Experimental Analysis of Hot-Mix Asphalt (HMA) Mixtures with Reclaimed Asphalt Pavement (RAP) in Railway Sub-Ballast
Abstract
1. Introduction
- Reduced depletion of both natural fossils and elements resources;
- Reduced landfill disposal for construction and demolition waste;
- Reduced impacts for transporting asphalt to roadworks;
- Reduced costs to buy and transport natural aggregates and bitumen.
2. Materials and Methods
- Natural aggregate;
- RAP 0/8 mm, 8/20 mm;
- Filler;
- Bitumen with penetration grade 50/70. The bitumen content by mass of aggregate was set to 3.5–5% according to Rete Ferroviaria Italiana (RFI) specifications [59];
- The rejuvenating agent was added to the hot bitumen with a dosage of 2.3 g/kg (by weight of RAP).
3. Results and Discussion
3.1. Grading Characterization
3.2. Volumetric Characteristics
3.2.1. Theoretical Maximum Density of the Bituminous Mixtures
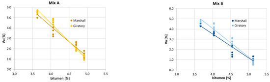
3.2.2. Compaction and Air Voids
3.3. Physical-Mechanical Properties
3.3.1. Marshall Stability
3.3.2. Indirect Tensile Strength
3.3.3. Stiffness Modulus
3.3.4. Fatigue Resistance
- ε0 affects the slope of the stiffness curves and then the fatigue resistance because the more the ε0 value, the more the slope (Figure 8);
- MD shows higher fatigue resistance than the other mixtures (Figure 9). Whatever Mi, the mixtures with higher RAP content show significant fatigue resistance for all values of ε0 (Table 3). Indeed, N for MA at ε0 equal to 100 με is 103,259, while N for MD at ε0 equal to 100 με is 145,677. The trend of MB and MC is consistent with the results of MA and MD. The causes could be linked to the effectiveness of the additive on old bitumen and on the compaction processes;
- For a given ε0, S’m increases with the RAP percentage (i.e., for ε0 equal to 250 με S’m is 1806 MPa for MA, 1947 MPa for MB, 2047 MPa for MC, and 2163 MPa for MD). From MA to MD, the percentage increase is 7.2% for ε0 equal to 300 με, 19.8% for ε0 equal to 250 με, 9.1% for ε0 equal to 150 με, 1.9% for ε0 equal to 100 με.
3.4. Analysis of the Production Costs
- Natural raw materials (i.e., aggregates and bitumen), secondary raw materials (i.e., RAP), and products (i.e., rejuvenating agent);
- Energy (i.e., fossil fuels and electricity);
- Overhead, contingencies, miscellaneous, profit, and value-added tax (i.e., indirect costs).
3.5. Assessment of the Environmental Impacts
4. Conclusions
- Physical and mechanical tests revealed how a higher RAP content increases Marshall stability (9.5 kN with 0% RAP vs. 16.6 kN with 30% RAP) and indirect tensile strength (0.91 MPa with 0% RAP vs. 1.65 MPa with 30% RAP).
- S’m increases with the RAP content (e.g., at 25 °C MA has S’m equal to 1744 MPa and MD has S’m equal to 1970 MPa).
- The fatigue tests with four initial strain values (i.e., 100 με, 150 με, 250 με, and 300 με) confirmed that the increase in stiffness modulus corresponds to an increase in terms of durability, and the tested mixtures are well-suited for railway sub-ballast (e.g., at initial strain equal to 150 με, N for MA is 31,786 and for MD is 57,061).
- The economic and environmental analyses of the mixtures with OBC demonstrated that those with the highest RAP content have the lowest unit price (42.92 €/Mg for MD instead of 49.96 €/Mg for MA) and the lowest burdens in terms of climate change, use of water, and resource-fossils (−6.8%, −12.9%, and −2.0%, respectively). The decreasing bitumen and natural aggregate content justifies these results, while the rejuvenating agent causes the increase in resource use-minerals and metals (+15.9%).
