cook model for the flow prediction of different categories of alloys at elevated temperatures and dynamic loading conditions. Mater. Today Commun. 2021, 27, 102296. [Google Scholar] [CrossRef]
- Priest, J.; Ghadbeigi, H.; Ayvar-Soberanis, S.; Liljerehn, A.; Way, M. A modified Johnson-Cook constitutive model for improved thermal softening prediction of machining simulations in C45 steel. Procedia CIRP 2022, 108, 106–111. [Google Scholar] [CrossRef]
- Razali, M.K.; Irani, M.; Joun, M. General modeling of flow stress curves of alloys at elevated temperatures using bi-linearly interpolated or closed-form functions for material parameters. J. Mater. Res. Technol. 2019, 8, 2710–2720. [Google Scholar] [CrossRef]
- Luo, R.; Chen, L.; Zhang, Y.; Cao, Y.; Peng, C.T.; Yang, Y.; Liu, T.; Zheng, Q.; Cheng, X. Characteristic and mechanism of dynamic recrystallization in a newly developed Fe-Cr-Ni-Al-Nb superalloy during hot deformation. J. Alloys Compd. 2021, 865, 158601. [Google Scholar] [CrossRef]
- Liu, D.; Chai, H.; Yang, L.; Qiu, W.; Guo, Z.; Wang, Z. Study on the dynamic recrystallization mechanisms of GH5188 superalloy during hot compression deformation. J. Alloys Compd. 2021, 895, 162565. [Google Scholar] [CrossRef]
- Pu, E.X.; Feng, H.; Liu, M.; Zheng, W.J.; Dong, H.; Song, Z.G. Constitutive modeling for flow behaviors of superaustenitic stainless steel S32654 during hot deformation. J. Iron Steel Res. Int. 2016, 23, 178–184. [Google Scholar] [CrossRef]
- Zhou, X.; Wang, M.; Fu, Y.; Wang, Z.; Li, Y.; Yang, S.; Zhao, H.; Li, H. Effect of borides on hot deformation behavior and microstructure evolution of powder metallurgy high borated stainless steel. Mater. Charact. 2017, 124, 182–191. [Google Scholar] [CrossRef]
- Lin, Y.C.; Chen, M.S.; Zhong, J. Effect of temperature and strain rate on the compressive deformation behavior of 42CrMo steel. J. Mater. Process. Technol. 2008, 205, 308–315. [Google Scholar] [CrossRef]
- Wan, Z.; Sun, Y.; Hu, L.; Yu, H. Dynamic softening behavior and microstructural characterization of TiAl-based alloy during hot deformation. Mater. Charact. 2017, 130, 25–32. [Google Scholar] [CrossRef]
- Lin, Y.C.; Pang, G.D.; Jiang, Y.Q.; Liu, X.G.; Zhang, X.Y.; Chen, C.; Zhou, K.C. Hot compressive deformation behavior and microstructure evolution of a Ti-55511 alloy with basket-weave microstructures. Vacuum 2019, 169, 108878. [Google Scholar] [CrossRef]
- Gu, B.; Chekhonin, P.; Xin, S.W.; Liu, G.Q.; Ma, C.L.; Zhou, L.; Skrotzki, W. Effect of temperature and strain rate on the deformation behavior of Ti5321 during hot-compression. J. Alloys Compd. 2021, 876, 159938. [Google Scholar] [CrossRef]
- Yang, Q.Y.; Dong YA, N.G.; Zhang, Z.Q.; Cao, L.F.; Wu, X.D.; Huang, G.J.; Qing LI, U. Flow behavior and microstructure evolution of 6A82 aluminium alloy with high copper content during hot compression deformation at elevated temperature. Trans. Nonferrous Met. Soc. China 2016, 26, 649–657. [Google Scholar] [CrossRef]
- Sang, D.L.; Fu, R.D.; Li, Y.J. Combined deformation behavior and microstructure evolution of 7050 aluminum alloy during hot shear-compression deformation. Mater. Charact. 2016, 122, 154–161. [Google Scholar] [CrossRef]
