Physical, Mechanical, and Microstructure Characteristics of Ultra-High-Performance Concrete Containing Lightweight Aggregates
Abstract
1. Introduction
2. Experimental Program
2.1. Materials
Cement
2.2. Development of Samples and Mix Design
2.3. Characterization of Tests
3. Results and Discussion
3.1. Workability of UHPC
3.2. Density
3.3. Mass Loss in UHPC
3.4. Compressive Strength
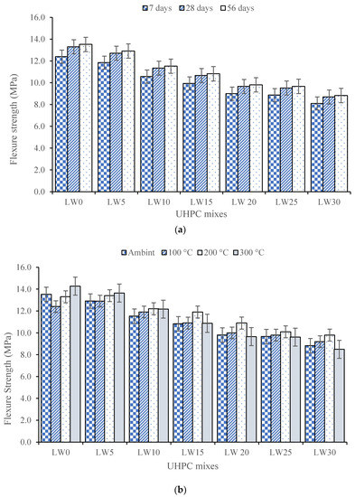
3.5. Flexure Strength
3.6. Porosity
3.7. Pore Structure
3.8. Shrinkage
3.9. Thermal Analysis
3.10. X-ray Diffraction Analysis
3.11. Scanning Electron Microscopic Analysis
4. Conclusions
- Raising lightweight aggregates from 5% to 30% improves UHPC flowability, with the 30% mixtures showcasing exceptional flowability. This remarkable increase is due to the unique physical properties of lightweight aggregates.
- As lightweight fine aggregates increased from 5% to 30%, the UHPC density decreased, with 30% mixtures showing the lowest density. Lightweight aggregates’ lower specific gravity and higher porosity reduced overall density. Including 30% lightweight aggregates lowered the concrete density from 2310 kg/m3 to 2005 kg/m3.
- The test results indicate that increasing lightweight aggregates from 0% to 30% reduces compressive strength at all curing durations. At 56 days, the 5% and 10% LWA samples increased strength by 4% and 1.31% compared to the 0% LWA, but subsequently declined.
- The UHPC with the lightweight pumice aggregate had reduced compressive strength at all curing days and elevated temperatures. Yet, samples exposed to higher temperatures showed greater strength than ambient conditions at every replacement level. At LW30, 200 °C yielded 96 MPa, while an ambient temperature achieved 92.5 MPa.
- The flexure tests show that increasing the LWA percentage from 0% to 30% reduces flexural strength at each curing duration. At 56 days, flexure strength dropped by 34.81% from the 0% to 30% LWA. The LW30 samples exposed to 200 °C had 9.8 MPa flexural strength, 10.2% higher than the ambient-condition samples at 8.8 MPa.
- The observation at 56 days of hydration revealed that the composite porosity was higher for the sample containing 30% lightweight aggregates than those with 0% and 15% lightweight aggregates.
- The UHPC mass reduction with increased lightweight aggregate percentage is due to thermal behavior. Lightweight aggregates exhibit higher thermal expansion, decreasing the UHPC density and mass.
- The XRD spectra reveal that the UHPC crystallinity decreases with pumice replacing fine aggregates. The 0% pumice sample has the highest crystallinity, shown by peak portlandite, calcium-silicate-hydrate, and ettringite intensities. With 15% and 30% pumice replacements, the crystallinity and peak intensities decrease, indicating fewer highly crystalline phases.
- The SEM analysis of the UHPC specimens with varying percentages of the LWA reveals changes in their microstructure. The samples with 30% LWA have a denser microstructure due to the continuous hydration triggered by water stored in the LWA, resulting in improved paste performance near the aggregates.
- Heating the UHPC specimens improves their microstructure, triggering further hydration and better bonding between matrix and aggregates and improving strength and durability.