Author Contributions
Funding
Institutional Review Board Statement
Informed Consent Statement
Data Availability Statement
Conflicts of Interest
References
- Di Mascio, P.; Loprencipe, G.; Moretti, L. Competition in Rail Transport: Methodology to Evaluate Economic Impact of New Trains on Track. In Sustainability, Eco-Efficiency, and Conservation in Transportation Infrastructure Asset Management; Losa, M., Papagiannakis, T., Eds.; CRC Press: Boca Raton, FL, USA, 2014; pp. 669–675. ISBN 978-1-138-00147-3. [Google Scholar]
- de Melo, A.L.O.; Kaewunruen, S.; Papaelias, M.; Bernucci, L.L.B.; Motta, R. Methods to Monitor and Evaluate the Deterioration of Track and Its Components in a Railway In-Service: A Systemic Review. Front. Built Environ. 2020, 6, 118. [Google Scholar] [CrossRef]
- Shin, D.; Jin, J.; Kim, J. Enhancing Railway Maintenance Safety Using Open-Source Computer Vision. J. Adv. Transp. 2021, 2021, e5575557. [Google Scholar] [CrossRef]
- Farrington-Darby, T.; Pickup, L.; Wilson, J.R. Safety Culture in Railway Maintenance. Saf. Sci. 2005, 43, 39–60. [Google Scholar] [CrossRef]
- Hodas, S. Design of Railway Track for Speed and High-Speed Railways. Procedia Eng. 2014, 91, 256–261. [Google Scholar] [CrossRef]
- Giavarini, C.; Ravaioli, S. L’asfalto nelle applicazioni ferroviarie. Railway applications of asphalt mix. Rassegna del Bitume 2000, 35, 33–36. [Google Scholar]
- Castillo-Mingorance, J.M.; Sol-Sánchez, M.; Moreno-Navarro, F.; Pérez, V.; Rubio-Gámez, M.d.C. High Performance Bituminous Sub-Ballast for Improving the Structural Behaviour and Durability of Railway Track Substructure. Mater. Struct. 2021, 54, 113. [Google Scholar] [CrossRef]
- Koohmishi, M.; Azarhoosh, A. Assessment of Drainage and Filtration of Sub-Ballast Course Considering Effect of Aggregate Gradation and Subgrade Condition. Transp. Geotech. 2020, 24, 100378. [Google Scholar] [CrossRef]
- Liu, S.; Yang, J.; Chen, X.; Yang, G.; Cai, D. Application of Mastic Asphalt Waterproofing Layer in High-Speed Railway Track in Cold Regions. Appl. Sci. 2018, 8, 667. [Google Scholar] [CrossRef]
- Alves Costa, P.; Calçada, R.; Silva Cardoso, A. Ballast Mats for the Reduction of Railway Traffic Vibrations. Numerical Study. Soil Dyn. Earthq. Eng. 2012, 42, 137–150. [Google Scholar] [CrossRef]
- Di Mino, G.; Di Liberto, M.; Maggiore, C.; Noto, S. A Dynamic Model of Ballasted Rail Track with Bituminous Sub-Ballast Layer. Procedia-Soc. Behav. Sci. 2012, 53, 366–378. [Google Scholar] [CrossRef]
- D’Andrea, A.; Loprencipe, G.; Xhixha, E. Vibration Induced by Rail Traffic: Evaluation of Attenuation Properties in a Bituminous Sub-Ballast Layer. Procedia-Soc. Behav. Sci. 2012, 53, 245–255. [Google Scholar] [CrossRef]
- Loprencipe, G.; Moretti, L.; Pestillo, T.; Ferraro, R. Railway Freight Transport and Logistics: Methods for Relief, Algorithms for Verification and Proposals for the Adjustment of Tunnel Inner Surfaces. Sustainability 2018, 10, 3145. [Google Scholar] [CrossRef]
- Ferreira, T.M.; Teixeira, P.F.; Cardoso, R. Impact of Bituminous Subballast on Railroad Track Deformation Considering Atmospheric Actions. J. Geotech. Geoenvironmental Eng. 2011, 137, 288–292. [Google Scholar] [CrossRef]
