Coupling of Pyro–Piezo-Phototronic Effects in a GaN Nanowire
Abstract
1. Introduction
2. Basic Equations for a GaN Nanowire
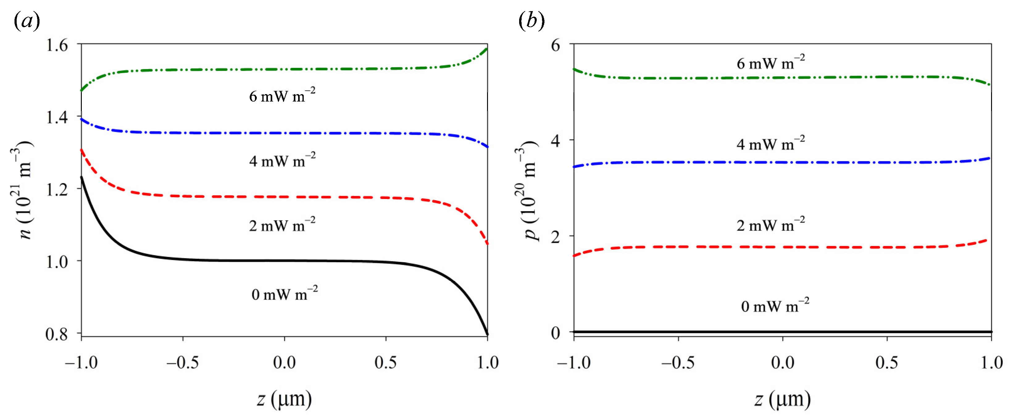
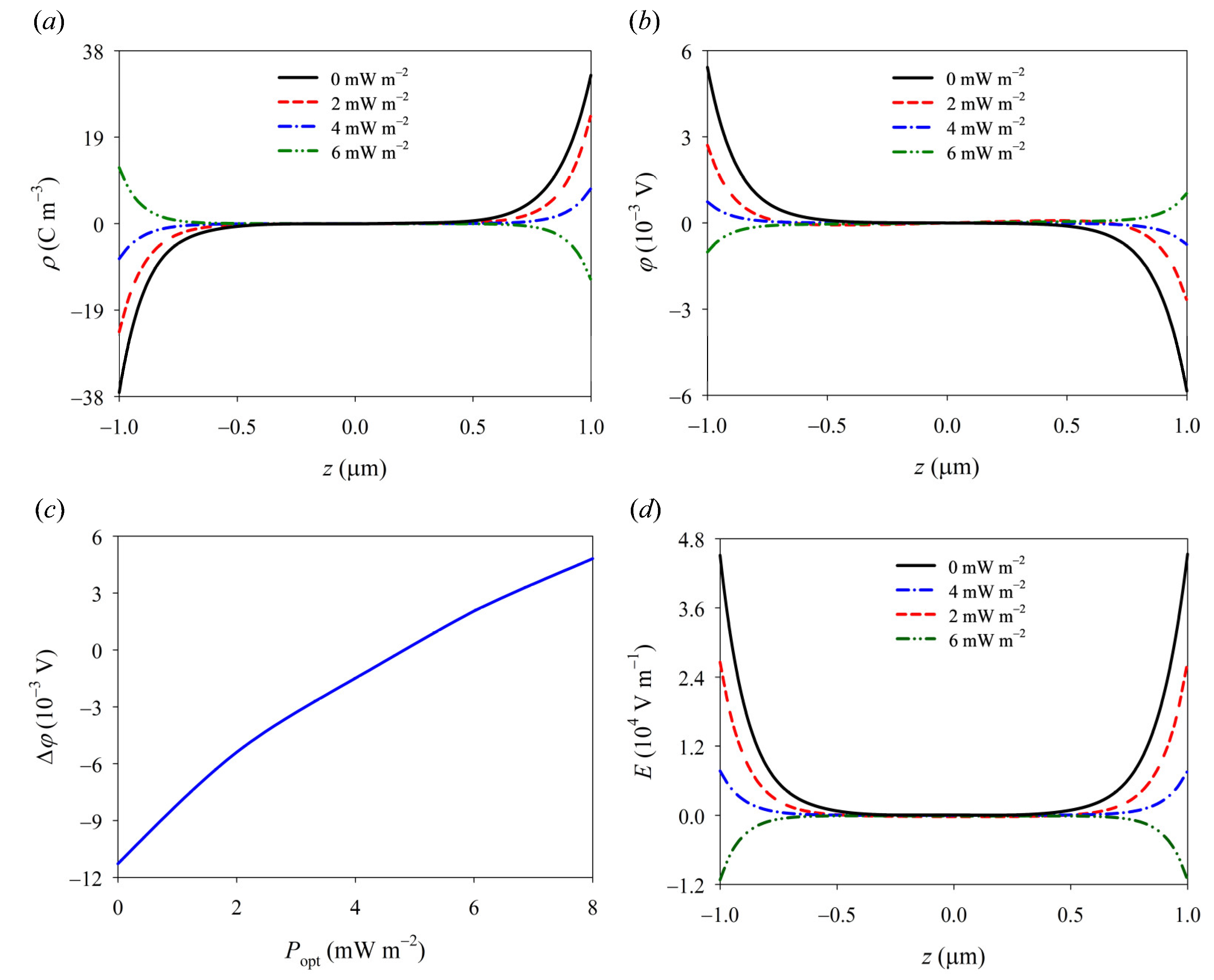
3. Light Irradiation-Induced Electromechanical Fields
4. I–V Characteristics under Light and Pressure
5. Conclusions
- By combining with photoconductive, piezoelectric, pyroelectric, and photothermal effects, an optical–electromechanical coupling model of PSCs is proposed, and the universal analytical solutions of critical physical fields are obtained.
- Due to the synergistic effect of pyro-phototronic and piezo-phototronic phenomena, ultraviolet radiation significantly influences various physical field distributions in a GaN nanowire, including potential, polarization charge, and carrier concentration.
- The application of ultraviolet radiation can regulate the Schottky barrier height and electrical transport properties of GaN nano-Schottky devices. This provides a flexible and efficient method for modulating the electrical properties of GaN photovoltaic devices.
Author Contributions
Funding
Institutional Review Board Statement
Informed Consent Statement
Data Availability Statement
Conflicts of Interest
References
- Wang, Y.; Zhu, L.P.; Du, C.F. Flexible difunctional (pressure and light) sensors based on ZnO nanowires/graphene heterostructures. Adv. Mater. Interfaces 2020, 7, 1901932. [Google Scholar] [CrossRef]
- Araneo, R.; Lovat, G.; Falconi, C.; Notargiacomo, A.; Rinaldi, A. Accurate models for the current-voltage characteristics of vertically compressed piezo-semiconductive quasi-1D NWs. MRS Online Proc. Libr. 2013, 1556, 803. [Google Scholar] [CrossRef]
- Yang, W.L.; Hu, Y.T.; Yang, J.S. Transient extensional vibration in a ZnO piezoelectric semiconductor nanofiber under a suddenly applied end force. Mater. Res. Express 2018, 6, 025902. [Google Scholar] [CrossRef]
- Wallys, J.; Hoffmann, S.; Furtmayr, F.; Teubert, J.; Eickhoff, M. Electrochemical properties of GaN nanowire electrodes-Influence of doping and control by external bias. Nanotechnology 2012, 23, 165701. [Google Scholar] [CrossRef] [PubMed]
- Dutta, J.; Liu, C.P. Analytical and experimental investigation of dual-mode piezo-gated thin film transistor for force sensors. Nano Energy 2022, 95, 106985. [Google Scholar] [CrossRef]