Funding
Institutional Review Board Statement
Informed Consent Statement
Data Availability Statement
Acknowledgments
Conflicts of Interest
References
- Alanazi, H.; Elalaoui, O.; Adamu, M.; Alaswad, S.O.; Ibrahim, Y.E.; Abadel, A.A.; Al Fuhaid, A.F. Mechanical and Microstructural Properties of Ultra-High Performance Concrete with Lightweight Aggregates. Buildings 2022, 12, 1783. [Google Scholar] [CrossRef]
- Ahmad, J.; Zaid, O.; Aslam, F.; Shahzaib, M.; Ullah, R.; Alabduljabbar, H.; Khedher, K.M. A Study on the Mechanical Characteristics of Glass and Nylon Fiber Reinforced Peach Shell Lightweight Concrete. Materials 2021, 14, 4488. [Google Scholar] [CrossRef] [PubMed]
- Schmidt, M.F. Sustainable building with ultra-high performance concrete (UHPC)—Coordinated research program in Germany. In Proceedings of the Hipermat 2012 3rd International Symposium on UHPC and Nanotechnology for High Performance Construction Materials, Kassel, Germany, 7–9 March 2012; Schmidt, M., Fehling, E., Glotzbach, C., Fröhlich, S., Piotrowski, S., Eds.; Kassel University Press: Kassel, Germany, 2013. [Google Scholar]
- Abadel, A.A.; Alharbi, Y.R. Confinement effectiveness of CFRP strengthened ultra-high performance concrete cylinders exposed to elevated temperatures. Mater. Sci. 2021, 39, 478–490. [Google Scholar] [CrossRef]
- Abbas, S.; Nehdi, M.L.; Saleem, M.A. Ultra-High Performance Concrete: Mechanical Performance, Durability, Sustainability and Implementation Challenges. Int. J. Concr. Struct. Mater. 2016, 10, 271–295. [Google Scholar] [CrossRef]
- Kathirvel, P.; Sreekumaran, S. Sustainable development of ultra high performance concrete using geopolymer technology. J. Build. Eng. 2021, 39, 102267. [Google Scholar] [CrossRef]
- Abdulkareem, O.M.; Ben Fraj, A.; Bouasker, M.; Khelidj, A. Mixture design and early age investigations of more sustainable UHPC. Constr. Build. Mater. 2018, 163, 235–246. [Google Scholar] [CrossRef]
- Abdal, S.; Mansour, W.; Agwa, I.; Nasr, M.; Abadel, A.; Özkılıç, Y.O.; Akeed, M.H. Application of Ultra-High-Performance Concrete in Bridge Engineering: Current Status, Limitations, Challenges, and Future Prospects. Buildings 2023, 13, 185. [Google Scholar] [CrossRef]
- Zhu, L.; Wang, J.-J.; Li, X.; Zhao, G.-Y.; Huo, X.-J. Experimental and numerical study on creep and shrinkage effects of ultra high-performance concrete beam. Compos. Part B Eng. 2020, 184, 107713. [Google Scholar] [CrossRef]
- Li, W.; Huang, Z.; Hu, G.; Duan, W.H.; Shah, S.P. Early-age shrinkage development of ultra-high-performance concrete under heat curing treatment. Constr. Build. Mater. 2017, 131, 767–774. [Google Scholar] [CrossRef]
- Wang, X.; Yu, R.; Shui, Z.; Song, Q.; Liu, Z.; Bao, M.; Liu, Z.; Wu, S. Optimized treatment of recycled construction and demolition waste in developing sustainable ultra-high performance concrete. J. Clean. Prod. 2019, 221, 805–816. [Google Scholar] [CrossRef]
- Zaid, O.; Ahmad, J.; Siddique, M.S.; Aslam, F. Effect of Incorporation of Rice Husk Ash Instead of Cement on the Performance of Steel Fibers Reinforced Concrete. Front. Mater. 2021, 8, 14–28. [Google Scholar] [CrossRef]
- Maglad, A.M.; Zaid, O.; Arbili, M.M.; Ascensão, G.; Șerbănoiu, A.A.; Grădinaru, C.M.; García, R.M.; Qaidi, S.M.A.; Althoey, F.; de Prado-Gil, J. A Study on the Properties of Geopolymer Concrete Modified with Nano Graphene Oxide. Buildings 2022, 12, 1066. [Google Scholar] [CrossRef]