- Shih, J.-Y.; Thompson, D.J.; Zervos, A. The Influence of Soil Nonlinear Properties on the Track/Ground Vibration Induced by Trains Running on Soft Ground. Transp. Geotech. 2017, 11, 1–16. [Google Scholar] [CrossRef]
- Liu, S.; Yang, J.; Chen, X.; Wang, M.; Zhou, W. Design of Asphalt Waterproofing Layer for High-Speed Railway Subgrade: A Case Study in Heilongjiang Province, China. In Proceedings of the Transportation Research Board 96th Annual Meeting, Washington, DC, USA, 8 January–12 January 2017. [Google Scholar]
- Jadidi, K.; Esmaeili, M.; Kalantari, M.; Khalili, M.; Karakouzian, M. A Review of Different Aspects of Applying Asphalt and Bituminous Mixes under a Railway Track. Materials 2020, 14, 169. [Google Scholar] [CrossRef] [PubMed]
- Atalan, M.; Prendergast, L.J.; Grizi, A.; Thom, N. A Review of Numerical Models for Slab-Asphalt Track Railways. Infrastructures 2022, 7, 59. [Google Scholar] [CrossRef]
- Fang, M.; Hu, T.; Rose, J.G. Geometric Composition, Structural Behavior and Material Design for Asphalt Trackbed: A Review. Constr. Build. Mater. 2020, 262, 120755. [Google Scholar] [CrossRef]
- Ramirez Cardona, D.; Benkahla, J.; Sofia, C.; Calon, N.; Alain, R.; Di Benedetto, H.; Sauzéat, C. High-Speed Ballasted Track Behaviour with Sub-Ballast Bituminous Layer. In Proceedings of the 2nd International Symposium on Railway Geotechnical Engineering, Georail, Marne la Vallée, France, 6–7 November 2014. [Google Scholar]
- Hassan, A.G. Investigation of using a bituminous sub-ballast layer to enhance the structural behavior of high-speed ballasted tracks. Geomate 2020, 19, 122–132. [Google Scholar] [CrossRef]
- Watson, I. High-Speed Railway. Encyclopedia 2021, 1, 665–688. [Google Scholar] [CrossRef]
- Teixeira, P.F.; López-Pita, A.; Casas, C.; Bachiller, A.; Robusté, F. Improvements in High-Speed Ballasted Track Design: Benefits of Bituminous Subballast Layers. Transp. Res. Rec. 2006, 1943, 43–49. [Google Scholar] [CrossRef]
- Setiawan, D.M. Sub-Grade Service Life and Construction Cost of Ballasted, Asphaltic Underlayment and Combination Rail Track Design. Jordan J. Civ. Eng. 2022, 16, 2022. [Google Scholar]
- Castro, G.; Pires, J.; Motta, R.; Bernucci, L.; Fortunato, E.; Futai, M. Evaluating Environmental Effects on the Structural Behavior of the Railroad Track Subgrade Considering Different Sub-Ballast Design Solutions. Transp. Geotech. 2022, 34, 100761. [Google Scholar] [CrossRef]
- Xiao, X.; Li, J.; Cai, D.; Lou, L.; Shi, Y.; Xiao, F. Low-Temperature Cracking Resistance of Asphalt Concretes for Railway Substructure Exposed to Repeated Freeze-Thaw Cycles. Cold Reg. Sci. Technol. 2023, 206, 103721. [Google Scholar] [CrossRef]
- Fang, M.; Wu, S.; Park, D.; Chen, H.; Xie, J. Simple Test Study on Anti-Freeze Additives Selection for Railway Asphalt Mixture (RAM) in Cold Region. Constr. Build. Mater. 2017, 154, 284–293. [Google Scholar] [CrossRef]
- Indraratna, B.; Qi, Y.; Malisetty, R.S.; Navaratnarajah, S.K.; Mehmood, F.; Tawk, M. Recycled Materials in Railroad Substructure: An Energy Perspective. Railw. Eng. Sci. 2022, 30, 304–322. [Google Scholar] [CrossRef]