- Xiao, W.; Wang, B.; Wu, Y.; Yang, X. Constitutive modeling of flow behavior and microstructure evolution of AA7075 in hot tensile deformation. Mater. Sci. Eng. A 2018, 712, 704–713. [Google Scholar] [CrossRef]
- Zhang, J.; Yi, Y.; He, H.; Huang, S.; Mao, X.; Guo, W.; You, W.; Guo, Y.; Dong, F.; Tang, J. Kinetic model for describing continuous and discontinuous dynamic recrystallization behaviors of 2195 aluminum alloy during hot deformation. Mater. Charact. 2021, 181, 111492. [Google Scholar] [CrossRef]
- Ban, Y.; Zhang, Y.; Tian, B.; Song, K.; Zhou, M.; Zhang, X.; Jia, Y.; Li, X.; Geng, Y.; Liu, Y.; et al. EBSD analysis of hot deformation behavior of Cu-Ni-Co-Si-Cr alloy. Mater. Charact. 2020, 169, 110656. [Google Scholar] [CrossRef]
- Yang, J.Y.; Kim, W.J. The effect of addition of Sn to copper on hot compressive deformation mechanisms, microstructural evolution and processing maps. J. Mater. Res. Technol. 2020, 9, 749–761. [Google Scholar] [CrossRef]
- Lin, Y.C.; Nong, F.Q.; Chen, X.M.; Chen, D.D.; Chen, M.S. Microstructural evolution and constitutive models to predict hot deformation behaviors of a nickel-based superalloy. Vacuum 2017, 137, 104–114. [Google Scholar] [CrossRef]
- Wan, Z.; Hu, L.; Sun, Y.; Wang, T.; Li, Z. Hot deformation behavior and processing workability of a Ni-based alloy. J. Alloys Compd. 2018, 769, 367–375. [Google Scholar] [CrossRef]
- Gang, T.; Li, H.Z.; Yan, W.; Lei, Y.; Qiao, S.C.; Huang, Z.Q.; Liu, M.X. Hot working characteristics of HEXed PM nickel-based superalloy during hot compression. Trans. Nonferrous Met. Soc. China 2020, 30, 2709–2723. [Google Scholar]
- Liu, X.; Li, L.; Zhu, B. Modeling of the flow stress behavior and microstructural evolution during hot deformation of Mg–8Al–1.5 Ca–0.2 Sr magnesium alloy. J. Magnes. Alloy. 2014, 2, 133–139. [Google Scholar] [CrossRef]
- Long, J.; Xia, Q.; Xiao, G.; Qin, Y.; Yuan, S. Flow characterization of magnesium alloy ZK61 during hot deformation with improved constitutive equations and using activation energy maps. Int. J. Mech. Sci. 2021, 191, 106069. [Google Scholar] [CrossRef]
- Solberg, J.K.; McQueen, H.J.; Ryum, N.; Nes, E. Influence of ultra-high strains at elevated temperatures on the microstructure of aluminium. Part I. Philos. Mag. A 1989, 60, 447–471. [Google Scholar] [CrossRef]
- Hales, S.J.; McNelley, T.R.; McQueen, H.J. Recrystallization and superplasticity at 300 C in an aluminum-magnesium alloy. Metall. Trans. A 1991, 22, 1037–1047. [Google Scholar] [CrossRef]
- Tsuzaki, K.; Huang, X.; Maki, T. Mechanism of dynamic continuous recrystallization during superplastic deformation in a microduplex stainless steel. Acta Mater. 1996, 44, 4491–4499. [Google Scholar] [CrossRef]
- Sitdikov, O.; Kaibyshev, R. Dynamic recrystallization in pure magnesium. Mater. Trans. 2001, 42, 1928–1937. [Google Scholar] [CrossRef]
- Gourdet, S.; Montheillet, F. A model of continuous dynamic recrystallization. Acta Mater. 2003, 51, 2685–2699. [Google Scholar] [CrossRef]