- Althoey, F.; Zaid, O.; Martínez-García, R.; Alsharari, F.; Ahmed, M.; Arbili, M.M. Impact of Nano-silica on the hydration, strength, durability, and microstructural properties of concrete: A state-of-the-art review. Case Stud. Constr. Mater. 2023, 18, e01997. [Google Scholar] [CrossRef]
- Zaid, O.; Martínez-García, R.; Aslam, F. Influence of Wheat Straw Ash as Partial Substitute of Cement on Properties of High-Strength Concrete Incorporating Graphene Oxide. J. Mater. Civ. Eng. 2022, 34, 04022295. [Google Scholar] [CrossRef]
- Ahmad, J.; Zaid, O.; Pérez, C.L.-C.; Martínez-García, R.; López-Gayarre, F. Experimental Research on Mechanical and Permeability Properties of Nylon Fiber Reinforced Recycled Aggregate Concrete with Mineral Admixture. Appl. Sci. 2022, 12, 554. [Google Scholar] [CrossRef]
- Althoey, F.; Zaid, O.; Alsharari, F.; Yosri, A.M.; Isleem, H.F. Evaluating the impact of nano-silica on characteristics of self-compacting geopolymer concrete with waste tire steel fiber. Arch. Civ. Mech. Eng. 2022, 23, 48. [Google Scholar] [CrossRef]
- Bentz, D.P.; Lura, P.; Roberts, J.W. Mixture proportioning for internal curing. Concr. Int. 2005, 27, 35–40. [Google Scholar]
- la Varga, I.; Graybeal, B. Dimensional Stability of Grout-Type Materials Used as Connections for Prefabricated Bridge Elements. J. Mater. Civ. Eng. 2016, 27, 04014246. [Google Scholar] [CrossRef]
- Althoey, F.; Zaid, O.; Martínez-García, R.; de Prado-Gil, J.; Ahmed, M.; Yosri, A. Ultra-high-performance fiber-reinforced sustainable concrete modified with silica fume and wheat straw ash. J. Mater. Res. Technol. 2023, 24, 6118–6139. [Google Scholar] [CrossRef]
- Zaid, O.; Hashmi, S.R.Z.; El Ouni, M.H.; Martínez-García, R.; de Prado-Gil, J.; Yousef, S.E.A. Experimental and analytical study of ultra-high-performance fiber-reinforced concrete modified with egg shell powder and nano-silica. J. Mater. Res. Technol. 2023, 24, 7162–7188. [Google Scholar] [CrossRef]
- Zaid, O.; Alsharari, F.; Althoey, F.; Elhag, A.B.; Hadidi, H.M.; Abuhussain, M.A. Assessing the performance of palm oil fuel ash and Lytag on the development of ultra-high-performance self-compacting lightweight concrete with waste tire steel fibers. J. Build. Eng. 2023, 76, 107112. [Google Scholar] [CrossRef]
- Amin, M.; Tayeh, B.A.; Agwa, I.S. Investigating the mechanical and microstructure properties of fibre-reinforced lightweight concrete under elevated temperatures. Case Stud. Constr. Mater. 2020, 13, e00459. [Google Scholar] [CrossRef]
- Meng, W.; Khayat, K. Effects of saturated lightweight sand content on key characteristics of ultra-high-performance concrete. Cem. Concr. Res. 2017, 101, 46–54. [Google Scholar] [CrossRef]
- Yazıcı, H.; Yardımcı, M.Y.; Yiğiter, H.; Aydın, S.; Türkel, S. Mechanical properties of reactive powder concrete containing high volumes of ground granulated blast furnace slag. Cem. Concr. Compos. 2010, 32, 639–648. [Google Scholar] [CrossRef]
- Aydın, S.; Baradan, B. Effect of pumice and fly ash incorporation on high temperature resistance of cement based mortars. Cem. Concr. Res. 2007, 37, 988–995. [Google Scholar] [CrossRef]
- Ahmed, A.; Ali, A.; Elkatatny, S.; Abdulraheem, A. New Artificial Neural Networks Model for Predicting Rate of Penetration in Deep Shale Formation. Sustainability 2019, 11, 6527. [Google Scholar] [CrossRef]
- Perumal, R.; Nagamani, K. Tensile strength and durability characteristics of high-performance fiber reinforced concrete. Arab. J. Sci. Eng. 2006, 33, 307–319. [Google Scholar]
