A New Laser-Combined H-Type Device Method for Comprehensive Thermoelectrical Properties Characterization of Two-Dimensional Materials
Abstract
:1. Introduction
2. Experimental Methods
2.1. Device Design and Fabrication
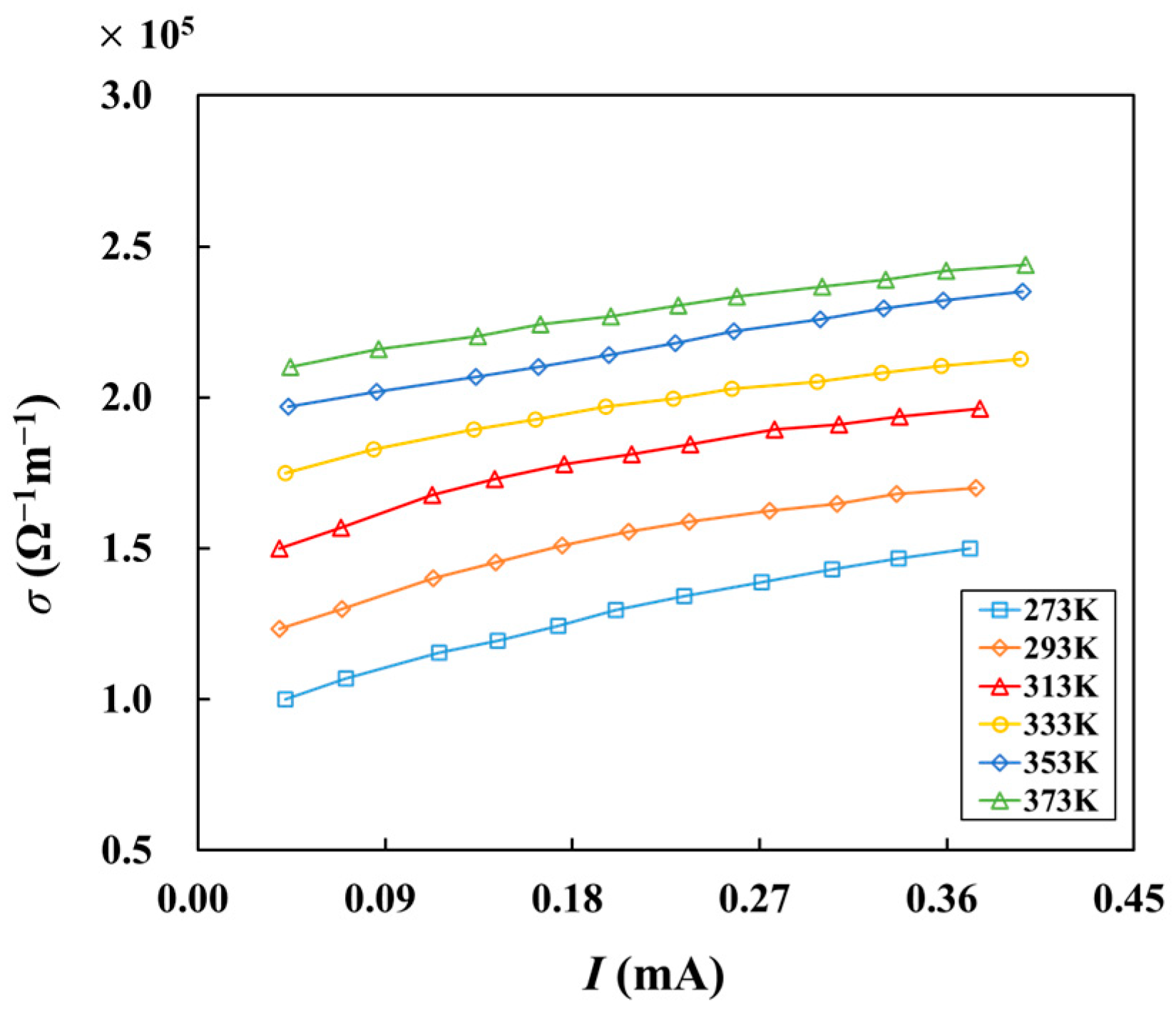
2.2. Electrical Conductivity Measurement
2.3. Thermal Conductivity Measurement
2.4. Seebeck Coefficient Measurement
3. Results and Discussion
4. Uncertainty Analysis
4.1. Uncertainty in Electrical Conductivity Measurement
4.2. Uncertainty in Thermal Conductivity Measurement
- (1)
- The uncertainty of the finite element model: nanowires and graphene are important components of the device. In this work, we set the mesh of nanowires and graphene as free triangles with a size of 0.1 μm. To assess the uncertainty of the finite element model in the thermal simulation calculation, grid independence verification was performed to ensure that the influence of the finite element model on the thermal conductivity measurement was less than 0.1%;
- (2)
- The uncertainty in the geometric size of graphene and Au nanowires. the geometric dimensions were measured from SEM images with an uncertainty of ~0.1%, which would cause an uncertainty of 1% in the thermal conductivity calculation;
- (3)
- The effects of thermal radiation and convection. The entire test process was executed in a vacuum chamber, where the pressure inside the chamber was ~10−4 Pa and the thermal convection was negligible. The effects of thermal radiation are described in detail next. The heat loss Jr by thermal radiation can be estimated by the Stefan–Boltzmann law as follows:
- (4)
- Temperature measurement uncertainty of the H-type sensor as a resistance thermometer. Before the experiment, the H-type sensor was calibrated at different temperatures. The resistance R and temperature rise ΔT of the sensor follow a linear relationship:where βT is the resistance-temperature coefficient. According to the error transfer formula, the uncertainty in βT can be calculated as follows:
- (5)
- Uncertainty in the measurement of thermal conductivity of Au nanowires and SiO2 support layers: the thermal conductivities of the nanowires and SiO2 were also considered in the finite element model, and their measurement uncertainties were 1% and 3%, respectively;
- (6)
