Investigating the Impact of Fly Ash on the Strength and Micro-Structure of Concrete during Steam Curing and Subsequent Stages
Abstract
:1. Introduction
2. Materials and Methods
2.1. Materials
2.2. Concrete Mixing and Specimen Preparation
2.3. Curing Regimes
2.4. Methods
2.4.1. Compressive Strength
2.4.2. Scanning Electron Microscopy
2.4.3. X-ray Diffraction
2.4.4. Pore Structure
3. Results and Discussion
3.1. Compressive Strength
3.2. Microstructure
3.3. XRD Analyses
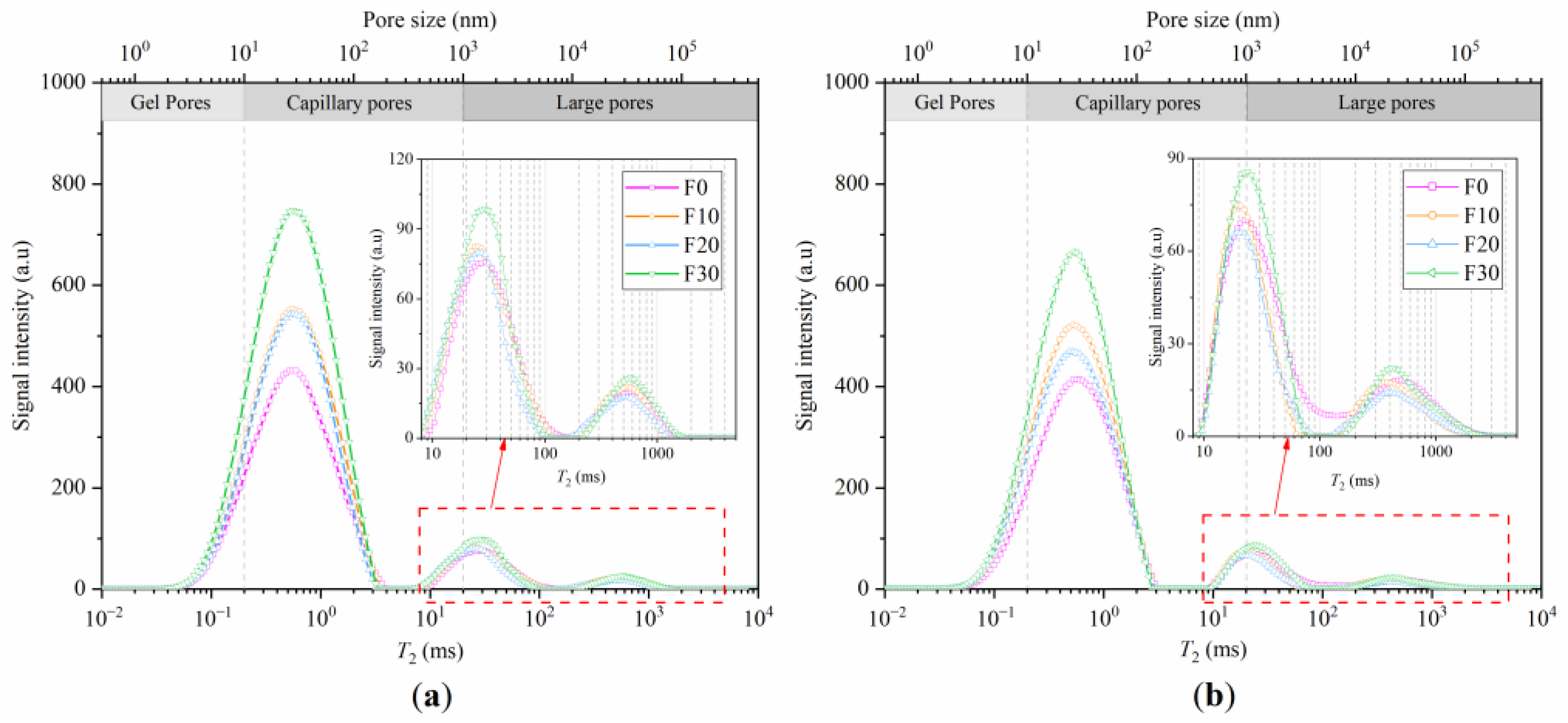
3.4. T2 spectra
4. Conclusions
- (1)
- The steam curing time required to reach the demoulding and prestress tensioning strengths of F30 was 100% and 50% longer than that of F0, respectively. This phenomenon was caused by the dilution effect of FA.