- Golewski, G.L. Green concrete composite incorporating fly ash with high strength and fracture toughness. J. Clean. Prod. 2018, 172, 218–226. [Google Scholar] [CrossRef]
- Golias, M.; Castro, J.; Weiss, J. The influence of the initial moisture content of lightweight aggregate on internal curing. Constr. Build. Mater. 2012, 35, 52–62. [Google Scholar] [CrossRef]
- Shen, P.; Lu, J.-X.; Lu, L.; He, Y.; Wang, F.; Hu, S. An alternative method for performance improvement of ultra-high performance concrete by internal curing: Role of physicochemical properties of saturated lightweight fine aggregate. Constr. Build. Mater. 2021, 312, 125373. [Google Scholar] [CrossRef]
- Liu, Y.; Wei, Y. Effect of calcined bauxite powder or aggregate on the shrinkage properties of UHPC. Cem. Concr. Compos. 2021, 118, 103967. [Google Scholar] [CrossRef]
- Liu, Y.; Wei, Y. Internal Curing by Porous Calcined Bauxite Aggregate in Ultrahigh-Performance Concrete. J. Mater. Civ. Eng. 2021, 33, 04020497. [Google Scholar] [CrossRef]
- Dong, E.; Yu, R.; Fan, D.; Chen, Z.; Ma, X. Absorption-desorption process of internal curing water in ultra-high performance concrete (UHPC) incorporating pumice: From relaxation theory to dynamic migration model. Cem. Concr. Compos. 2022, 133, 104659. [Google Scholar] [CrossRef]
- Kazemian, M.; Shafei, B. Internal curing capabilities of natural zeolite to improve the hydration of ultra-high performance concrete. Constr. Build. Mater. 2022, 340, 127452. [Google Scholar] [CrossRef]
- Abadel, A.A.; Abbas, H.; Alshaikh, I.M.; Sennah, K.; Tuladhar, R.; Altheeb, A.; Alamri, M. Experimental study on the effects of external strengthening and elevated temperature on the shear behavior of ultra-high-performance fiber-reinforced concrete deep beams. Structures 2023, 49, 943–957. [Google Scholar] [CrossRef]
- Klimek, A.; Stelzner, L.; Hothan, S.; Rogge, A. Fire induced concrete spalling in combination with size effects. Mater. Struct. 2022, 55, 216. [Google Scholar] [CrossRef]
- Kodur, V. Fiber reinforcement for minimizing spalling in HSC structural members exposed to fire. Innov. Fibre-Reinf. Concr. Value 2003, 216, 221–236. [Google Scholar]
- Amran, M.; Huang, S.-S.; Onaizi, A.M.; Murali, G.; Abdelgader, H.S. Fire spalling behavior of high-strength concrete: A critical review. Constr. Build. Mater. 2022, 341, 27902. [Google Scholar] [CrossRef]
- So, H.-S. Properties of Strength and Pore Structure of Reactive Powder Concrete Exposed to High Temperature. ACI Mater. J. 2014, 111, 335–346. [Google Scholar] [CrossRef]
- Richard, P.; Cheyrezy, M. Composition of reactive powder concretes. Cem. Concr. Res. 1995, 25, 1501–1511. [Google Scholar] [CrossRef]
- Phan, L.T.; Carino, N.J. Fire Performance of High Strength Concrete: Research Needs. In Advanced Technology in Structural Engineering; National Institute of Standards and Technology: Gaithersburg, MS, USA, 2000. [Google Scholar] [CrossRef]
- Sohail, M.G.; Kahraman, R.; Al Nuaimi, N.; Gencturk, B.; Alnahhal, W. Durability characteristics of high and ultra-high performance concretes. J. Build. Eng. 2021, 33, 101669. [Google Scholar] [CrossRef]
- Wen, C.; Zhang, P.; Wang, J.; Hu, S. Influence of fibers on the mechanical properties and durability of ultra-high-performance concrete: A review. J. Build. Eng. 2022, 52, 104370. [Google Scholar] [CrossRef]
- ASTM C143/C143M-15a; Standard Test Method for Slump of Hydraulic-Cement Concrete. ASTM International: West Conshohocken, PA, USA, 2015.