- The influence of thermal contact resistance: the Au nanowires were deposited directly on both sides of the graphene using the electron-beam PVD method without any residue or air in between. Therefore, the thermal contact resistance of our devices was much smaller than that obtained using the ordinary transfer method. The experimental and simulation results showed that the contact thermal resistance of the van der Waals interaction between Au and graphene, RC, was ~10−8 m2K/W [41,42,43]. The contact area between the Au nanowires and graphene, AAu-sample, can be obtained as AAu-sample = a × ah = 3.2 × 10−12 m2. Therefore, the contact thermal resistance per unit area of the H-type sensor, RAu-sample, can be calculated as RAu-sample = Rc/AAu-sample ≈ 3 × 103 K/W.
4.3. Uncertainty in Seebeck Coefficient Measurement
- (1)
- Temperature measurement uncertainty: the uncertainty of 0.1% can be obtained in the previous statement;
- (2)
- The effects of laser positioning: in the measurement process of the Seebeck coefficient, the temperature rise of nanowire A and nanowire B was considered to be approximately the same, i.e., ΔTA = ΔTB. However, the sample center was aligned with a laser by manually controlling it under a microscope. The laser-heating position could deviate from the geometric center of the sample. The accuracy of laser positioning was ~0.1 μm. The distance of laser deviation from the center was set as 0.1 μm in COMSOL, and the temperature rise of Au nanowires A and B was calculated. It was found that ΔTA = 21.185 K, ΔTB = 19.825 K, and the effect on the measurement was ~6.4%. This step optimization can further improve the laser-positioning accuracy. For example, the stepper motor can be used to control the position of the sample or the laser galvanometer can be used to control the laser heating position;
- (3)
- The effect of the thermal conductivity of SiO2, Au nanowires, and the sample in the COMSOL simulation: the average temperature rise of nanowire B could be measured experimentally. However, the temperature rise of the high-temperature end of the two-dimensional material needed to be calculated by the finite element method using COMSOL. Accordingly, the thermal conductivities of the Au nanowires, SiO2, and graphene were changed in COMSOL to study the influence of the uncertainty in thermal conductivity measurement on the calculation of the temperature rise at the high-temperature end of graphene. The calculation results showed that the effect of the uncertainty in the thermal conductivity measurement on the temperature rise calculation of the high-temperature end of graphene was less than 0.1%;
- (4)
- The effect of the actual temperature difference: the Seebeck coefficient varies with temperature. The maximum temperature difference in the experiment is about 20 K. It has little impact on the measurement results. We evaluated it and found that the uncertainty does not exceed 2.8%.