- Sakai, T.; Belyakov, A.; Kaibyshev, R.; Miura, H.; Jonas, J.J. Dynamic and post-dynamic recrystallization under hot, cold and severe plastic deformation conditions. Prog. Mater. Sci. 2014, 60, 130–207. [Google Scholar] [CrossRef]
- Xu, L.X.; Wu, H.B.; Wang, X.T. Influence of microstructural evolution on the hot deformation behavior of an Fe–Mn–Al Duplex lightweight steel. Acta Metall. Sin. Engl. Lett. 2018, 31, 389–400. [Google Scholar] [CrossRef]
- Alcelay, I.; Peña, E.; Al Omar, A. Hot working behaviour and processing maps of duplex cast steel. Int. J. Mater. Res. 2021, 112, 518–526. [Google Scholar] [CrossRef]
- Zhang, L.; Yuan, S.; Wang, J.; Chen, L.; Jin, P. Hot deformation behavior, processing map, microstructure evolution and dynamic recrystallization mechanism of Mg-5Al-0.6 Sc alloy. J. Alloys Compd. 2022, 922, 166244. [Google Scholar] [CrossRef]
- Kong, R.; Meng, B.; Ma, X.; Li, Y.; Zheng, L.; Zhu, Y.; Wan, M. Hot deformation behavior and microstructure evolution of Inconel 625 superalloy sheet. J. Alloys Compd. 2022, 915, 165367. [Google Scholar] [CrossRef]
- Zhang, Y.; Jiang, J.; Wang, Y.; Liu, Y.; Huang, M. Hot deformation behavior and microstructure evolution of hot-extruded 6A02 aluminum alloy. Mater. Charact. 2022, 188, 111908. [Google Scholar] [CrossRef]
- Fu, X.Y.; Bai, P.C.; Yang, J.C. Hot Deformation Characteristics of 18Cr-5Ni-4Cu-N Stainless Steel Using Constitutive Equation and Processing Map. Metals 2020, 10, 82. [Google Scholar] [CrossRef]
- Yao, L.; Huang, Y.; Gao, Y.; Li, Y.; Huang, X.; Wang, Y.; Liu, Q.; Zhou, C. Hot deformation behavior of nanostructural oxide dispersion-strengthened (ODS) Mo alloy. Int. J. Refract. Met. Hard Mater. 2022, 107, 105881. [Google Scholar] [CrossRef]
- Guan, C.; Chen, G.; Kai, X.; Cao, R.; Miao, C.; Xu, Z.; Zhao, Y. Evolution of microstructure and mechanical properties of graphene nanoplates and ZrB2 nanoparticles reinforced AA6111 composites during hot rolling deformation. J. Alloys Compd. 2022, 920, 165910. [Google Scholar] [CrossRef]
- Li, T.; Lu, Y.; Li, Z.; Wang, T.; Li, T. Hot deformation behavior and microstructure evolution of non-equimolar Ti2ZrHfV0. 5Ta0. 2 refractory high-entropy alloy. Intermetallics 2022, 146, 107586. [Google Scholar] [CrossRef]
- Wang, Y.; Yang, B.; Gao, M.; Guan, R. Deformation behavior and dynamic recrystallization during hot compression in homogenized Al–6Mg–0.8 Mn alloys. Mater. Sci. Eng. A 2022, 840, 142953. [Google Scholar] [CrossRef]
- Hu, X.; Wang, Z.; Wang, L.; Chen, C.; Zhang, F.; Zhang, W. Effect of pre-deformation on hot workability of super austenitic stainless steel. J. Mater. Res. Technol. 2022, 16, 238–250. [Google Scholar] [CrossRef]
- Wang, X.; Xiao, D.; Wu, M.; Liu, W. Deformation behavior and microstructure evolution of Al–5.06 Mg–1.67 Li–0.51 Zn alloy under hot compression. J. Mater. Res. Technol. 2021, 15, 4516–4528. [Google Scholar] [CrossRef]
- Shi, Z.X.; Yan, X.F.; Duan, C.H.; Zhao, M.H. Effect of strain rate on hot deformation characteristics of GH690 superalloy. Trans. Nonferrous Met. Soc. China 2017, 27, 538–550. [Google Scholar] [CrossRef]
