Decarbonatization of Energy Sector by CO2 Sequestration in Waste Incineration Fly Ash and Its Utilization as Raw Material for Alkali Activation
Abstract
1. Introduction
2. Materials and Methods
2.1. Fly Ash
2.1.1. Fly Ash Treatment with CO2
2.1.2. Fly Ash Alkali Activation
2.2. Methods of Materials Characterization
2.2.1. X-ray Diffraction (XRD)
2.2.2. X-ray Fluorescence (XRF)
2.2.3. Fourier Transform Infrared Spectroscopy (FT-IR)
2.2.4. Free CaO Content in Fly Ashes
2.2.5. Thermogravimetric Analysis (TGA) of Fly Ashes
2.2.6. Compressive Strength of Alkali-Activated Materials
3. Results and Discussion
3.1. CO2 Sequestration
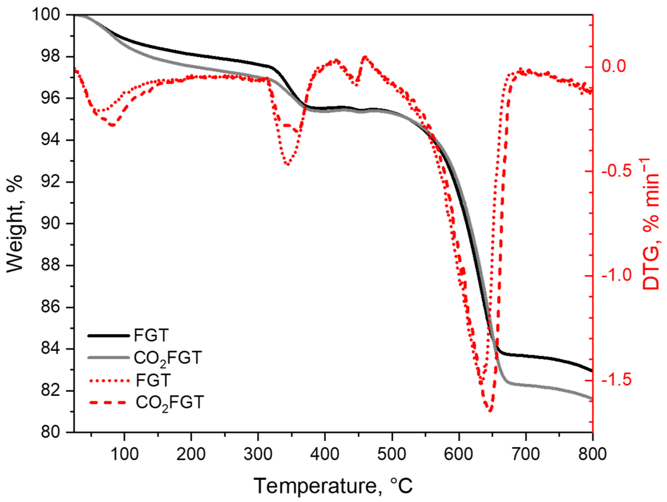
3.2. Materials Characterization
3.3. Compressive Strength
3.4. Future Perspectives
4. Conclusions
Supplementary Materials
Author Contributions
Funding
Institutional Review Board Statement
Informed Consent Statement
Data Availability Statement
Conflicts of Interest
Correction Statement
References
- Suraneni, P.; Burris, L.; Shearer, C.R.; Hooton, R.D. ASTM C618 Fly Ash Specification: Comparison with Other Specifications, Shortcomings, and Solutions. ACI Mater. J. 2021, 118, 157–168. [Google Scholar] [CrossRef]
- Dindi, A.; Quang, D.V.; Vega, L.F.; Nashef, E.; Abu-Zahra, M.R.M. Applications of Fly Ash for CO2 Capture, Utilization, and Storage. J. CO2 Util. 2019, 29, 82–102. [Google Scholar] [CrossRef]
- Verma, C.; Madan, S.; Hussain, A. Heavy Metal Contamination of Groundwater Due to Fly Ash Disposal of Coal-Fired Thermal Power Plant, Parichha, Jhansi, India. Cogent Eng. 2016, 3, 1179243. [Google Scholar] [CrossRef]
- Mishra, M.; Sahu, S.K.; Mangaraj, P.; Beig, G. Assessment of Hazardous Radionuclide Emission Due to Fly Ash from Fossil Fuel Combustion in Industrial Activities in India and Its Impact on Public. J. Environ. Manag. 2023, 328, 116908. [Google Scholar] [CrossRef] [PubMed]
- Grabias-Blicharz, E.; Franus, W. A Critical Review on Mechanochemical Processing of Fly Ash and Fly Ash-Derived Materials. Sci. Total Environ. 2023, 860, 160529. [Google Scholar] [CrossRef]
- Fly Ash Market Size USD 19.59 Billion by 2030. Available online: https://www.vantagemarketresearch.com/industry-report/fly-ash-market-1875 (accessed on 22 June 2023).