5. Conclusions
Author Contributions
Funding
Institutional Review Board Statement
Informed Consent Statement
Data Availability Statement
Conflicts of Interest
References
- Sootsman, J.R.; Chung, D.Y.; Kanatzidis, M.G. Angew. New and old concepts in thermoelectric materials. Chem. Int. Ed. 2009, 48, 8616–8639. [Google Scholar] [CrossRef] [PubMed]
- Jeffrey Snyder, G.; Toberer, E.S. Complex thermoelectric materials. Nat. Mater. 2008, 7, 105–114. [Google Scholar] [CrossRef]
- Wu, Z.; Zhang, S.; Liu, Z.; Mu, E.; Hu, Z. Thermoelectric converter: Strategies from materials to device application. Nano Energy 2022, 91, 106692. [Google Scholar] [CrossRef]
- Venkatasubramanian, R.; Siivola, E.; Colpitts, T.; O’Quinn, B. Thin-film thermoelectric devices with high room-temperature figures of merit. Nature 2001, 413, 597–602. [Google Scholar] [CrossRef] [PubMed]
- Poudel, B.; Hao, Q.; Ma, Y.; Lan, Y.; Minnich, A.; Yu, B.; Yan, X.; Wang, D.; Muto, A.; Vashaee, D.; et al. High-thermoelectric performance of nanostructured bismuth antimony telluride bulk alloys. Science 2008, 320, 634–638. [Google Scholar] [CrossRef]
- Harman, T.C.; Taylor, P.J.; Walsh, M.P.; LaForge, B.E. Quantum dot superlattice thermoelectric materials and devices. Science 2022, 297, 2229–2232. [Google Scholar] [CrossRef]
- Szczech, J.R.; Higgins, J.M.; Jin, S.J. Enhancement of the thermoelectric properties in nanoscale and nanostructured materials. Mater. Chem. 2011, 21, 4037–4055. [Google Scholar] [CrossRef]
- Balandin, A.A.; Ghosh, S.; Bao, W.; Calizo, I.; Teweldebrhan, D.; Miao, F.; Lau, C.N. Superior thermal conductivity of single-layer graphene. Nano Lett. 2008, 8, 902–907. [Google Scholar] [CrossRef]
- Bolotin, K.I.; Sikes, K.J.; Jiang, Z.; Klima, M.; Fudenberg, G.; Hone, J.; Kim, P.; Stormer, H.L. Ultrahigh electron mobility in suspended graphene. Solid State Commun. 2008, 165, 096802. [Google Scholar] [CrossRef]
- Geim, A.K.; Novoselov, K.S. The rise of graphene. Nat. Mater. 2007, 6, 183–191. [Google Scholar] [CrossRef]
- Noveselov, K.S.; Geim, A.K.; Morozov, S.V.; Jiang, D.; Zhang, Y.; Dubonos, S.V.; Grigorieva, I.V.; Fitsov, A.A. Electric field effect in atomically thin carbon films. Science 2004, 306, 666–669. [Google Scholar] [CrossRef] [PubMed]
- Kageshima, H. Study on thermoelectric properties of graphene. Jpn. J. Appl. Phys. 2010, 49, 100207. [Google Scholar] [CrossRef]
- Su, L.; Wang, D.; Wang, S.; Qin, B.; Wang, Y.; Qin, Y.; Jin, Y.; Chang, C.; Zhao, L. High thermoelectric performance realized through manipulating layered phonon-electron decoupling. Science 2022, 375, 1385–1389. [Google Scholar] [CrossRef] [PubMed]
- Chi, Z.; Chen, H.; Zhao, Q.; Weng, Y.J. Ultrafast carrier and phonon dynamics in few-layer 2H–MoTe2. Chem. Phys. 2019, 151, 114704. [Google Scholar] [CrossRef] [PubMed]
- Huang, H.; Cui, Y.; Li, Q.; Dun, C.; Zhou, W.; Huang, W.; Chen, L.; Hewitt, C.A.; Carroll, D.L. Metallic 1T phase MoS2 nanosheets for high-performance thermoelectric energy harvesting. Metallic 1T phase MoS2 nanosheets for high-performance thermoelectric energy harvesting. Nano Energy 2016, 26, 172–179. [Google Scholar] [CrossRef]
- Lopez-Sanchez, O.; Lembke, D.; Kayci, M.; Radenovic, A.; Kis, A. Ultrasensitive photodetectors based on monolayer MoS2. Nat. Nanotechnol. 2013, 8, 497–501. [Google Scholar] [CrossRef]
- Bao, W.; Cai, X.; Kim, D.; Sridhara, K.; Fuhrer, M.S. High mobility ambipolar MoS2 field-effect transistors: Substrate and dielectric effects. Appl. Phys. Lett. 2013, 102, 042104. [Google Scholar] [CrossRef]