- Li, X.; Ren, L.; Le, Q.; Jin, P.; Cheng, C.; Wang, T.; Wang, P.; Zhou, X.; Chen, X.; Li, D. The hot deformation behavior, microstructure evolution and texture types of as-cast Mg–Li alloy. J. Alloys Compd. 2020, 831, 154868. [Google Scholar] [CrossRef]
- Patnamsetty, M.; Somani, M.C.; Ghosh, S.; Ahmed, S.; Peura, P. Processing map for controlling microstructure and unraveling various deformation mechanisms during hot working of CoCrFeMnNi high entropy alloy. Mater. Sci. Eng. A 2020, 793, 139840. [Google Scholar] [CrossRef]
- Zhang, J.; Wu, C.; Peng, Y.; Xia, X.; Li, J.; Ding, J.; Liu, C.; Chen, X.; Dong, J.; Liu, Y. Hot compression deformation behavior and processing maps of ATI 718Plus superalloy. J. Alloys Compd. 2020, 835, 155195. [Google Scholar] [CrossRef]
- Wang, M.J.; Sun, C.Y.; Fu, M.W.; Liu, Z.L.; Qian, L.Y. Study on the dynamic recrystallization mechanisms of Inconel 740 superalloy during hot deformation. J. Alloys Compd. 2020, 820, 153325. [Google Scholar] [CrossRef]
- Ding, S.; Khan, S.A.; Yanagimoto, J. Flow behavior and dynamic recrystallization mechanism of A5083 aluminum alloys with different initial microstructures during hot compression. Mater. Sci. Eng. A 2020, 787, 139522. [Google Scholar] [CrossRef]
- He, Y.; Deng, Z.; Liu, J.; Yan, B.; Chen, C. Hot-deformation characteristics and dynamic softening of as-cast FeCrAl alloy. J. Mater. Res. Technol. 2020, 9, 6632–6641. [Google Scholar] [CrossRef]
- Hen, Z.Q.; Xu, L.J.; Cao, S.Z.; Yang, J.K.; Zheng, Y.F.; Xiao, S.L.; Tian, J.; Chen, Y.Y. Characterization of hot deformation and microstructure evolution of a new metastable β titanium alloy. Trans. Nonferrous Met. Soc. China 2022, 32, 1513–1529. [Google Scholar]
- Li, Y.; Li, L.; Li, J.; Lin, X.; Jiao, B.; Wu, M.; Zhang, G.; Zhang, W. Microstructural evolution and hot deformation behavior of W-3Re-5HfC alloy. Int. J. Refract. Met. Hard Mater. 2021, 98, 105535. [Google Scholar] [CrossRef]
- Pan, J.; Yang, J.; Zhang, W.; Li, H.; Chen, W.; Cui, G. High-temperature deformation behavior and microstructure evolution of TiBw/Ti6Al4V composites during hot shear-compression deformation. J. Mater. Res. Technol. 2021, 15, 115. [Google Scholar] [CrossRef]
- Hao, J.; Zhang, J.; Gong, X.; Li, B. Hot deformation behavior and workfability of the homogenized Mg-5.8 Zn-1.2 Y–1Mn alloy containing I and W phases. J. Mater. Res. Technol. 2021, 15, 2202–2212. [Google Scholar] [CrossRef]
- Li, C.; Huang, L.; Zhao, M.; Guo, S.; Li, J. Hot deformation behavior and mechanism of a new metastable β titanium alloy Ti–6Cr–5Mo–5V–4Al in single phase region. Mater. Sci. Eng. A 2021, 814, 141231. [Google Scholar] [CrossRef]
- Lei, C.; Wang, Q.; Tang, H.; Liu, T.; Li, Z.; Jiang, H.; Wang, K.; Ebrahimi, M.; Ding, W. Hot deformation constitutive model and processing maps of homogenized Al–5Mg–3Zn–1Cu alloy. J. Mater. Res. Technol. 2021, 14, 324–339. [Google Scholar] [CrossRef]
- Li, X.; Le, Q.; Li, D.; Wang, P.; Jin, P.; Cheng, C.; Chen, X.; Ren, L. Hot tensile deformation behavior of extruded LAZ532 alloy with heterostructure. Mater. Sci. Eng. A 2021, 801, 140412. [Google Scholar] [CrossRef]