- ASTM C39/C39M-17. A-C; Standard Test Method for Compressive Strength of Cylindrical Concrete Specimens. ASTM International: West Conshohocken, PA, USA, 2017.
- ASTM C78/C78M-22; Standard Test Method for Flexural Strength of Concrete (Using Simple Beam with Third-Point Loading). American Society for Testing and Materials: West Conshohocken, PA, USA, 2010; pp. 12959–19428.
- Yu, W.; Jin, L.; Du, X. Experimental study on compression failure characteristics of basalt fiber-reinforced lightweight aggregate concrete: Influences of strain rate and structural size. Cem. Concr. Compos. 2023, 138, 104985. [Google Scholar] [CrossRef]
- Polat, R.; Demirboğa, R.; Karakoç, M.B.; Türkmen, I. The influence of lightweight aggregate on the physico-mechanical properties of concrete exposed to freeze–thaw cycles. Cold Reg. Sci. Technol. 2010, 60, 51–56. [Google Scholar] [CrossRef]
- Zhutovsky, S.; Kovler, K. Effect of internal curing on durability-related properties of high performance concrete. Cem. Concr. Res. 2012, 42, 20–26. [Google Scholar] [CrossRef]
- Salmasi, F.; Mostofinejad, D. Investigating the effects of bacterial activity on compressive strength and durability of natural lightweight aggregate concrete reinforced with steel fibers. Constr. Build. Mater. 2020, 251, 119032. [Google Scholar] [CrossRef]
- Prakash, R.; Thenmozhi, R.; Raman, S.N.; Subramanian, C.; Divyah, N. An investigation of key mechanical and durability properties of coconut shell concrete with partial replacement of fly ash. Struct. Concr. 2020, 22, E985–E996. [Google Scholar] [CrossRef]
- Alengaram, U.J.; Al Muhit, B.A.; bin Jumaat, M.Z.; Jing, M.L.Y. A comparison of the thermal conductivity of oil palm shell foamed concrete with conventional materials. Mater. Des. 2013, 51, 522–529. [Google Scholar] [CrossRef]
- Aslani, F.; Ma, G.; Wan, D.L.Y.; Muselin, G. Development of high-performance self-compacting concrete using waste recycled concrete aggregates and rubber granules. J. Clean. Prod. 2018, 182, 553–566. [Google Scholar] [CrossRef]
- Lee, N.; Koh, K.; Park, S.; Ryu, G. Microstructural investigation of calcium aluminate cement-based ultra-high performance concrete (UHPC) exposed to high temperatures. Cem. Concr. Res. 2017, 102, 109–118. [Google Scholar] [CrossRef]
- Yalçınkaya, Ç.; Çopuroğlu, O. Hydration heat, strength and microstructure characteristics of UHPC containing blast furnace slag. J. Build. Eng. 2021, 34, 101915. [Google Scholar] [CrossRef]
- Zhang, D.; Tan, K.H. Effect of various polymer fibers on spalling mitigation of ultra-high performance concrete at high temperature. Cem. Concr. Compos. 2020, 114, 103815. [Google Scholar] [CrossRef]
- Tang, J.; Ma, W.; Pang, Y.; Fan, J.; Liu, D.; Zhao, L.; Sheikh, S.A. Uniaxial compression performance and stress–strain constitutive model of the aluminate cement-based UHPC after high temperature. Constr. Build. Mater. 2021, 309, 125173. [Google Scholar] [CrossRef]
- Gu, H. Compressive behaviours and failure modes of concrete cylinders reinforced by glass fabric. Mater. Des. 2006, 27, 601–604. [Google Scholar] [CrossRef]