- Bowley, A.; Cowles, L.; Williams, G.; Ausmid, H. Measurement of the figure of merit of a thermoelectric material. J. Sci. Instrum. 1961, 38, 433–435. [Google Scholar] [CrossRef]
- Zhang, G.; Zhang, Y.J. Thermoelectric properties of two-dimensional transition metal dichalcogenides. Mater. Chem. C 2017, 5, 7684–7698. [Google Scholar] [CrossRef]
- Fitriani, R.; Ovik, B.D.; Long, M.C.; Barma, M.; Riaz, M.F.M.; Sabri, S.M.; Saidur, S.R. A review on nanostructures of high-temperature thermoelectric materials for waste heat recovery. Nanomaterials 2016, 64, 635–639. [Google Scholar] [CrossRef]
- Cui, Y.; Yang, Y.; Liu, S.; Dai, S.; Li, T.; Wang, Y. MEMS-based dual temperature control measurement method for thermoelectric properties of individual nanowires. MRS Commun. 2020, 10, 620–627. [Google Scholar] [CrossRef]
- Kim, P.; Shi, L.; Majumdar, A.; McEuen, P.L. Thermal transport measurements of individual multiwalled nanotubes. Phys. Rev. Lett. 2001, 87, 215502. [Google Scholar] [CrossRef] [PubMed]
- Shi, L.; Li, D.; Yu, C.; Jang, W.; Kim, D.; Yao, Z.; Kim, P.; Majumdar, A. Measuring thermal and thermoelectric properties of one-dimensional nanostructures using a microfabricated device. ASME J. Heat Transf. 2003, 125, 881–888. [Google Scholar] [CrossRef]
- Jo, I.; Pettes, M.T.; Kim, J.; Watanabe, K.; Taniguchi, T.; Yao, Z.; Shi, L. Thermal conductivity and phonon transport in suspended few-layer hexagonal boron nitride. Nano Lett. 2013, 13, 550–554. [Google Scholar] [CrossRef] [PubMed]
- Li, D.; Wu, Y.; Kim, P.; Shi, L.; Yang, P.; Majumdar, A. Thermal conductivity of individual silicon nanowires. Appl. Phys. Lett. 2001, 83, 2934–2936. [Google Scholar] [CrossRef]
- Choi, K.; Kim, S.L.; Yi, S.; Hsu, J.; Yu, C. Promoting dual electronic and ionic transport in PEDOT by embedding carbon nanotubes for large thermoelectric responses. ACS Appl. Mater. Interfaces 2018, 10, 23891–23899. [Google Scholar] [CrossRef] [PubMed]
- Zhang, X.; Fujiwara, S.; Fujii, M. Measurements of thermal conductivity and electrical conductivity of a single carbon fiber. Int. J. Thermophys. 2020, 21, 965–980. [Google Scholar] [CrossRef]
- Fujii, M.; Zhang, X.; Takahashi, K. Measurements of thermal conductivity of individual carbon nanotubes. Phys. Stat. Sol. 2006, 243, 3385–3389. [Google Scholar] [CrossRef]
- Fujii, M.; Zhang, X.; Xie, H.; Ago, H.; Takahashi, K.; Ikuta, T.; Abe, H.; Shimizu, T. Measuring the thermal conductivity of a single carbon nanotube. Phys. Rev. Lett. 2005, 95, 065502. [Google Scholar] [CrossRef]
- Wang, J.; Gu, M.; Zhang, X.; Song, Y.J. Thermal conductivity measurement of an individual fibre using a T type probe method. Phys. D 2009, 42, 105502. [Google Scholar] [CrossRef]
- Wang, J.; Gu, M.; Zhang, X.; Song, Y. Temperature dependence of the thermal conductivity of individual pitch-derived carbon fibers. New Carbon Mater. 2008, 23, 259–263. [Google Scholar] [CrossRef]
- Ma, W.; Miao, T.; Zhang, X.; Takahashi, K.; Ikuta, T.; Zhang, B.; Ge, Z. A T-type method for characterization of the thermoelectric performance of an individual free-standing single crystal Bi2S3 nanowire. Nanoscale 2016, 8, 2704–2710. [Google Scholar] [CrossRef] [PubMed]
- Miao, T.; Ma, W.; Zhang, X.J. Ac heating–dc detecting method for seebeck coefficient measurement of the thermoelectric micro/nano devices. Vac. Sci. Technol. B 2012, 30, 051804. [Google Scholar] [CrossRef]
- Wang, H.; Zheng, D.; Zhang, X.; Takamatsu, H.; Hu, W. Benchmark characterization of the thermoelectric properties of individual single-crystalline CdS nanowires by a H-type sensor. RSC Adv. 2017, 7, 25298–25304. [Google Scholar] [CrossRef]