- Bressi, S.; Santos, J.; Giunta, M.; Pistonesi, L.; Presti, D.L. A Comparative Life-Cycle Assessment of Asphalt Mixtures for Railway Sub-Ballast Containing Alternative Materials. Resour. Conserv. Recycl. 2018, 137, 76–88. [Google Scholar] [CrossRef]
- Buravchuk, N.A.; Guryanova, O.V. The Use of Technogenic Raw Materials for The Construction of the Subgrade of Railway Track. Innov. Expert Exam. 2019, 2, 195–207. [Google Scholar] [CrossRef]
- Martínez Soto, F.; Di Mino, G. Optimization of the Mix-Design System for the Sub-Ballast Railroad. J. Traffic Transp. Eng. 2017, 5, 246–259. [Google Scholar] [CrossRef]
- Di Mino, G.; Di Liberto, M.; Noto, S.; Soto, F.M.; Palermo, I. The Resistance to Fatigue of Dry Asphalt Rubber Concrete for Sub-Ballast Layer. In Proceedings of the Railway Engineering 2015, 13th International Conference & Exhibition, Edinburgh, UK, 30 June–1 July 2015. [Google Scholar]
- Yildirim, Y. Polymer Modified Asphalt Binders. Constr. Build. Mater. 2007, 21, 66–72. [Google Scholar] [CrossRef]
- Kim, H.-S.; Lee, S.-J.; Amirkhanian, S. Rheology Investigation of Crumb Rubber Modified Asphalt Binders. KSCE J. Civ. Eng. 2010, 14, 839–843. [Google Scholar] [CrossRef]
- Wang, J.C.; Zeng, X. Influence of Temperature and Pressure on the Dynamic Properties of Rubber-Modified Asphalt Concrete. J. Mater. Civ. Eng. 2006, 18, 125–131. [Google Scholar] [CrossRef]
- Malicki, K.; Górszczyk, J.; Dimitrovová, Z. Recycled Polyester Geosynthetic Influence on Improvement of Road and Railway Subgrade Bearing Capacity—Laboratory Investigations. Materials 2021, 14, 7264. [Google Scholar] [CrossRef]
- Pazzini, M.; Tarsi, G.; Tataranni, P.; Lantieri, C.; Dondi, G. Mechanical Characterization of Thin Asphalt Overlay Mixtures with 100% Recycled Aggregates. Materials 2022, 16, 188. [Google Scholar] [CrossRef] [PubMed]
- Ma, Y.; Zheng, K.; Ding, Y.; Polaczyk, P.; Jiang, X.; Huang, B. Binder Availability and Blending Efficiency of Reclaimed Asphalt: A State-of-the-Art Review. Constr. Build. Mater. 2022, 357, 129334. [Google Scholar] [CrossRef]
- Martinho, F.C.G.; Picado-Santos, L.G.; Capitão, S.D. Feasibility Assessment of the Use of Recycled Aggregates for Asphalt Mixtures. Sustainability 2018, 10, 1737. [Google Scholar] [CrossRef]
- Kucera, P.; Lidmila, M.; Jasansky, P.; Pycha, M.; Burrow, M.P.N.; Ghataora, G.S. The Feasibility of Using Asphalt Concrete with a High Percentage of Recycled Asphalt Material in a Railway Trackbed Layer. Transp. Geotech. 2021, 26, 100429. [Google Scholar] [CrossRef]
- Wang, L.; Yang, X. Analysis of Optimal RAP Content Based on Discrete Element Method. Adv. Mater. Sci. Eng. 2022, 2022, e2878848. [Google Scholar] [CrossRef]
- Anthonissen, J.; Van den Bergh, W.; Braet, J. Review and Environmental Impact Assessment of Green Technologies for Base Courses in Bituminous Pavements. Environ. Impact Assess. Rev. 2016, 60, 139–147. [Google Scholar] [CrossRef]
- Sharma, A.; Rongmei Naga, G.R.; Kumar, P.; Rai, P. Mix Design, Development, Production and Policies of Recycled Hot Mix Asphalt: A Review. J. Traffic Transp. Eng. (Engl. Ed.) 2022, 9, 765–794. [Google Scholar] [CrossRef]