- (2)
- The intensity of the diffraction peak of CH in FA concrete decreased after 24 h of constant temperature under steam curing. FA particles were dissolved and the smooth spherical surface changed to a fibrous network, which proved that the pozzolanic reaction of FA occurred, indicating that steaming could remarkably advance the pozzolanic reaction time of FA.
- (3)
- Appropriate amounts of FA need to be added in the steam-cured manufactured sand concrete. The reason was that the filling effect and pozzolanic reaction of FA would result in lower large pore content, increased microstructural compactness and higher strength of the gel system, which in turn reduced the adverse effect of steam curing on the microstructure, and therefore had a beneficial effect on the long-term strength. The amount of FA admixture in steam-cured manufactured sand concrete was suitable to be controlled at 20%.
Author Contributions
Funding
Institutional Review Board Statement
Informed Consent Statement
Data Availability Statement
Conflicts of Interest
References
- Liu, Y.; Xie, S.; Zhou, J.; Li, J. Some factors affecting early compressive strength of steam-curing concrete with ultrafine fly ash. Cem. Concr. Res. 2001, 31, 1455–1458. [Google Scholar] [CrossRef]
- Shi, J.; Liu, B.; Zhou, F.; Shen, S.; Dai, J.; Ji, R.; Tan, J. Heat damage of concrete surfaces under steam curing and improvement measures. Constr. Build. Mater. 2020, 252, 119104. [Google Scholar] [CrossRef]
- Gonzalez-Corominas, A.; Etxeberria, M.; Poon, C.S. Influence of steam curing on the pore structures and mechanical properties of fly-ash high performance concrete prepared with recycled aggregates. Cem. Concr. Compos. 2016, 71, 77–84. [Google Scholar] [CrossRef]
- Ramezanianpour, A.A.; Khazali, M.H.; Vosoughi, P. Effect of steam curing cycles on strength and durability of SCC: A case study in precast concrete. Constr. Build. Mater. 2013, 49, 807–813. [Google Scholar] [CrossRef]
- Türkel, S.; Alabas, V. The effect of excessive steam curing on Portland composite cement concrete. Cem. Concr. Res. 2005, 35, 405–411. [Google Scholar] [CrossRef]
- Shi, J.; Liu, B.; Zhou, F.; Shen, S.; Guo, A.; Xie, Y. Effect of steam curing regimes on temperature and humidity gradient, permeability and microstructure of concrete. Constr. Build. Mater. 2021, 281, 122562. [Google Scholar] [CrossRef]
- Ba, M.; Qian, C.; Guo, X.; Han, X. Effects of steam curing on strength and porous structure of concrete with low water/binder ratio. Constr. Build. Mater. 2011, 25, 123–128. [Google Scholar] [CrossRef]
- Taylor, H.F.W.; Famy, C.; Scrivener, K.L. Delayed ettringite formation. Cem. Concr. Res. 2001, 31, 683–693. [Google Scholar] [CrossRef]
- Glasser, F.; Damidot, D.; Atkins, M. Phase development in cement in relation to the secondary ettringite problem. Adv. Cem. Res. 1995, 7, 57–68. [Google Scholar] [CrossRef]
- Yan, P.; Qin, X. The effect of expansive agent and possibility of delayed ettringite formation in shrinkage-compensating massive concrete. Cem. Concr. Res. 2001, 31, 335–337. [Google Scholar] [CrossRef]
- Shi, J.; Liu, B.; Wu, X.; Qin, J.; Jiang, J.; He, Z. Evolution of mechanical properties and permeability of concrete during steam curing process. J. Build. Eng. 2020, 32, 101796. [Google Scholar] [CrossRef]
- GB/T 37439-2019; Precast Post-Tensioned Prestressed Concrete Simply-Supported Beam of High-Speed Railway. Chinese Standard Press: Beijing, China, 2019. (In Chinese)
- Gallucci, E.; Zhang, X.; Scrivener, K.L. Effect of temperature on the microstructure of calcium silicate hydrate (C-S-H). Cem. Concr. Res. 2013, 53, 185–195. [Google Scholar] [CrossRef]