- Luo, Y.; Brouwers, H.J.H.; Yu, Q. Understanding the Gel Compatibility and Thermal Behavior of Alkali Activated Class F Fly Ash/Ladle Slag: The Underlying Role of Ca Availability. Cem. Concr. Res. 2023, 170, 107198. [Google Scholar] [CrossRef]
- Islam, M.S.; Elahi, T.E.; Shahriar, A.R.; Mumtaz, N. Effectiveness of Fly Ash and Cement for Compressed Stabilized Earth Block Construction. Constr. Build. Mater. 2020, 255, 119392. [Google Scholar] [CrossRef]
- Mokrzycki, J.; Fedyna, M.; Marzec, M.; Panek, R.; Szerement, J.; Marcińska-Mazur, L.; Jarosz, R.; Bajda, T.; Franus, W.; Mierzwa-Hersztek, M. The Influence of Zeolite X Ion-Exchangeable Forms and Impregnation with Copper Nitrate on the Adsorption of Phosphate Ions from Aqueous Solutions. J. Water Process Eng. 2022, 50, 103299. [Google Scholar] [CrossRef]
- Mokrzycki, J.; Franus, W.; Panek, R.; Sobczyk, M.; Rusiniak, P.; Szerement, J.; Jarosz, R.; Marcińska-Mazur, L.; Bajda, T.; Mierzwa-Hersztek, M. Zeolite Composite Materials from Fly Ash: An Assessment of Physicochemical and Adsorption Properties. Materials 2023, 16, 2142. [Google Scholar] [CrossRef]
- Mokrzycki, J.; Fedyna, M.; Marzec, M.; Szerement, J.; Panek, R.; Klimek, A.; Bajda, T.; Mierzwa-Hersztek, M. Copper Ion-Exchanged Zeolite X from Fly Ash as an Efficient Adsorbent of Phosphate Ions from Aqueous Solutions. J. Environ. Chem. Eng. 2022, 10, 108567. [Google Scholar] [CrossRef]
- Zhang, H.; Gan, S.; Sun, H.; Yang, H.; Xie, S. Fly-Ash-Based Hierarchical MCM-41 Molecular Sieve as an Efficient Adsorbent for Methylene Blue Removal from Wastewater over a Wide PH. ChemistrySelect 2022, 7, e202203213. [Google Scholar] [CrossRef]
- Czarna-Juszkiewicz, D.; Cader, J.; Wdowin, M. From Coal Ashes to Solid Sorbents for Hydrogen Storage. J. Clean. Prod. 2020, 270, 122355. [Google Scholar] [CrossRef]
- Zarębska, K.; Zabierowski, P.; Gazda-Grzywacz, M.; Czuma, N.; Baran, P. Fly Ash-Based Geopolymers with Refractoriness Properties. Clean. Technol. Environ. Policy 2022, 24, 2161–2175. [Google Scholar] [CrossRef]
- Baran, P.; Nazarko, M.; Włosińska, E.; Kanciruk, A.; Zarębska, K. Synthesis of Geopolymers Derived from Fly Ash with an Addition of Perlite. J. Clean. Prod. 2021, 293, 126112. [Google Scholar] [CrossRef]
- Singh, N.B. Fly Ash-Based Geopolymer Binder: A Future Construction Material. Minerals 2018, 8, 299. [Google Scholar] [CrossRef]
- Davidovits, J. Geopolymers and Geopolymeric Materials. J. Therm. Anal. 1989, 35, 429–441. [Google Scholar] [CrossRef]
- Khale, D.; Chaudhary, R. Mechanism of Geopolymerization and Factors Influencing Its Development: A Review. J. Mater. Sci. 2007, 42, 729–746. [Google Scholar] [CrossRef]
- Zhang, P.; Gao, Z.; Wang, J.; Guo, J.; Hu, S.; Ling, Y. Properties of Fresh and Hardened Fly Ash/Slag Based Geopolymer Concrete: A Review. J. Clean. Prod. 2020, 270, 122389. [Google Scholar] [CrossRef]
- Colangelo, F.; Farina, I.; Travaglioni, M.; Salzano, C.; Cioffi, R.; Petrillo, A. Eco-Efficient Industrial Waste Recycling for the Manufacturing of Fibre Reinforced Innovative Geopolymer Mortars: Integrated Waste Management and Green Product Development through LCA. J. Clean. Prod. 2021, 312, 127777. [Google Scholar] [CrossRef]
- Jaya, N.A.; Yun-Ming, L.; Cheng-Yong, H.; Abdullah, M.M.A.B.; Hussin, K. Correlation between Pore Structure, Compressive Strength and Thermal Conductivity of Porous Metakaolin Geopolymer. Constr. Build. Mater. 2020, 247, 118641. [Google Scholar] [CrossRef]
- Wang, Y.; Liu, X.; Zhang, W.; Li, Z.; Zhang, Y.; Li, Y.; Ren, Y. Effects of Si/Al Ratio on the Efflorescence and Properties of Fly Ash Based Geopolymer. J. Clean. Prod. 2020, 244, 118852. [Google Scholar] [CrossRef]