- Yang, X.; Wang, Y.; Dong, X.; Peng, C.; Ji, B.; Xu, Y.; Li, W. Hot deformation behavior and microstructure evolution of the laser solid formed TC4 titanium alloy. Chin. J. Aeronaut. 2021, 34, 163–182. [Google Scholar] [CrossRef]
- Che, B.; Lu, L.; Kang, W.; Luo, J.; Ma, M.; Liu, L. Hot deformation behavior and processing map of a new type Mg-6Zn-1Gd-1Er alloy. J. Alloys Compd. 2021, 862, 158700. [Google Scholar] [CrossRef]
- Ning, J.; Li, Q.; Zou, Z.; Liu, T.; Chen, L. Hot tensile deformation behavior and microstructural evolution of 2195 Al–Li alloy. Vacuum 2021, 188, 110176. [Google Scholar] [CrossRef]
- Song, Y.; Li, Y.; Li, H.; Zhao, G.; Cai, Z.; Sun, M. Hot deformation and recrystallization behavior of a new nickel-base superalloy for ultra-supercritical applications. J. Mater. Res. Technol. 2022, 19, 4308–4324. [Google Scholar] [CrossRef]
- Zhang, J.Y.; Xu, B.; Tariq, N.H.; Sun, M.; Li, D.; Li, Y.Y. Microstructure evolutions and interfacial bonding behavior of Ni-based superalloys during solid state plastic deformation bonding. J. Mater. Sci. Technol. 2020, 46, 1–11. [Google Scholar] [CrossRef]
- Tan, L.; Li, Y.; He, G.; Liu, F.; Nie, Y.; Jiang, L. Optimized hot workability of a powder metallurgy nickel-base superalloy. Mater. Charact. 2019, 147, 340–352. [Google Scholar] [CrossRef]
- Bharath, K.; Mandal, A.; Karmakar, A.; Khanra, A.K.; Davidson, M.J. Understanding the effect of hot extrusion on the evolution of microstructure and associated mechanical properties in sintered Al-Cu-Mg alloys. Mater. Charact. 2020, 170, 110715. [Google Scholar] [CrossRef]
- Sun, D.; Jiang, S.; Yan, B.; Yu, J.; Zhang, Y. Mechanical behaviour and microstructural evolution of Ti-37 at.% Nb alloy subjected to hot compression deformation. J. Alloys Compd. 2020, 834, 155010. [Google Scholar] [CrossRef]
- Liu, P.; Zhang, R.; Yuan, Y.; Cui, C.; Zhou, Y.; Sun, X. Hot deformation behavior and workability of a Ni–Co based superalloy. J. Alloys Compd. 2020, 831, 154618. [Google Scholar] [CrossRef]
- Wu, R.; Liu, Y.; Geng, C.; Lin, Q.; Xiao, Y.; Xu, J.; Kang, W. Study on hot deformation behavior and intrinsic workability of 6063 aluminum alloys using 3D processing map. J. Alloys Compd. 2017, 713, 212–221. [Google Scholar] [CrossRef]
- Chokshi, A.H.; Mukherjee, A.K.; Langdon, T.G. Superplasticity in advanced materials. Mater. Sci. Eng. R Rep. 1993, 6, 237–274. [Google Scholar] [CrossRef]
- Mosleh, A.O.; Mikhaylovskaya, A.V.; Kotov, A.D.; Kwame, J.S. Experimental, modelling and simulation of an approach for optimizing the superplastic forming of Ti-6% Al-4% V titanium alloy. J. Manuf. Process. 2019, 45, 262–272. [Google Scholar] [CrossRef]
- Aktürk, M.; Boy, M.; Gupta, M.K.; Waqar, S.; Krolczyk, G.M.; Korkmaz, M.E. Numerical and experimental investigations of built orientation dependent Johnson–Cook model for selective laser melting manufactured AlSi10Mg. J. Mater. Res. Technol. 2021, 15, 6244–6259. [Google Scholar] [CrossRef]
- Banerjee, A.; Dhar, S.; Acharyya, S.; Datta, D.; Nayak, N. Determination of Johnson cook material and failure model constants and numerical modelling of Charpy impact test of armour steel. Mater. Sci. Eng. A 2015, 640, 200–209. [Google Scholar] [CrossRef]