- Wang, H.; Hu, S.; Takahashi, K.; Zhang, X.; Takamatsu, H.; Chen, J. Experimental study of thermal rectification in suspended monolayer graphene. Nat. Commun. 2017, 8, 15843. [Google Scholar] [CrossRef] [PubMed]
- Zhao, S.; Wang, H. An integrated H-type method to measure thermoelectric properties of two-dimensional materials. ES Energy Environ. 2020, 9, 59–66. [Google Scholar] [CrossRef]
- Wang, H.; Kurata, K.; Fukunaga, T.; Ago, H.; Takamatsu, H.; Zhang, X.; Ikuta, T.; Takahashi, K.; Nishiyama, T.; Takata, Y. A general method of fabricating free-standing, monolayer graphene electronic device and its property characterization. Sens. Actuator A Phys. 2016, 247, 24–29. [Google Scholar] [CrossRef]
- Wang, H.; Kurata, K.; Fukunaga, T.; Ago, H.; Takamatsu, H.; Zhang, X.; Ikuta, T.; Takahashi, K.; Nishiyama, T.; Ago, H.; et al. A simple method for fabricating free-standing large area fluorinated single-layer graphene with size-tunable nanopores. Carbon 2016, 99, 564–570. [Google Scholar] [CrossRef]
- Seol, J.; Moore, A.; Shi, L.; Jo, I.; Yao, Z.J. Thermal conductivity measurement of graphene exfoliated on silicon dioxide. Heat Transf. 2011, 133, 022403. [Google Scholar] [CrossRef]
- Li, X.; Yin, J.; Zhou, J.; Wang, Q.; Guo, W. Exceptional high Seebeck coefficient and gas-flow-induced voltage in multilayer graphene. Appl. Phys. Lett. 2012, 100, 183108. [Google Scholar] [CrossRef]
- Han, H.; Zhang, Y.; Wang, N.; Samani, M.K.; Ni, Y.; Mijbil, Z.Y.; Edwards, M.; Xiong, S.; Sääskilahti, K.; Murugesan, M.; et al. Functionalization mediates heat transport in graphene nanoflakes. Nat. Commun. 2016, 7, 11281. [Google Scholar]
- Mao, R.; Kong, B.D.; Gong, C.; Xu, S.; Jayasekera, T.; Cho, K.; Kim, K.W. First-principles calculation of thermal transport in metal/graphene systems. Phys. Rev. B 2013, 87, 165410. [Google Scholar] [CrossRef]
- Liu, X.; Zhang, G.; Zhang, Y.W. Thermal conduction across the one-dimensional interface between a MoS2 monolayer and metal electrode. Nano Res. 2016, 9, 2372–2383. [Google Scholar] [CrossRef]









Disclaimer/Publisher’s Note: The statements, opinions and data contained in all publications are solely those of the individual author(s) and contributor(s) and not of MDPI and/or the editor(s). MDPI and/or the editor(s) disclaim responsibility for any injury to people or property resulting from any ideas, methods, instructions or products referred to in the content. |
© 2023 by the authors. Licensee MDPI, Basel, Switzerland. This article is an open access article distributed under the terms and conditions of the Creative Commons Attribution (CC BY) license (https://creativecommons.org/licenses/by/4.0/).
Share and Cite
Zheng, J.; Zhao, S.; Wang, H.; Zhan, T. A New Laser-Combined H-Type Device Method for Comprehensive Thermoelectrical Properties Characterization of Two-Dimensional Materials. Materials 2023, 16, 7680. https://doi.org/10.3390/ma16247680
Zheng J, Zhao S, Wang H, Zhan T. A New Laser-Combined H-Type Device Method for Comprehensive Thermoelectrical Properties Characterization of Two-Dimensional Materials. Materials. 2023; 16(24):7680. https://doi.org/10.3390/ma16247680
Chicago/Turabian StyleZheng, Jie, Shuaiyi Zhao, Haidong Wang, and Tianzhuo Zhan. 2023. "A New Laser-Combined H-Type Device Method for Comprehensive Thermoelectrical Properties Characterization of Two-Dimensional Materials" Materials 16, no. 24: 7680. https://doi.org/10.3390/ma16247680
APA StyleZheng, J., Zhao, S., Wang, H., & Zhan, T. (2023). A New Laser-Combined H-Type Device Method for Comprehensive Thermoelectrical Properties Characterization of Two-Dimensional Materials. Materials, 16(24), 7680. https://doi.org/10.3390/ma16247680