- Hamdane, H.; Tamraoui, Y.; Mansouri, S.; Oumam, M.; Bouih, A.; el Ghailassi, T.; Boulif, R.; Manoun, B.; Hannache, H. Effect of Alkali-Mixed Content and Thermally Untreated Phosphate Sludge Dosages on Some Properties of Metakaolin Based Geopolymer Material. Mater. Chem. Phys. 2020, 248, 122938. [Google Scholar] [CrossRef]
- Xu, Z.; Yue, J.; Pang, G.; Li, R.; Zhang, P.; Xu, S. Influence of the Activator Concentration and Solid/Liquid Ratio on the Strength and Shrinkage Characteristics of Alkali-Activated Slag Geopolymer Pastes. Adv. Civ. Eng. 2021, 2021, 6631316. [Google Scholar] [CrossRef]
- Lin, H.; Liu, H.; Li, Y.; Kong, X. Properties and Reaction Mechanism of Phosphoric Acid Activated Metakaolin Geopolymer at Varied Curing Temperatures. Cem. Concr. Res. 2021, 144, 106425. [Google Scholar] [CrossRef]
- Khalifeh, M.; Saasen, A.; Vralstad, T.; Hodne, H. Potential Utilization of Class C Fly Ash-Based Geopolymer in Oil Well Cementing Operations. Cem. Concr. Compos. 2014, 53, 10–17. [Google Scholar] [CrossRef]
- Klima, K.M.; Schollbach, K.; Brouwers, H.J.H.; Yu, Q. Enhancing the Thermal Performance of Class F Fly Ash-Based Geopolymer by Sodalite. Constr. Build. Mater. 2022, 314, 125574. [Google Scholar] [CrossRef]
- Kan, L.; Shi, R.; Zhao, Y.; Duan, X.; Wu, M. Feasibility Study on Using Incineration Fly Ash from Municipal Solid Waste to Develop High Ductile Alkali-Activated Composites. J. Clean. Prod. 2020, 254, 120168. [Google Scholar] [CrossRef]
- Zarębska, K.; Szczurowski, J.; Gazda-Grzywacz, M.; Wróbel, W.; Bator, J.; Baran, P. Geopolymer Building Materials Based on Fly Ash in Terms of Removing SO2, CO2, and Water Vapor. Energies 2023, 16, 5188. [Google Scholar] [CrossRef]
- Beaino, S.; El Hage, P.; Sonnier, R.; Seif, S.; El Hage, R. Novel Foaming-Agent Free Insulating Geopolymer Based on Industrial Fly Ash and Rice Husk. Molecules 2022, 27, 531. [Google Scholar] [CrossRef]
- Reynolds, B.; Reddy, K.J.; Argyle, M.D. Field Application of Accelerated Mineral Carbonation. Minerals 2014, 4, 191–207. [Google Scholar] [CrossRef]
- Chen, J.; Lin, X.; Li, M.; Mao, T.; Li, X.; Yan, J. Heavy Metal Solidification and CO2 Sequestration from MSWI Fly Ash by Calcium Carbonate Oligomer Regulation. J. Clean. Prod. 2022, 359, 132044. [Google Scholar] [CrossRef]
- Rackley, S.A. Mineral Carbonation. In Carbon Capture and Storage, 2nd ed.; Butterworth-Heinemann: Waltham, MA, USA, 2017; pp. 253–282. [Google Scholar] [CrossRef]
- Liu, W.; Teng, L.; Rohani, S.; Qin, Z.; Zhao, B.; Xu, C.C.; Ren, S.; Liu, Q.; Liang, B. CO2 Mineral Carbonation Using Industrial Solid Wastes: A Review of Recent Developments. Chem. Eng. J. 2021, 416, 129093. [Google Scholar] [CrossRef]
- Tamilselvi Dananjayan, R.R.; Kandasamy, P.; Andimuthu, R. Direct Mineral Carbonation of Coal Fly Ash for CO2 Sequestration. J. Clean. Prod. 2016, 112, 4173–4182. [Google Scholar] [CrossRef]
- Rausis, K.; Ćwik, A.; Casanova, I.; Zarębska, K. Carbonation of High-Ca Fly Ashes under Flue Gas Conditions: Implications for Their Valorization in the Construction Industry. Crystals 2021, 11, 1314. [Google Scholar] [CrossRef]
- Sobala, J.; Czuma, N.; Bator, J.; Baran, P.; Zabierowski, P.; Zarębska, K. Scholars International Journal of Chemistry and Material Sciences the Mineral Carbonation Process of High Calcium Fly Ash under Elevated Carbon Dioxide Pressure and Temperature. Sch. Int. J. Chem. Mater. Sci. 2020, 3, 71–77. [Google Scholar] [CrossRef]
- PN-EN 451-1:2017-06-Wersja Angielska. Available online: https://sklep.pkn.pl/pn-en-451-1-2017-06e.html (accessed on 21 April 2023).