- Deshpande, V.M.; Chakraborty, P.; Chakraborty, T.; Tiwari, V. Application of copper as a pulse shaper in SHPB tests on brittle materials-experimental study, constitutive parameters identification, and numerical simulations. Mech. Mater. 2022, 171, 104336. [Google Scholar] [CrossRef]
- Dodla, S.; Idnani KJ, K.; Katyal, A. Finite element machining simulations of aerospace materials. Mater. Today Proc. 2021, 46, 991–998. [Google Scholar] [CrossRef]
- Geng, P.; Qin, G.; Zhou, J.; Zou, Z. Hot deformation behavior and constitutive model of GH4169 superalloy for linear friction welding process. J. Manuf. Process. 2018, 32, 469–481. [Google Scholar] [CrossRef]
- Daoud, M.; Chatelain, J.F.; Bouzid, A. Effect of rake angle-based Johnson-Cook material constants on the prediction of residual stresses and temperatures induced in Al2024-T3 machining. Int. J. Mech. Sci. 2017, 122, 392–404. [Google Scholar] [CrossRef]
- Haghgoo, M.; Babaei, H.; Mostofi, T.M. 2D numerical study on the deflection of thin steel plate subjected to gaseous detonation wave interaction. Int. J. Hydrog. Energy 2021, 46, 36348–36368. [Google Scholar] [CrossRef]
- Chao, Z.L.; Jiang, L.T.; Chen, G.Q.; Zhang, Q.; Zhang, N.B.; Zhao, Q.Q.; Pang, B.; Wu, G.H. A modified Johnson-Cook model with damage degradation for B4Cp/Al composites. Compos. Struct. 2022, 282, 115029. [Google Scholar] [CrossRef]
- Li, H.Y.; Li, Y.H.; Wang, X.F.; Liu, J.J.; Wu, Y. A comparative study on modified Johnson Cook, modified Zerilli–Armstrong and Arrhenius-type constitutive models to predict the hot deformation behavior in 28CrMnMoV steel. Mater. Des. 2013, 49, 493–501. [Google Scholar] [CrossRef]
- Yu LI, U.; Ming, L.I.; Ren, X.W.; Xiao, Z.B.; Zhang, X.Y.; Huang, Y.C. Flow stress prediction of Hastelloy C-276 alloy using modified Zerilli−Armstrong, Johnson−Cook and Arrhenius-type constitutive models. Trans. Nonferrous Met. Soc. China 2020, 30, 3031–3042. [Google Scholar] [CrossRef]
- Zhao, H.; Qi, J.; Su, R.; Zhang, H.; Chen, H.; Bai, L.; Wang, C. Hot deformation behaviour of 40CrNi steel and evaluation of different processing map construction methods. J. Mater. Res. Technol. 2020, 9, 2856–2869. [Google Scholar] [CrossRef]
- Xu, L.; Chen, L.; Chen, G.; Wang, M. Hot deformation behavior and microstructure analysis of 25Cr3Mo3NiNb steel during hot compression tests. Vacuum 2018, 147, 8–17. [Google Scholar] [CrossRef]
- Meng, B.; Du, Z.; Li, C.; Wan, M. Constitutive behavior and microstructural evolution in hot deformed 2297 Al-Li alloy. Chin. J. Aeronaut. 2020, 33, 1338–1348. [Google Scholar] [CrossRef]
- Murugesan, M.; Jung, D.W. Two flow stress models for describing hot deformation behavior of AISI-1045 medium carbon steel at elevated temperatures. Heliyon 2019, 5, e01347. [Google Scholar] [CrossRef] [PubMed]
- Cai, Z.; Ji, H.; Pei, W.; Wang, B.; Huang, X.; Li, Y. Constitutive equation and model validation for 33Cr23Ni8Mn3N heat-resistant steel during hot compression. Results Phys. 2019, 15, 102633. [Google Scholar] [CrossRef]
- Safari, A.; Imran, M.; Weiss, S. A Comparative Study on Modified Johnson–Cook and Arrhenius-Type Constitutive Models to Predict the Hot Deformation Behaviour of Molybdenum-Hafnium-Carbide Alloy. J. Mater. Eng. Perform. 2021, 30, 1945–1956. [Google Scholar] [CrossRef]