- Lothenbach, B.; Winnefeld, F.; Alder, C.; Wieland, E.; Lunk, P. Effect of temperature on the pore solution, microstructure and hydration products of Portland cement pastes. Cem. Concr. Res. 2007, 37, 483–491. [Google Scholar] [CrossRef]
- Zou, C.; Long, G.; Xie, Y.; He, J.; Ma, C.; Zeng, X. Evolution of multi-scale pore structure of concrete during steam-curing process. Micropor. Mesopor. Mat. 2019, 288, 109566. [Google Scholar] [CrossRef]
- Cao, Y.; Detwiler, R.J. Backscattered electron imaging of cement pastes cured at elevated temperatures. Cem. Concr. Res. 1995, 25, 627–638. [Google Scholar] [CrossRef]
- Shi, J.; Liu, B.; Shen, S.; Tan, J.; Dai, J.; Ji, R. Effect of curing regime on long-term mechanical strength and transport properties of steam-cured concrete. Constr. Build. Mater. 2020, 255, 119407. [Google Scholar] [CrossRef]
- Khatib, J.; Jahami, A.; Kordi, A.; Sonebi, M.; Malek, Z.; Elchamaa, R.; Dakkour, S. Effect of municipal solid waste incineration bottom ash (MSWI-BA) on the structural performance of reinforced concrete (RC) beams. J. Eng. Des. Technol. 2021. [Google Scholar] [CrossRef]
- Hemalatha, T.; Ramaswamy, A. A review on fly ash characteristics—Towards promoting high volume utilization in developing sustainable concrete. J. Clean. Prod. 2017, 147, 546–559. [Google Scholar] [CrossRef]
- Li, Z.; Xu, G.; Shi, X. Reactivity of coal fly ash used in cementitious binder systems: A state-of-the-art overview. Fuel 2021, 301, 121031. [Google Scholar] [CrossRef]
- Liu, C.; Zhang, M. Effect of curing temperature on hydration, microstructure and ionic diffusivity of fly ash blended cement paste: A modelling study. Constr. Build. Mater. 2021, 297, 123834. [Google Scholar] [CrossRef]
- Kim, J.H.; Noemi, N.; Shah, S.P. Effect of powder materials on the rheology and formwork pressure of self-consolidating concrete. Cem. Concr. Compos. 2012, 34, 746–753. [Google Scholar] [CrossRef]
- Chindaprasirt, P.; Homwuttiwong, S.; Sirivivatnanon, V. Influence of fly ash fineness on strength, drying shrinkage and sulfate resistance of blended cement mortar. Cem. Concr. Res. 2004, 34, 1087–1092. [Google Scholar] [CrossRef]
- Kwan, A.K.H.; Chen, J.J. Adding fly ash microsphere to improve packing density, flowability and strength of cement paste. Powder. Technol. 2013, 234, 19–25. [Google Scholar] [CrossRef]
- He, J.; Long, G.; Ma, K.; Xie, Y. Influence of fly ash or slag on nucleation and growth of early hydration of cement. Thermochim. Acta. 2021, 701, 178964. [Google Scholar] [CrossRef]
- Park, B.; Choi, Y.C. Hydration and pore-structure characteristics of high-volume fly ash cement pastes. Constr. Build. Mater. 2021, 278, 122390. [Google Scholar] [CrossRef]
- Chindaprasirt, P.; Jaturapitakkul, C.; Sinsiri, T. Effect of fly ash fineness on compressive strength and pore size of blended cement paste. Cem. Concr. Compos. 2005, 27, 425–428. [Google Scholar] [CrossRef]
- Cao, C.; Sun, W.; Qin, H. The analysis on strength and fly ash effect of roller-compacted concrete with high volume fly ash. Cem. Concr. Res. 2000, 30, 71–75. [Google Scholar] [CrossRef]
- Mei, J.; Tan, H.; Li, H.; Ma, B.; Liu, X.; Jiang, W.; Zhang, T.; Li, X. Effect of sodium sulfate and nano-SiO2 on hydration and microstructure of cementitious materials containing high volume fly ash under steam curing. Constr. Build. Mater. 2018, 163, 812–825. [Google Scholar] [CrossRef]
- Liu, M.; Tan, H.; He, X. Effects of nano-SiO2 on early strength and microstructure of steam-cured high volume fly ash cement system. Constr. Build. Mater. 2019, 194, 350–359. [Google Scholar] [CrossRef]
- Alghazali, H.H.; Aljazaeri, Z.R.; Myers, J.J. Effect of accelerated curing regimes on high volume Fly ash mixtures in precast manufacturing plants. Cem. Concr. Res. 2020, 131, 105913. [Google Scholar] [CrossRef]