- Wang, Y.Q.; Huang, T.; Gao, Q.; Li, J.P.; Wen, J.M.; Wang, Z.L.; Cheng, T.H. High-volage output triboelectric nanogenerator with DC/AC optimal combination method. Nano Res. 2021, 15, 3239–3245. [Google Scholar] [CrossRef]
- Huang, H.Y.; Qian, Z.H.; Yang, J.S. I-V characteristics of a piezoelectric semiconductor nanofiber under local tensile/compressive stress. J. Appl. Phys. 2019, 126, 164902. [Google Scholar] [CrossRef]
- Ma, J.K.; Chen, M.J.; Qiao, S.; Guo, S.Y.; Chang, J.L.; Fu, G.S.; Wang, S.F. A new approach for broadband photosensing based on Ag2Se/Si heterojunction tuned by pyro-phototronic effect. Nano Energy 2023, 107, 108167. [Google Scholar] [CrossRef]
- Zhang, Y.M.; Wang, Y.C.; Wang, L.F.; Zhu, L.P.; Wang, Z.L. Highly sensitive photoelectric detection and imaging enhanced by the pyro-phototronic effect based on a photoinduced dynamic schottky effect in 4H-SiC. Adv. Mater. 2022, 34, 2204363. [Google Scholar] [CrossRef]
- Zhang, S.; Ma, S.F.; Cao, B.; Zhuang, Q.D.; Xu, Y.; Wang, J.H.; Zhang, X.S.; Nan, X.Y.; Hao, X.D.; Xu, B.S. Synthesis of fibrous phosphorus micropillar arrays with pyro-phototronic effects. Angew. Chem.-Int. Edit. 2023, 135, e202217127. [Google Scholar] [CrossRef]
- Wang, Z.L. Piezopotential gated nanowire devices: Piezotronics and piezo-phototronics. Nano Today 2010, 5, 540–552. [Google Scholar] [CrossRef]
- Wu, W.Z.; Wang, Z.L. Piezotronics and piezo-phototronics for adaptive electronics and optoelectronics. Nat. Rev. Mater. 2016, 1, 16031. [Google Scholar] [CrossRef]
- Wang, Z.L. Progress in piezotronics and piezo-phototronics. Adv. Mater. 2012, 24, 4632–4646. [Google Scholar] [CrossRef] [PubMed]
- Liu, Y.; Zhang, Y.; Yang, Q.; Niu, S.M.; Wang, Z.L. Fundamental theories of piezotronics and piezo-phototronics. Nano Energy 2015, 14, 257–275. [Google Scholar] [CrossRef]
- Wang, Z.N.; Yu, R.M.; Pan, C.F.; Li, Z.L.; Yang, J.; Yi, F.; Wang, Z.L. Light-induced pyroelectric effect as an effective approach for ultrafast ultraviolet nanosensing. Nat. Commun. 2015, 6, 8401. [Google Scholar] [CrossRef]