- PN-EN 196-1:2016-07-Wersja Polska. Available online: https://sklep.pkn.pl/pn-en-196-1-2016-07p.html (accessed on 21 April 2023).
- Liu, W.; Su, S.; Xu, K.; Chen, Q.; Xu, J.; Sun, Z.; Wang, Y.; Hu, S.; Wang, X.; Xue, Y.; et al. CO2 Sequestration by Direct Gas–Solid Carbonation of Fly Ash with Steam Addition. J. Clean. Prod. 2018, 178, 98–107. [Google Scholar] [CrossRef]
- Siriruang, C.; Toochinda, P.; Julnipitawong, P.; Tangtermsirikul, S. CO2 Capture Using Fly Ash from Coal Fired Power Plant and Applications of CO2-Captured Fly Ash as a Mineral Admixture for Concrete. J. Environ. Manag. 2016, 170, 70–78. [Google Scholar] [CrossRef]
- Gupta, S.; Kashani, A.; Mahmood, A.H.; Han, T. Carbon Sequestration in Cementitious Composites Using Biochar and Fly Ash–Effect on Mechanical and Durability Properties. Constr. Build. Mater. 2021, 291, 123363. [Google Scholar] [CrossRef]
- Miao, E.; Du, Y.; Zheng, X.; Zhang, X.; Xiong, Z.; Zhao, Y.; Zhang, J. Kinetic Analysis on CO2 Sequestration from Flue Gas through Direct Aqueous Mineral Carbonation of Circulating Fluidized Bed Combustion Fly Ash. Fuel 2023, 342, 127851. [Google Scholar] [CrossRef]
- Zhu, M.; Li, Q.; Liang, C.; Ma, Z.; Liu, Z. Mechanistic Investigation for Solidification of Pb in Fly Ash by Alkali Mineral Slag—Calcium Chloroaluminate as an Example. Minerals 2022, 12, 1499. [Google Scholar] [CrossRef]
- Wu, K.; Shi, H.; De Schutter, G.; Guo, X.; Ye, G. Experimental Study on Alinite Ecocement Clinker Preparation from Municipal Solid Waste Incineration Fly Ash. Mater. Struct./Mater. Constr. 2012, 45, 1145–1153. [Google Scholar] [CrossRef]
- Zheng, L.; Wang, C.; Wang, W.; Shi, Y.; Gao, X. Immobilization of MSWI Fly Ash through Geopolymerization: Effects of Water-Wash. Waste Manag. 2011, 31, 311–317. [Google Scholar] [CrossRef]
- Klima, K.M.; Schollbach, K.; Brouwers, H.J.H.; Yu, Q. Thermal and Fire Resistance of Class F Fly Ash Based Geopolymers—A Review. Constr. Build. Mater. 2022, 323, 126529. [Google Scholar] [CrossRef]
- Liu, T.; Li, S.; Chen, Y.; Brouwers, H.J.H.; Yu, Q. In-Situ Formation of Layered Double Hydroxides in MgO–NaAlO2-Activated GGBS / MSWI BA: Impact of Mg2+ on Reaction Mechanism and Leaching Behavior. Cem. Concr. Compos. 2023, 140, 105114. [Google Scholar] [CrossRef]
- Tome, S.; Etoh, M.A.; Etame, J.; Kumar, S. Improved Reactivity of Volcanic Ash Using Municipal Solid Incinerator Fly Ash for Alkali-Activated Cement Synthesis. Waste Biomass Valorization 2020, 11, 3035–3044. [Google Scholar] [CrossRef]
- Marieta, C.; Guerrero, A.; Leon, I. Municipal Solid Waste Incineration Fly Ash to Produce Eco-Friendly Binders for Sustainable Building Construction. Waste Manag. 2021, 120, 114–124. [Google Scholar] [CrossRef]
- EN 450-1:2012; Fly Ash for Concrete-Part 1: Definition, Specifications and Conformity Criteria. NSAI Irish Standard: Dublin, Ireland, 2012.