- Gündüz, L. The effects of pumice aggregate/cement ratios on the low-strength concrete properties. Constr. Build. Mater. 2008, 22, 721–728. [Google Scholar] [CrossRef]
- Ismail, A.I.M.; Elmaghraby, M.S.; Mekky, H.S. Engineering Properties, Microstructure and Strength Development of Lightweight Concrete Containing Pumice Aggregates. Geotech. Geol. Eng. 2013, 31, 1465–1476. [Google Scholar] [CrossRef]
- Meng, L.; Zhang, C.; Wei, J.; Li, L.; Liu, J.; Wang, S.; Ding, Y. Mechanical properties and microstructure of ultra-high strength concrete with lightweight aggregate. Case Stud. Constr. Mater. 2023, 18, e01745. [Google Scholar] [CrossRef]
- Agwa, I.S.; Omar, O.M.; Tayeh, B.A.; Abdelsalam, B.A. Effects of using rice straw and cotton stalk ashes on the properties of lightweight self-compacting concrete. Constr. Build. Mater. 2019, 235, 117541. [Google Scholar] [CrossRef]
- El-Sayed, T.A. Improving the performance of UHPC columns exposed to axial load and elevated temperature. Case Stud. Constr. Mater. 2021, 15, e00748. [Google Scholar] [CrossRef]
- Li, Y.; Tan, K.H.; Yang, E.-H. Synergistic effects of hybrid polypropylene and steel fibers on explosive spalling prevention of ultra-high performance concrete at elevated temperature. Cem. Concr. Compos. 2018, 96, 174–181. [Google Scholar] [CrossRef]
- Liang, X.; Wu, C.; Su, Y.; Chen, Z.; Li, Z. Development of ultra-high performance concrete with high fire resistance. Constr. Build. Mater. 2018, 179, 400–412. [Google Scholar] [CrossRef]
- Li, Y.; Tan, K.H.; Yang, E.-H. Influence of aggregate size and inclusion of polypropylene and steel fibers on the hot permeability of ultra-high performance concrete (UHPC) at elevated temperature. Constr. Build. Mater. 2018, 169, 629–637. [Google Scholar] [CrossRef]
- He, Z.-H.; Du, S.-G.; Chen, D. Microstructure of ultra high performance concrete containing lithium slag. J. Hazard. Mater. 2018, 353, 35–43. [Google Scholar] [CrossRef] [PubMed]
- Zhuang, Y.-Z.; Zheng, D.-D.; Ng, Z.; Ji, T.; Chen, X.-F. Effect of lightweight aggregate type on early-age autogenous shrinkage of concrete. Constr. Build. Mater. 2016, 120, 373–381. [Google Scholar] [CrossRef]
- Kahanji, C.; Ali, F.; Nadjai, A.; Alam, N. Effect of curing temperature on the behaviour of UHPFRC at elevated temperatures. Constr. Build. Mater. 2018, 182, 670–681. [Google Scholar] [CrossRef]
- Lu, J.-X.; Ali, H.A.; Jiang, Y.; Guan, X.; Shen, P.; Chen, P.; Poon, C.S. A novel high-performance lightweight concrete prepared with glass-UHPC and lightweight microspheres: Towards energy conservation in buildings. Compos. Part B Eng. 2022, 247, 110295. [Google Scholar] [CrossRef]
- Ahmad, S.; Rasul, M.; Adekunle, S.K.; Al-Dulaijan, S.U.; Maslehuddin, M.; Ali, S.I. Mechanical properties of steel fiber-reinforced UHPC mixtures exposed to elevated temperature: Effects of exposure duration and fiber content. Compos. Part B Eng. 2018, 168, 291–301. [Google Scholar] [CrossRef]
- Guo, P.; Meng, W.; Du, J.; Stevenson, L.; Han, B.; Bao, Y. Lightweight ultra-high-performance concrete (UHPC) with expanded glass aggregate: Development, characterization, and life-cycle assessment. Constr. Build. Mater. 2023, 371, 130441. [Google Scholar] [CrossRef]