- Zhang, W.; Jiang, D.; Zhao, M.; Duan, Y.; Zhou, X.; Yang, X.; Shan, C.; Qin, J.; Gao, S.; Liang, Q. Piezo-phototronic effect for enhanced sensitivity and response range of ZnO thin film flexible UV photodetectors. J. Appl. Phys. 2019, 125, 024502. [Google Scholar] [CrossRef]
- Hu, W.D.; Chen, X.S.; Quan, Z.J. Simulation and optimization of GaN-based metal-oxide-semiconductor high-electron-mobility-transistor using field-dependent drift velocity model. J. Appl. Phys. 2007, 102, 034502. [Google Scholar] [CrossRef]
- Peng, W.B.; Yu, R.M.; Wang, X.F.; Wang, Z.N.; Zou, H.Y.; He, Y.N.; Wang, Z.L. Temperature dependence of pyro-phototronic effect on self-powered ZnO/perovskite heterostructured photodetectors. Nano Res. 2016, 9, 3695–3704. [Google Scholar] [CrossRef]
- Wang, Z.N.; Yu, R.M.; Wang, X.F.; Wu, W.Z.; Wang, Z.L. Ultrafast response p-Si/n-ZnO heterojunction ultraviolet detector based on pyro-phototronic effect. Adv. Mater. 2016, 28, 6880–6886. [Google Scholar] [CrossRef]
- Peng, W.B.; Wang, X.F.; Yu, R.M.; Dai, Y.J.; Zou, H.Y.; Wang, A.C.; He, Y.N.; Wang, Z.L. Enhanced performance of a self-powered organic/inorganic photodetector by pyro-phototronic and piezo-phototronic effects. Adv. Mater. 2017, 29, 1606698. [Google Scholar] [CrossRef]
- Li, Q.; Li, Z.; Meng, J.P. Pyro-phototronic effect enhanced self-powered photodetector. Int. J. Optomechatron. 2022, 16, 1–17. [Google Scholar] [CrossRef]
- Yang, Z.; Wang, H.; Guo, L.J.; Zhou, Q.; Gu, Y.S.; Li, F.T.; Qiao, S.; Pan, C.F.; Wang, S.F. A self-powered photodetector based on MAPbI3 single-crystal film/n-Si heterojunction with broadband response enhanced by pyro-phototronic and piezo-phototronic effects. Small 2021, 17, 2101572. [Google Scholar] [CrossRef] [PubMed]
- Xue, M.Y.; Peng, W.B.; Tang, X.F.; Cai, Y.H.; Li, F.P.; He, Y.N. Pyro-phototronic effect enhanced pyramid structured p-Si/n-ZnO nanowires heterojunction photodetector. ACS Appl. Mater. Interfaces 2023, 15, 4677–4689. [Google Scholar] [CrossRef] [PubMed]
- Bykhovski, A.; Gelmont, B.; Shur, M.; Khan, A. Current-voltage characteristics of strained piezoelectric structures. J. Appl. Phys. 1995, 77, 1616–1620. [Google Scholar] [CrossRef]
- Ikari, T.; Salnick, A.; Mandelis, A. Theoretical and experimental aspects of three-dimensional infrared photothermal radiometry of semiconductors. J. Appl. Phys. 1999, 85, 7392–7397. [Google Scholar] [CrossRef][Green Version]