- Azadgoleh, M.A.; Mohammadi, M.M.; Ghodrati, A.; Sharifi, S.S.; Palizban, S.M.M.; Ahmadi, A.; Vahidi, E.; Ayar, P. Characterization of Contaminant Leaching from Asphalt Pavements: A Critical Review of Measurement Methods, Reclaimed Asphalt Pavement, Porous Asphalt, and Waste-Modified Asphalt Mixtures. Water Res. 2022, 219, 118584. [Google Scholar] [CrossRef]
- Zhang, K.; Huchet, F.; Hobbs, A. A Review of Thermal Processes in the Production and Their Influences on Performance of Asphalt Mixtures with Reclaimed Asphalt Pavement (RAP). Constr. Build. Mater. 2019, 206, 609–619. [Google Scholar] [CrossRef]
- Baghaee Moghaddam, T.; Baaj, H. The Use of Rejuvenating Agents in Production of Recycled Hot Mix Asphalt: A Systematic Review. Constr. Build. Mater. 2016, 114, 805–816. [Google Scholar] [CrossRef]
- Behnood, A. Application of Rejuvenators to Improve the Rheological and Mechanical Properties of Asphalt Binders and Mixtures: A Review. J. Clean. Prod. 2019, 231, 171–182. [Google Scholar] [CrossRef]
- Ma, X.; Leng, Z.; Wang, L.; Zhou, P. Effect of Reclaimed Asphalt Pavement Heating Temperature on the Compactability of Recycled Hot Mix Asphalt. Materials 2020, 13, 3621. [Google Scholar] [CrossRef]
- Slabonski, P.; Stankiewicz, B.; Beben, D. Influence of a Rejuvenator on Homogenization of an Asphalt Mixture with Increased Content of Reclaimed Asphalt Pavement in Lowered Technological Temperatures. Materials 2021, 14, 2567. [Google Scholar] [CrossRef]
- Meng, Y.; Liu, L. Impact of Preheating Temperatures and RAP Characteristics on the Activation of RAP Binder. Appl. Sci. 2020, 10, 8378. [Google Scholar] [CrossRef]
- Al-Qadi, I.L.; Elseifi, M.; Carpenter, S.H. Reclaimed Asphalt Pavement—A Literature Review; FHWA-ICT-07-001; Illinois Center for Transportati: Rantoul, IL, USA, 2007. [Google Scholar]
- Zaumanis, M.; Mallick, R.B.; Frank, R. 100% Recycled Hot Mix Asphalt: A Review and Analysis. Resour. Conserv. Recycl. 2014, 92, 230–245. [Google Scholar] [CrossRef]
- Shu, X.; Huang, B.; Vukosavljevic, D. Laboratory Evaluation of Fatigue Characteristics of Recycled Asphalt Mixture. Constr. Build. Mater. 2008, 22, 1323–1330. [Google Scholar] [CrossRef]
- Shu, X.; Huang, B.; Shrum, E.D.; Jia, X. Laboratory Evaluation of Moisture Susceptibility of Foamed Warm Mix Asphalt Containing High Percentages of RAP. Constr. Build. Mater. 2012, 35, 125–130. [Google Scholar] [CrossRef]
- Zhu, J.; Ma, T.; Fan, J.; Fang, Z.; Chen, T.; Zhou, Y. Experimental Study of High Modulus Asphalt Mixture Containing Reclaimed Asphalt Pavement. J. Clean. Prod. 2020, 263, 121447. [Google Scholar] [CrossRef]
- Valdés, G.; Pérez-Jiménez, F.; Miró, R.; Martínez, A.; Botella, R. Experimental Study of Recycled Asphalt Mixtures with High Percentages of Reclaimed Asphalt Pavement (RAP). Constr. Build. Mater. 2011, 25, 1289–1297. [Google Scholar] [CrossRef]
- Bernier, A.; Zofka, A.; Yut, I. Laboratory Evaluation of Rutting Susceptibility of Polymer-Modified Asphalt Mixtures Containing Recycled Pavements. Constr. Build. Mater. 2012, 31, 58–66. [Google Scholar] [CrossRef]
- UNI EN 13108-1: 2016-07; Bituminous Mixtures-Material Specifications-Part 1: Asphalt Concrete. UNI: Milan, Italy, 2016.