- Perez, J.A.; Eguía, V.M.; Sobrino, J.C.; Martínez, A.M. Experimental results and constitutive model of the mechanical behavior of Ti6Al4V alloy at high temperature. Procedia Manuf. 2019, 41, 723–730. [Google Scholar] [CrossRef]
- Guoliang, X.; Xiaotong, Y.; Zhenfeng, G.; Wenli, X.; Lei, Z. The modified Johnson-Cook strain-stress constitutive model according to the deformation behaviors of a Ni-W-Co-C alloy. J. Mater. Res. Technol. 2022, 20, 1020–1027. [Google Scholar]
- Voce, E. The relationship between stress and strain for homogeneous deformation. J. Inst. Met. 1948, 74, 537–562. [Google Scholar]
- Shin, H.; Kim, J.B. Description capability of a simple phenomenological model for flow stress of copper in an extended strain rate regime. In Proceedings of the 4th International Conference Design Analysis Protective Structures, Jeju, Republic of Korea, 19–22 June 2012; pp. 19–22. [Google Scholar]
- Trimble, D.; O’Donnell, G.E. Flow stress prediction for hot deformation processing of 2024Al-T3 alloy. Trans. Nonferrous Met. Soc. China 2016, 26, 1232–1250. [Google Scholar] [CrossRef]
- Maheshwari, A.K. Prediction of flow stress for hot deformation processing. Comput. Mater. Sci. 2013, 69, 350–358. [Google Scholar] [CrossRef]
- Chen, G.; Ren, C.; Yu, W.; Yang, X.; Zhang, L. Application of genetic algorithms for optimizing the Johnson–Cook constitutive model parameters when simulating the titanium alloy Ti-6Al-4V machining process. Proc. Inst. Mech. Eng. Part B J. Eng. Manuf. 2012, 226, 1287–1297. [Google Scholar] [CrossRef]
- Shokry, A.; Ståhle, P. A methodology for using Kalman filter to determine material parameters from uncertain measurements. Mater. Discov. 2015, 2, 1–15. [Google Scholar] [CrossRef]
- Lurdos, O.; Montheillet, F.; Damamme, G. Empirical and physically based flow rules relevant to high speed processing of 304L steel. Int. J. Mater. Form. 2008, 1, 1431–1434. [Google Scholar] [CrossRef]
- Promoppatum, P.; Rollett, A.D. Influence of material constitutive models on thermomechanical behaviors in the laser powder bed fusion of Ti-6Al-4V. Addit. Manuf. 2021, 37, 101680. [Google Scholar] [CrossRef]
- Kugalur-Palanisamy, N.; Riviere-Lorphèvre, E.; Arrazola, P.J.; Ducobu, F. Comparison of Johnson-Cook and modified Johnson-Cook material constitutive models and their influence on finite element modelling of Ti6Al4V orthogonal cutting process. AIP Conf. Proc. 2019, 2113, 080009. [Google Scholar]
- Abd El-Aty, A.; Xu, Y.; Zhang, S.H.; Ha, S.; Ma, Y.; Chen, D. Impact of high strain rate deformation on the mechanical behavior, fracture mechanisms and anisotropic response of 2060 Al-Cu-Li alloy. J. Adv. Res. 2019, 18, 19–37. [Google Scholar] [CrossRef]
- de Moura, A.N.; Neto, C.A.R.; Castro, N.A.; Vieira, E.A.; Orlando, M.T.D.A. Microstructure, crystallographic texture and strain hardening behavior in hot tensile tests of UNS S32304 Lean Duplex stainless steel. J. Mater. Res. Technol. 2021, 12, 1065–1079. [Google Scholar] [CrossRef]