- Liu, B.; Xie, Y.; Li, J. Influence of steam curing on the compressive strength of concrete containing supplementary cementing materials. Cem. Concr. Res. 2005, 35, 994–998. [Google Scholar] [CrossRef]
- Hanehara, S.; Tomosawa, F.; Kobayakawa, M.; Hwang, K. Effects of water/powder ratio, mixing ratio of fly ash, and curing temperature on pozzolanic reaction of fly ash in cement paste. Cem. Concr. Res. 2001, 31, 31–39. [Google Scholar] [CrossRef]
- Yang, J.; Hu, H.; He, X.; Su, Y.; Wang, Y.; Tan, H.; Pan, H. Effect of steam curing on compressive strength and microstructure of high volume ultrafine fly ash cement mortar. Constr. Build. Mater. 2021, 266, 120894. [Google Scholar] [CrossRef]
- Yazıcı, H.; Aydın, S.; Yiğiter, H.; Baradan, B. Effect of steam curing on class C high-volume fly ash concrete mixtures. Cem. Concr. Res. 2005, 35, 1122–1127. [Google Scholar] [CrossRef]
- Jiang, P.; Jiang, L.; Zha, J.; Song, Z. Influence of temperature history on chloride diffusion in high volume fly ash concrete. Constr. Build. Mater. 2017, 144, 677–685. [Google Scholar] [CrossRef]
- Zhang, G.; Wei, Q.; Ding, Q.; Wang, A.; Liu, K. Effect of curing temperature and fly ash content on the hydration and microstructure of fly ash–cement pastes. J. Sustain. Cem-Based 2018, 7, 372–383. [Google Scholar] [CrossRef]
- Chindaprasirt, P.; Chotithanorm, C.; Cao, H.T.; Sirivivatnanon, V. Influence of fly ash fineness on the chloride penetration of concrete. Constr. Build. Mater. 2007, 21, 356–361. [Google Scholar] [CrossRef]
- GB 175-2007; Common Portland Cement. Chinese Standard Press: Beijing, China, 2007. (In Chinese)
- GB/T 14684-2011; Sand for Construction. Chinese Standard Press: Beijing, China, 2011. (In Chinese)
- Duan, Y.; Wang, Q.; Yang, Z.; Cui, X.; Liu, F.; Chen, H. Research on the effect of steam curing temperature and duration on the strength of manufactured sand concrete and strength estimation model considering thermal damage. Constr. Build. Mater. 2022, 315, 125531. [Google Scholar] [CrossRef]
- GB/T 50081-2019; Standard for Test Methods of Concrete Physical and Mechanical Properties. Chinese Standard Press: Beijing, China, 2019. (In Chinese)
- Liu, K.; Wang, S.; Quan, X.; Duan, W.; Nan, Z.; Wei, T.; Xu, F.; Li, B. Study on the mechanical properties and microstructure of fiber reinforced metakaolin-based recycled aggregate concrete. Constr. Build. Mater. 2021, 294, 123554. [Google Scholar] [CrossRef]
- Rifai, H.; Staude, A.; Meinel, D.; Illerhaus, B.; Bruno, G. In-situ pore size investigations of loaded porous concrete with nondestructive methods. Cem. Concr. Res. 2018, 111, 72–80. [Google Scholar] [CrossRef]
- Stelzner, L.; Powierza, B.; Oesch, T.; Dlugosch, R.; Weise, F. Thermally-induced moisture transport in high-performance concrete studied by X-ray-CT and 1H-NMR. Constr. Build. Mater. 2019, 224, 600–609. [Google Scholar] [CrossRef]
- Edelmann, M.; Zibold, T.; Grunewald, J. Generalised NMR-moisture correlation function of building materials based on a capillary bundle model. Cem. Concr. Res. 2019, 119, 126–131. [Google Scholar] [CrossRef]
- Valori, A.; McDonald, P.J.; Scrivener, K.L. The morphology of C-S-H: Lessons from 1H nuclear magnetic resonance relaxometry. Cem. Concr. Res. 2013, 49, 65–81. [Google Scholar] [CrossRef]
- Shen, Y.; Wang, Y.; Wei, X.; Jia, H.; Yan, R. Investigation on meso-debonding process of the sandstone–concrete interface induced by freeze–thaw cycles using NMR technology. Constr. Build. Mater. 2020, 252, 118962. [Google Scholar] [CrossRef]
- Gao, F.; Tian, W.; Cheng, X. Investigation of moisture migration of MWCNTs concrete after different heating-cooling process by LF-NMR. Constr. Build. Mater. 2021, 288, 123146. [Google Scholar] [CrossRef]