- Capitolato Generale Tecnico Di Appalto Delle Opere Civili Parte II-Sezione 13-Sub-Ballast e Pavimentazioni Stradali; Rete Ferroviaria Italiana (RFI): Rome, Italy, 2020.
- UNI EN 12697-34:2020; Bituminous mixtures-Test Methods-Part 34: Marshall Test. UNI: Milan, Italy, 2020.
- UNI EN 12697-31:2019; Bituminous mixtures-Test Methods-Part 31: Specimen Preparation by Gyratory Compactor. UNI: Milan, Italy, 2019.
- UNI EN 12697-5:2019; Bituminous mixtures-Test Methods-Part 5: Determination of the Maximum Density. UNI: Milan, Italy, 2019.
- UNI EN 12697-6:2020; Bituminous Mixtures-Test Methods for Hot Mix Asphalt-Part 6: Determination of Bulk Density of Bituminous Specimens. UNI: Milan, Italy, 2020.
- UNI EN 12697-8-1:2019; Bituminous Mixtures-Test Methods-Part 8: Determination of Void Characteristics of Bituminous Specimens. UNI: Milan, Italy, 2019.
- UNI EN 12697-23:2018; Bituminous Mixtures-Test Methods-Part 23: Determination of the Indirect Tensile Strength of Bituminous Specimens. UNI: Milan, Italy, 2018.
- UNI EN 12697-26:2018; Bituminous Mixtures-Test Methods-Part 26: Stiffness. UNI: Milan, Italy, 2018.
- UNI EN 12697-24:2018; Bituminous Mixtures-Test Methods-Part 24: Resistance to Fatigue. UNI: Milan, Italy, 2018.
- Van Dijk, W. Practical Fatigue Characterization of Bituminous Mixes; Shell International Petroleum Company Limited: London, UK, 1975. [Google Scholar]
- Prezzi, L. Nuove Costruzioni Manutenzione Programmata 2022.
- UNI EN 15804:2021; UNI Ente Italiano Di Normazione. UNI: Milan, Italy, 2021. Available online: https://store.uni.com/uni-en-15804-2021 (accessed on 28 November 2022).
- SimaPro | LCA Software for Informed-Change Makers. Available online: https://simapro.com/ (accessed on 20 December 2022).
- Trunzo, G.; Moretti, L.; D’Andrea, A. Life Cycle Analysis of Road Construction and Use. Sustainability 2019, 11, 377. [Google Scholar] [CrossRef]
- Anthonissen, J.; Braet, J.; Bergh, W.V. den Life Cycle Assessment of Bituminous Pavements Produced at Various Temperatures in the Belgium Context. Transp. Res. Part D Transp. Environ. 2015, 41, 306–317. [Google Scholar] [CrossRef]
- Al-Ghurabi, S.B.; Al-Humeidawi, B.H. Comparative Evaluation for the Effect of Particles Size of Reclaimed Asphalt Pavement (RAP) on the Properties of HMA. J. Phys. Conf. Ser. 2021, 1895, 012025. [Google Scholar] [CrossRef]
- Zhang, C.; Ren, Q.; Qian, Z.; Wang, X. Evaluating the Effects of High RAP Content and Rejuvenating Agents on Fatigue Performance of Fine Aggregate Matrix through DMA Flexural Bending Test. Materials 2019, 12, 1508. [Google Scholar] [CrossRef]
- Moretti, L. How Road Cross-Sections Affect the Environmental Impacts from Cradle to Grave. Clean. Environ. Syst. 2022, 6, 100088. [Google Scholar] [CrossRef]













| ID Aggregate | Natural Aggregates [%] | RAP 0/8 [%] | RAP 8/20 [%] |
|---|---|---|---|
| A | 100 | 0 | 0 |
| B | 90 | 10 | 0 |