- Yang, K.; Qin, G.S.; Wang, L.; Zhao, M.H.; Lu, C.S. Theoretical nanoarchitectonics of GaN nanowires for ultraviolet irradiation-dependent electromechanical properties. Materials 2023, 16, 1080. [Google Scholar] [CrossRef]
- Nam, C.-Y.; Jaroenapibal, P.; Tham, D.; Luzzi, D.E.; Evoy, S.; Fischer, J.E. Diameter-dependent electromechanical properties of GaN nanowires. Nano Lett. 2006, 6, 153–158. [Google Scholar] [CrossRef]
- Whatmore, R.W. Pyroelectric devices and materials. Rep. Prog. Phys. 1986, 49, 1335–1386. [Google Scholar] [CrossRef]
- Yang, G.Y.; Du, J.K.; Wang, J.; Yang, J.S. Extension of a piezoelectric semiconductor fiber with consideration of electrical nonlinearity. Acta Mech. 2018, 229, 4663–4676. [Google Scholar] [CrossRef]
- Cheng, R.R.; Zhang, C.L.; Yang, J.S. Thermally induced carrier distribution in a piezoelectric semiconductor fiber. J. Electron. Mater. 2019, 48, 4939–4946. [Google Scholar] [CrossRef]
- Cheng, R.R.; Zhang, C.L.; Chen, W.Q.; Yang, J.S. Temperature effects on pn junctions in piezoelectric semiconductor fibers with thermoelastic and pyroelectric couplings. J. Electron. Mater. 2020, 49, 3140–3148. [Google Scholar] [CrossRef]
- Tiersten, H.F. Linear Piezoelectric Plate Vibrations: Elements of the Linear Theory of Piezoelectricity and the Vibrations Piezoelectric Plates; Springer: New York, NY, USA, 1969. [Google Scholar]
- Cheng, R.R.; Zhang, C.L.; Chen, W.Q.; Yang, J.S. Electrical behaviors of a piezoelectric semiconductor fiber under a local temperature change. Nano Energy 2019, 66, 104081. [Google Scholar] [CrossRef]
- Zhang, C.L.; Wang, X.Y.; Chen, W.Q.; Yang, J.S. An analysis of the extension of a ZnO piezoelectric semiconductor nanofiber under an axial force. Smart Mater. Struct. 2017, 26, 025030. [Google Scholar] [CrossRef]
- Khusayfan, N.M.; Qasrawi, A.F.; Khanfar, H.K. Impact of Yb, In, Ag and Au thin film substrates on the crystalline nature, Schottky barrier formation and microwave trapping properties of Bi2O3 films. Mater. Sci. Semicond. Process. 2017, 64, 63–70. [Google Scholar] [CrossRef]
- Zhao, M.H.; Wang, Y.; Guo, C.K.; Lu, C.S.; Xu, G.T.; Qin, G.S. Temperature-dependent bending strength in piezoelectric semiconductive ceramics. Ceram. Int. 2022, 48, 2771–2775. [Google Scholar] [CrossRef]