- Papadakis, V.G. Effect of fly ash on Portland cement systems: Part I. Low-calcium fly ash. Cem. Concr. Res. 1999, 29, 1727–1736. [Google Scholar] [CrossRef]
- Zhang, Y.M.; Sun, W.; Yan, H.D. Hydration of high-volume fly ash cement pastes. Cem. Concr. Compos. 2000, 22, 445–452. [Google Scholar] [CrossRef]
- Durdziński, P.T.; Dunant, C.F.; Haha, M.B.; Scrivener, K.L. A new quantification method based on SEM-EDS to assess fly ash composition and study the reaction of its individual components in hydrating cement paste. Cem. Concr. Res. 2015, 73, 111–122. [Google Scholar] [CrossRef]
- Sakai, E.; Miyahara, S.; Ohsawa, S.; Lee, S.-H.; Daimon, M. Hydration of fly ash cement. Cem. Concr. Res. 2005, 35, 1135–1140. [Google Scholar] [CrossRef]
- Baert, G.; Hoste, S.; De Schutter, G.; De Belie, N. Reactivity of fly ash in cement paste studied by means of thermogravimetry and isothermal calorimetry. J. Therm. Anal. Calorim. 2008, 94, 485–492. [Google Scholar] [CrossRef]
- Long, Z.; Zhang, R.; Wang, Q.; Xie, C.; Zhang, J.; Duan, Y. Mechanism analysis of strength evolution of concrete structure in saline soil area based on 15-year service. Constr. Build. Mater. 2022, 332, 127281. [Google Scholar] [CrossRef]
- Zhao, H.; Qin, X.; Liu, J.; Zhou, L.; Tian, Q.; Wang, P. Pore structure characterization of early-age cement pastes blended with high-volume fly ash. Constr. Build. Mater. 2018, 189, 934–946. [Google Scholar] [CrossRef]














| Chemical Compositions (% by Mass) | SiO2 | CaO | Al2O3 | FexOy | K2O | MgO | Na2O | SO3 | TiO2 | Loss of Ignition |
|---|---|---|---|---|---|---|---|---|---|---|
| PC | 22.06 | 61.56 | 4.45 | 3.46 | 0.68 | 2.54 | 0.31 | 2.67 | 0.37 | 1.88 |
| FA | 54.92 | 5.91 | 30.76 | 3.07 | 1.14 | 0.88 | 0.51 | 0.08 | - | 2.56 |
| No. | Mix Proportion (kg/m3) | |||||
|---|---|---|---|---|---|---|
| Water | Cement | Fly Ash | Crushed Stone | Manufactured Sand | Superplasticizer | |
| F0 | 157 | 490 | 0 | 1148 | 704 | 5.3 |
| F10 | 157 | 441 | 49 | 1148 | 704 | 5.3 |
| F20 | 157 | 392 | 98 | 1148 | 704 | 5.3 |
| F30 | 157 | 343 | 147 | 1148 | 704 | 5.3 |
Disclaimer/Publisher’s Note: The statements, opinions and data contained in all publications are solely those of the individual author(s) and contributor(s) and not of MDPI and/or the editor(s). MDPI and/or the editor(s) disclaim responsibility for any injury to people or property resulting from any ideas, methods, instructions or products referred to in the content. |
© 2023 by the authors. Licensee MDPI, Basel, Switzerland. This article is an open access article distributed under the terms and conditions of the Creative Commons Attribution (CC BY) license (https://creativecommons.org/licenses/by/4.0/).
Share and Cite
Duan, Y.; Wang, Q.; Long, Z.; Wang, X. Investigating the Impact of Fly Ash on the Strength and Micro-Structure of Concrete during Steam Curing and Subsequent Stages. Materials 2023, 16, 1326. https://doi.org/10.3390/ma16041326
Duan Y, Wang Q, Long Z, Wang X. Investigating the Impact of Fly Ash on the Strength and Micro-Structure of Concrete during Steam Curing and Subsequent Stages. Materials. 2023; 16(4):1326. https://doi.org/10.3390/ma16041326
Chicago/Turabian StyleDuan, Yun, Qicai Wang, Zhaofei Long, and Xiaoping Wang. 2023. "Investigating the Impact of Fly Ash on the Strength and Micro-Structure of Concrete during Steam Curing and Subsequent Stages" Materials 16, no. 4: 1326. https://doi.org/10.3390/ma16041326
APA StyleDuan, Y., Wang, Q., Long, Z., & Wang, X. (2023). Investigating the Impact of Fly Ash on the Strength and Micro-Structure of Concrete during Steam Curing and Subsequent Stages. Materials, 16(4), 1326. https://doi.org/10.3390/ma16041326