| C | 80 | 10 | 10 |
| D | 70 | 15 | 15 |
| Mi | S’m [MPa] 5 °C | S’m [MPa] 25 °C |
|---|---|---|
| MA | 2651 | 1744 |
| MB | 2740 | 1751 |
| MC | 2985 | 1857 |
| MD | 3096 | 1970 |
| Mi | ε0 [με] | S’m (ε0) [MPa] | N (-) |
|---|---|---|---|
| MA | 100 | 2084 | 103,259 |
| 150 | 2006 | 31,786 | |
| 250 | 1806 | 6021 | |
| 300 | 1819 | 3090 | |
| MB | 100 | 2079 | 115,013 |
| 150 | 2053 | 38,569 | |
| 250 | 1947 | 8007 | |
| 300 | 1667 | 3824 | |
| MC | 100 | 2091 | 130,071 |
| 150 | 2075 | 48,499 | |
| 250 | 2047 | 10,507 | |
| 300 | 1948 | 4879 | |
| MD | 100 | 2124 | 145,677 |
| 150 | 2188 | 57,061 | |
| 250 | 2163 | 14,527 | |
| 300 | 1950 | 6508 |
| Mi | Raw Materials €/Mg | Energy €/Mg | Indirect Costs €/Mg | Total €/Mg |
|---|---|---|---|---|
| MA | 22.68 | 13.18 | 14.10 | 49.96 |
| MB | 19.97 | 13.18 | 14.10 | 47.25 |
| MC | 17.96 | 13.18 | 14.10 | 45.24 |
| MD | 15.64 | 13.18 | 14.10 | 42.92 |
Disclaimer/Publisher’s Note: The statements, opinions and data contained in all publications are solely those of the individual author(s) and contributor(s) and not of MDPI and/or the editor(s). MDPI and/or the editor(s) disclaim responsibility for any injury to people or property resulting from any ideas, methods, instructions or products referred to in the content. |
© 2023 by the authors. Licensee MDPI, Basel, Switzerland. This article is an open access article distributed under the terms and conditions of the Creative Commons Attribution (CC BY) license (https://creativecommons.org/licenses/by/4.0/).
Share and Cite
Fiore, N.; Bruno, S.; Del Serrone, G.; Iacobini, F.; Giorgi, G.; Rinaldi, A.; Moretti, L.; Duranti, G.M.; Peluso, P.; Vita, L.; et al. Experimental Analysis of Hot-Mix Asphalt (HMA) Mixtures with Reclaimed Asphalt Pavement (RAP) in Railway Sub-Ballast. Materials 2023, 16, 1335. https://doi.org/10.3390/ma16041335
Fiore N, Bruno S, Del Serrone G, Iacobini F, Giorgi G, Rinaldi A, Moretti L, Duranti GM, Peluso P, Vita L, et al. Experimental Analysis of Hot-Mix Asphalt (HMA) Mixtures with Reclaimed Asphalt Pavement (RAP) in Railway Sub-Ballast. Materials. 2023; 16(4):1335. https://doi.org/10.3390/ma16041335
Chicago/Turabian StyleFiore, Nicola, Salvatore Bruno, Giulia Del Serrone, Franco Iacobini, Gabriella Giorgi, Alessandro Rinaldi, Laura Moretti, Gian Marco Duranti, Paolo Peluso, Lorenzo Vita, and et al. 2023. "Experimental Analysis of Hot-Mix Asphalt (HMA) Mixtures with Reclaimed Asphalt Pavement (RAP) in Railway Sub-Ballast" Materials 16, no. 4: 1335. https://doi.org/10.3390/ma16041335
APA StyleFiore, N., Bruno, S., Del Serrone, G., Iacobini, F., Giorgi, G., Rinaldi, A., Moretti, L., Duranti, G. M., Peluso, P., Vita, L., & D’Andrea, A. (2023). Experimental Analysis of Hot-Mix Asphalt (HMA) Mixtures with Reclaimed Asphalt Pavement (RAP) in Railway Sub-Ballast. Materials, 16(4), 1335. https://doi.org/10.3390/ma16041335