- Guo, M.K.; Lu, C.S.; Qin, G.S.; Zhao, M.H. Temperature gradient-dominated electrical behaviours in a piezoelectric pn junction. J. Electron. Mater. 2021, 50, 947–953. [Google Scholar] [CrossRef]
- Zhao, M.H.; Li, X.F.; Lu, C.S.; Zhang, Q.Y. Nonlinear analysis of a crack in 2D piezoelectric semiconductors with exact electric boundary conditions. J. Intell. Mater. Syst. Struct. 2020, 32, 632–639. [Google Scholar] [CrossRef]
- Guo, M.K.; Qin, G.S.; Lu, C.S.; Zhao, M.H. Nonlinear solution of a piezoelectric pn junction under temperature gradient. Int. J. Appl. Mech. 2022, 14, 2150125. [Google Scholar] [CrossRef]
- Pan, C.F.; Zhai, J.Y.; Wang, Z.L. Piezotronics and piezo-phototronics of third generation semiconductor nanowires. Chem. Rev. 2019, 119, 9303–9359. [Google Scholar] [CrossRef]





Disclaimer/Publisher’s Note: The statements, opinions and data contained in all publications are solely those of the individual author(s) and contributor(s) and not of MDPI and/or the editor(s). MDPI and/or the editor(s) disclaim responsibility for any injury to people or property resulting from any ideas, methods, instructions or products referred to in the content. |
© 2023 by the authors. Licensee MDPI, Basel, Switzerland. This article is an open access article distributed under the terms and conditions of the Creative Commons Attribution (CC BY) license (https://creativecommons.org/licenses/by/4.0/).
Share and Cite
Qin, G.; Wang, Z.; Wang, L.; Yang, K.; Zhao, M.; Lu, C. Coupling of Pyro–Piezo-Phototronic Effects in a GaN Nanowire. Materials 2023, 16, 6247. https://doi.org/10.3390/ma16186247
Qin G, Wang Z, Wang L, Yang K, Zhao M, Lu C. Coupling of Pyro–Piezo-Phototronic Effects in a GaN Nanowire. Materials. 2023; 16(18):6247. https://doi.org/10.3390/ma16186247
Chicago/Turabian StyleQin, Guoshuai, Zhenyu Wang, Lei Wang, Kun Yang, Minghao Zhao, and Chunsheng Lu. 2023. "Coupling of Pyro–Piezo-Phototronic Effects in a GaN Nanowire" Materials 16, no. 18: 6247. https://doi.org/10.3390/ma16186247
APA StyleQin, G., Wang, Z., Wang, L., Yang, K., Zhao, M., & Lu, C. (2023). Coupling of Pyro–Piezo-Phototronic Effects in a GaN Nanowire. Materials, 16(18), 6247. https://doi.org/10.3390/ma16186247