- Ćwik, A.; Casanova, I.; Rausis, K.; Zarȩbska, K. Utilization of High-Calcium Fly Ashes through Mineral Carbonation: The Cases for Greece, Poland and Spain. J. CO2 Util. 2019, 32, 155–162. [Google Scholar] [CrossRef]
- Tian, Q.; Bai, Y.; Pan, Y.; Chen, C.; Yao, S.; Sasaki, K.; Zhang, H. Application of Geopolymer in Stabilization/Solidification of Hazardous Pollutants: A Review. Molecules 2022, 27, 4570. [Google Scholar] [CrossRef]
- Liu, Z.; Yang, Y.; Zhang, Y.; Yue, Y.; Zhang, J.; Qian, G. Controlling Role of CaClOH in the Process of Dechlorination for Municipal Solid Incineration Fly Ash Utilization. ACS ES T Eng. 2022, 2, 2150–2158. [Google Scholar] [CrossRef]
- Liu, J.; Hu, L.; Tang, L.; Ren, J. Utilisation of Municipal Solid Waste Incinerator (MSWI) Fly Ash with Metakaolin for Preparation of Alkali-Activated Cementitious Material. J. Hazard. Mater. 2021, 402, 123451. [Google Scholar] [CrossRef]
- Wu, W.; Matalkah, F.; Darsanasiri, A.G.N.D.; Soroushian, P. Fluidized Bed Combustion Coal Fly Ash: Comparative Evaluation for Potential Use in Alkali-Activated Binders. Int. J. Coal Prep. Util. 2019, 42, 51–66. [Google Scholar] [CrossRef]
- Rehman, S.K.U.; Imtiaz, L.; Aslam, F.; Khan, M.K.; Haseeb, M.; Javed, M.F.; Alyousef, R.; Alabduljabbar, H. Experimental Investigation of NaOH and KOH Mixture in SCBA-Based Geopolymer Cement Composite. Materials 2020, 13, 3437. [Google Scholar] [CrossRef] [PubMed]
- El Alouani, M.; Alehyen, S.; El Achouri, M.; Hajjaji, A.; Ennawaoui, C.; Taibi, M. Influence of the Nature and Rate of Alkaline Activator on the Physicochemical Properties of Fly Ash-Based Geopolymers. Adv. Civ. Eng. 2020, 2020, 8880906. [Google Scholar] [CrossRef]
- Prasanphan, S.; Hemra, K.; Wannagon, A.; Kobayashi, T.; Onutai, S.; Jiemsirilers, S. 29Si and 27Al NMR Study of the Structural Transformation of Calcined Kaolin Residue-Based Geopolymer Using Low Alkali Activator Content for Sustainable Construction Materials. J. Build. Eng. 2023, 70, 106332. [Google Scholar] [CrossRef]
- Zhao, S.; Muhammad, F.; Yu, L.; Xia, M.; Huang, X.; Jiao, B.; Lu, N.; Li, D. Solidification/Stabilization of Municipal Solid Waste Incineration Fly Ash Using Uncalcined Coal Gangue–Based Alkali-Activated Cementitious Materials. Environ. Sci. Pollut. Res. 2019, 26, 25609–25620. [Google Scholar] [CrossRef]
- Georget, F.; Soja, W.; Scrivener, K.L. Characteristic Lengths of the Carbonation Front in Naturally Carbonated Cement Pastes: Implications for Reactive Transport Models. Cem. Concr. Res. 2020, 134, 106080. [Google Scholar] [CrossRef]
- Ye, H.; Cai, R.; Tian, Z. Natural Carbonation-Induced Phase and Molecular Evolution of Alkali-Activated Slag: Effect of Activator Composition and Curing Temperature. Constr. Build. Mater. 2020, 248, 118726. [Google Scholar] [CrossRef]
- Yan, K.; Gao, F.; Sun, H.; Ge, D.; Yang, S. Effects of Municipal Solid Waste Incineration Fly Ash on the Characterization of Cement-Stabilized Macadam. Constr. Build. Mater. 2019, 207, 181–189. [Google Scholar] [CrossRef]