- Yang, L.; Fulin, Y.; Gaozhan, Z. Synergistic effects of sustained loading and sulfate attack on the damage of UHPC based on lightweight aggregate. Constr. Build. Mater. 2023, 374, 130929. [Google Scholar] [CrossRef]
- Rashad, A.M. A short manual on natural pumice as a lightweight aggregate. J. Build. Eng. 2019, 25, 100802. [Google Scholar] [CrossRef]
- Muhtar Performance-based experimental study into quality zones of lightweight concrete using pumice aggregates. Case Stud. Constr. Mater. 2023, 18, e01960. [CrossRef]
- Sun, Y.; Yu, R.; Shui, Z.; Wang, X.; Qian, D.; Rao, B.; Huang, J.; He, Y. Understanding the porous aggregates carrier effect on reducing autogenous shrinkage of Ultra-High Performance Concrete (UHPC) based on response surface method. Constr. Build. Mater. 2019, 222, 130–141. [Google Scholar] [CrossRef]
- Karthika, R.; Vidyapriya, V.; Sri, K.N.; Beaula, K.M.G.; Harini, R.; Sriram, M. Experimental study on lightweight concrete using pumice aggregate. Mater. Today Proc. 2021, 43, 1606–1613. [Google Scholar] [CrossRef]
- Kheir, J.; Klausen, A.; Hammer, T.; De Meyst, L.; Hilloulin, B.; Van Tittelboom, K.; Loukili, A.; De Belie, N. Early age autogenous shrinkage cracking risk of an ultra-high performance concrete (UHPC) wall: Modelling and experimental results. Eng. Fract. Mech. 2021, 257, 108024. [Google Scholar] [CrossRef]
- Hariyadi; Tamai, H. Enhancing the Performance of Porous Concrete by Utilizing the Pumice Aggregate. Procedia Eng. 2015, 125, 732–738. [Google Scholar] [CrossRef]
- Hossain, K.; Ahmed, S.; Lachemi, M. Lightweight concrete incorporating pumice based blended cement and aggregate: Mechanical and durability characteristics. Constr. Build. Mater. 2011, 25, 1186–1195. [Google Scholar] [CrossRef]
- Zhang, G.-Z.; Cho, H.-K.; Wang, X.-Y. Effect of Nano-Silica on the Autogenous Shrinkage, Strength, and Hydration Heat of Ultra-High Strength Concrete. Appl. Sci. 2020, 10, 5202. [Google Scholar] [CrossRef]
- Flietstra, J. Creep and Shrinkage Behavior of Ultra High-Performance Concrete under Compressive Loading with Varying Curing Regimes. Master’s Thesis, Michigan Technological University, Houghton, MI, USA, 2011. [Google Scholar]
- Yoo, D.-Y.; Min, K.-H.; Lee, J.-H.; Yoon, Y.-S. Shrinkage and cracking of restrained ultra-high-performance fiber-reinforced concrete slabs at early age. Constr. Build. Mater. 2014, 73, 357–365. [Google Scholar] [CrossRef]
- Luhar, S.; Cheng, T.-W.; Nicolaides, D.; Luhar, I.; Panias, D.; Sakkas, K. Valorisation of glass wastes for the development of geopolymer composites—Durability, thermal and microstructural properties: A review. Constr. Build. Mater. 2019, 222, 673–687. [Google Scholar] [CrossRef]
- Farina, I.; Moccia, I.; Salzano, C.; Singh, N.; Sadrolodabaee, P.; Colangelo, F. Compressive and Thermal Properties of Non-Structural Lightweight Concrete Containing Industrial Byproduct Aggregates. Materials 2022, 15, 4029. [Google Scholar] [CrossRef]
- Lim, J.L.G.; Raman, S.N.; Safiuddin, M.; Zain, M.F.M.; Hamid, R. Autogenous Shrinkage, Microstructure, and Strength of Ultra-High Performance Concrete Incorporating Carbon Nanofibers. Materials 2019, 12, 320. [Google Scholar] [CrossRef] [PubMed]