- Tang, L.; Jiang, F.; Teng, J.; Fu, D.; Zhang, H. Strain path dependent evolutions of microstructure and texture in AZ80 magnesium alloy during hot deformation. J. Alloys Compd. 2019, 806, 292–301. [Google Scholar] [CrossRef]
- Shi, H.; Zong, N.; Le, J.; Li, S.; Huang, G.; Li, J.; Mao, J.; Lu, W. Strain hardening versus softening: Anisotropic response of strain hardening-softening transition in a polycrystalline zirconium alloy at room temperature from dislocation viewpoint. Mater. Sci. Eng. A 2022, 847, 143344. [Google Scholar] [CrossRef]
- Nan, Y.; Ning, Y.; Liang, H.; Guo, H.; Yao, Z.; Fu, M.W. Work-hardening effect and strain-rate sensitivity behavior during hot deformation of Ti–5Al–5Mo–5V–1Cr–1Fe alloy. Mater. Des. 2015, 82, 84–90. [Google Scholar] [CrossRef]
- Ludwik, P. Elemente der Technologischen Mechanik; Springer: Berlin/Heidelberg, Germany, 1909. [Google Scholar]





















































| Strain Rate | Strain | ||||||||
|---|---|---|---|---|---|---|---|---|---|
| 0.1 | 0.15 | 0.2 | 0.25 | 0.3 | 0.35 | 0.4 | 0.45 | 0.5 | |
| 0.01 s−1 | 0.266 | 0.196 | 0.825 | 1.10 | 1.59 | 1.60 | 2.42 | 2.35 | 2.6 |
| 0.1 s−1 | 2.14 | 1.77 | 1.85 | 1.99 | 2.17 | 2.31 | 2.57 | 2.79 | 3.32 |
| 1 s−1 | −0.593 | −0.54 | −0.61 | −0.49 | −0.26 | −0.026 | 0.269 | 0.665 | 0.988 |
Disclaimer/Publisher’s Note: The statements, opinions and data contained in all publications are solely those of the individual author(s) and contributor(s) and not of MDPI and/or the editor(s). MDPI and/or the editor(s) disclaim responsibility for any injury to people or property resulting from any ideas, methods, instructions or products referred to in the content. |
© 2023 by the authors. Licensee MDPI, Basel, Switzerland. This article is an open access article distributed under the terms and conditions of the Creative Commons Attribution (CC BY) license (https://creativecommons.org/licenses/by/4.0/).
Share and Cite
Shokry, A.; Gowid, S.; Mulki, H.; Kharmanda, G. On the Prediction of the Flow Behavior of Metals and Alloys at a Wide Range of Temperatures and Strain Rates Using Johnson–Cook and Modified Johnson–Cook-Based Models: A Review. Materials 2023, 16, 1574. https://doi.org/10.3390/ma16041574
Shokry A, Gowid S, Mulki H, Kharmanda G. On the Prediction of the Flow Behavior of Metals and Alloys at a Wide Range of Temperatures and Strain Rates Using Johnson–Cook and Modified Johnson–Cook-Based Models: A Review. Materials. 2023; 16(4):1574. https://doi.org/10.3390/ma16041574
Chicago/Turabian StyleShokry, Abdallah, Samer Gowid, Hasan Mulki, and Ghais Kharmanda. 2023. "On the Prediction of the Flow Behavior of Metals and Alloys at a Wide Range of Temperatures and Strain Rates Using Johnson–Cook and Modified Johnson–Cook-Based Models: A Review" Materials 16, no. 4: 1574. https://doi.org/10.3390/ma16041574
APA StyleShokry, A., Gowid, S., Mulki, H., & Kharmanda, G. (2023). On the Prediction of the Flow Behavior of Metals and Alloys at a Wide Range of Temperatures and Strain Rates Using Johnson–Cook and Modified Johnson–Cook-Based Models: A Review. Materials, 16(4), 1574. https://doi.org/10.3390/ma16041574