- Vijaya Prasad, B.; Paul Daniel, A.P.; Anand, N.; Yadav, S.K. Strength and Microstructure Behaviour of High Calcium Fly Ash Based Sustainable Geo Polymer Concrete. J. Eng. Des. Technol. 2022, 20, 436–454. [Google Scholar] [CrossRef]
- Wong, L.S. Durability Performance of Geopolymer Concrete: A Review. Polymers 2022, 14, 868. [Google Scholar] [CrossRef]
- Danish, A.; Ozbakkaloglu, T.; Ali Mosaberpanah, M.; Salim, M.U.; Bayram, M.; Yeon, J.H.; Jafar, K. Sustainability Benefits and Commercialization Challenges and Strategies of Geopolymer Concrete: A Review. J. Build. Eng. 2022, 58, 105005. [Google Scholar] [CrossRef]
- Alhawat, M.; Ashour, A.; Yildirim, G.; Aldemir, A.; Sahmaran, M. Properties of Geopolymers Sourced from Construction and Demolition Waste: A Review. J. Build. Eng. 2022, 50, 104104. [Google Scholar] [CrossRef]
- Prabha, V.C.; Revathi, V.; Sivamurthy Reddy, S. Ambient Cured High Calcium Fly Ash Geopolymer Concrete with Dolomite Powder. Eur. J. Environ. Civ. Eng. 2021, 26, 7857–7877. [Google Scholar] [CrossRef]
- Freire, A.L.; Moura-Nickel, C.D.; Scaratti, G.; De Rossi, A.; Araújo, M.H.; De Noni Júnior, A.; Rodrigues, A.E.; Castellón, E.R.; de Fátima Peralta Muniz Moreira, R. Geopolymers Produced with Fly Ash and Rice Husk Ash Applied to CO2 Capture. J. Clean. Prod. 2020, 273, 122917. [Google Scholar] [CrossRef]
- Han, L.; Wang, X.; Wu, B.; Zhu, S.; Wang, J.; Zhang, Y. In-Situ Synthesis of Zeolite X in Foam Geopolymer as a CO2 Adsorbent. J. Clean. Prod. 2022, 372, 133591. [Google Scholar] [CrossRef]
- Bajpai, R.; Choudhary, K.; Srivastava, A.; Sangwan, K.S.; Singh, M. Environmental Impact Assessment of Fly Ash and Silica Fume Based Geopolymer Concrete. J. Clean. Prod. 2020, 254, 120147. [Google Scholar] [CrossRef]
- Meshram, R.B.; Kumar, S. Comparative Life Cycle Assessment (LCA) of Geopolymer Cement Manufacturing with Portland Cement in Indian Context. Int. J. Environ. Sci. Technol. 2022, 19, 4791–4802. [Google Scholar] [CrossRef]






| Sample | Used Alkali Activation Agent (Hydroxide:Silicate) | Alkali Activation Agent Ratio (Hydroxide:Silicate) |
|---|---|---|
| K3.00/FGT | 8 mol dm−3 KOH:potassium silicate | 3:1 |
| K0.33/FGT | 8 mol dm−3 KOH:potassium silicate | 1:3 |
| Na3.00/FGT | 8 mol dm−3 NaOH:sodium silicate | 3:1 |
| Na0.33/FGT | 8 mol dm−3 NaOH:sodium silicate | 1:3 |
| K3.00/CO2FGT | 8 mol dm−3 KOH:potassium silicate | 3:1 |
| K0.33/CO2FGT | 8 mol dm−3 KOH:potassium silicate | 1:3 |
| Na3.00/CO2FGT | 8 mol dm−3 NaOH:sodium silicate | 3:1 |
| Na0.33/CO2FGT | 8 mol dm−3 NaOH:sodium silicate | 1:3 |
| Sample | Component, wt.% | |||||||||||
|---|---|---|---|---|---|---|---|---|---|---|---|---|
| CaO | Cl | SO3 | K2O | Na2O | ZnO | SiO2 | Fe2O3 | TiO2 | As2O3 | PbO | Br | |
| Fly ashes | ||||||||||||
| FGT | 51.54 | 18.65 | 16.77 | 4.45 | 3.71 | 1.66 | 1.07 | 0.89 | 0.60 | 0.34 | 0.18 | 0.14 |
| CO2FGT | 52.87 | 19.03 | 15.26 | 4.42 | 3.76 | 1.71 | 0.91 | 0.90 | 0.49 | 0.32 | 0.19 | 0.14 |
| FGT-derived alkali-activated materials | ||||||||||||
| K3.00/FGT | 53.00 | 13.44 | 13.99 | 7.77 | 3.49 | 1.71 | 4.68 | 0.79 | 0.47 | 0.33 | 0.18 | 0.15 |
| K0.33/FGT | 53.99 | 13.75 | 10.24 | 11.42 | 3.61 | 0.78 | 5.41 | 0.48 | 0.32 | - | - | - |
| Na3.00/FGT | 55.13 | 12.44 | 12.40 | 4.12 | 7.35 | 1.96 | 4.40 | 0.82 | 0.71 | 0.32 | 0.17 | 0.18 |
| Na0.33/FGT | 51.46 | 12.50 | 12.91 | 3.63 | 10.75 | 1.58 | 5.23 | 0.84 | 0.66 | 0.31 | 0.13 | - |
| CO2FGT-derived alkali-activated materials | ||||||||||||
| K3.00/CO2FGT | 53.54 | 15.23 | 12.30 | 7.47 | 3.64 | 0.96 | 5.83 | 0.53 | 0.28 | - | 0.12 | 0.10 |
| K0.33/CO2FGT | 53.81 | 12.60 | 12.56 | 8.11 | 3.53 | 1.16 | 6.79 | 0.81 | 0.63 | - | - | - |
| Na3.00/CO2FGT | 53.19 | 13.24 | 13.59 | 3.64 | 7.52 | 1.13 | 5.50 | 0.84 | 0.60 | 0.36 | 0.19 | 0.20 |
| Na0.33/CO2FGT | 52.44 | 11.47 | 12.01 | 3.47 | 10.51 | 1.86 | 6.48 | 0.81 | 0.74 | - | - | 0.21 |
Disclaimer/Publisher’s Note: The statements, opinions and data contained in all publications are solely those of the individual author(s) and contributor(s) and not of MDPI and/or the editor(s). MDPI and/or the editor(s) disclaim responsibility for any injury to people or property resulting from any ideas, methods, instructions or products referred to in the content. |
© 2023 by the authors. Licensee MDPI, Basel, Switzerland. This article is an open access article distributed under the terms and conditions of the Creative Commons Attribution (CC BY) license (https://creativecommons.org/licenses/by/4.0/).
Share and Cite
Mokrzycki, J.; Baran, P.; Gazda-Grzywacz, M.; Bator, J.; Wróbel, W.; Zarębska, K. Decarbonatization of Energy Sector by CO2 Sequestration in Waste Incineration Fly Ash and Its Utilization as Raw Material for Alkali Activation. Materials 2023, 16, 6094. https://doi.org/10.3390/ma16186094
Mokrzycki J, Baran P, Gazda-Grzywacz M, Bator J, Wróbel W, Zarębska K. Decarbonatization of Energy Sector by CO2 Sequestration in Waste Incineration Fly Ash and Its Utilization as Raw Material for Alkali Activation. Materials. 2023; 16(18):6094. https://doi.org/10.3390/ma16186094
Chicago/Turabian StyleMokrzycki, Jakub, Paweł Baran, Magdalena Gazda-Grzywacz, Jakub Bator, Wojciech Wróbel, and Katarzyna Zarębska. 2023. "Decarbonatization of Energy Sector by CO2 Sequestration in Waste Incineration Fly Ash and Its Utilization as Raw Material for Alkali Activation" Materials 16, no. 18: 6094. https://doi.org/10.3390/ma16186094
APA StyleMokrzycki, J., Baran, P., Gazda-Grzywacz, M., Bator, J., Wróbel, W., & Zarębska, K. (2023). Decarbonatization of Energy Sector by CO2 Sequestration in Waste Incineration Fly Ash and Its Utilization as Raw Material for Alkali Activation. Materials, 16(18), 6094. https://doi.org/10.3390/ma16186094