- Akeed, M.H.; Qaidi, S.; Ahmed, H.U.; Faraj, R.H.; Mohammed, A.S.; Emad, W.; Tayeh, B.A.; Azevedo, A.R. Ultra-high-performance fiber-reinforced concrete. Part II: Hydration and microstructure. Case Stud. Constr. Mater. 2022, 17, e01289. [Google Scholar] [CrossRef]
- Amin, M.; Zeyad, A.M.; Tayeh, B.A.; Agwa, I.S. Effect of ferrosilicon and silica fume on mechanical, durability, and microstructure characteristics of ultra high-performance concrete. Constr. Build. Mater. 2021, 320, 126233. [Google Scholar] [CrossRef]
- Song, M.; Wang, C.; Cui, Y.; Li, Q.; Gao, Z. Mechanical Performance and Microstructure of Ultra-High-Performance Concrete Modified by Calcium Sulfoaluminate Cement. Adv. Civ. Eng. 2021, 2021, 4002536. [Google Scholar] [CrossRef]
- Bideci, Ö.S. The effect of high temperature on lightweight concretes produced with colemanite coated pumice aggregates. Constr. Build. Mater. 2016, 113, 631–640. [Google Scholar] [CrossRef]













| Content, % | ||
|---|---|---|
| Oxide, % | OPC | Silica Fume |
| Silicon Dioxide (SiO2) | 23 | 98.9 |
| Calcium Oxide (CaO) | 63.5 | 0.1 |
| Aluminum Oxide (Al2O3) | 4.5 | 0.1 |
| Ferric Oxide (Fe2O3) | 3.6 | 0.1 |
| Magnesium Oxide (MgO) | 2.3 | 0.1 |
| Sulfur Trioxide (SO3) | 2.1 | 0.1 |
| Sodium Oxide (Na2O) | 0.3 | 0.1 |
| Potassium Oxide (K2O) | 0.2 | 0.1 |
| Calcium Sulfate (CaSO4) | 0.4 | N/A |
| Loss on Ignition | 0.1 | 0.4 |
| Mix ID | Cement | Silica Fume | Water | Sand | LWA | HRWR | Steel Fiber |
|---|---|---|---|---|---|---|---|
| LW0 | 900 | 221 | 192 | 990 | 0 | 30 | 78 |
| LW5 | 900 | 221 | 192 | 950 | 41 | 30 | 78 |
| LW10 | 900 | 221 | 192 | 909 | 81 | 30 | 78 |
| LW15 | 900 | 221 | 192 | 869 | 122 | 30 | 78 |
| LW20 | 900 | 221 | 192 | 828 | 162 | 30 | 78 |
| LW25 | 900 | 221 | 192 | 788 | 203 | 30 | 78 |
| LW30 | 900 | 221 | 192 | 828 | 162 | 30 | 78 |
Disclaimer/Publisher’s Note: The statements, opinions and data contained in all publications are solely those of the individual author(s) and contributor(s) and not of MDPI and/or the editor(s). MDPI and/or the editor(s) disclaim responsibility for any injury to people or property resulting from any ideas, methods, instructions or products referred to in the content. |
© 2023 by the author. Licensee MDPI, Basel, Switzerland. This article is an open access article distributed under the terms and conditions of the Creative Commons Attribution (CC BY) license (https://creativecommons.org/licenses/by/4.0/).
Share and Cite
Abadel, A.A. Physical, Mechanical, and Microstructure Characteristics of Ultra-High-Performance Concrete Containing Lightweight Aggregates. Materials 2023, 16, 4883. https://doi.org/10.3390/ma16134883
Abadel AA. Physical, Mechanical, and Microstructure Characteristics of Ultra-High-Performance Concrete Containing Lightweight Aggregates. Materials. 2023; 16(13):4883. https://doi.org/10.3390/ma16134883
Chicago/Turabian StyleAbadel, Aref A. 2023. "Physical, Mechanical, and Microstructure Characteristics of Ultra-High-Performance Concrete Containing Lightweight Aggregates" Materials 16, no. 13: 4883. https://doi.org/10.3390/ma16134883
APA StyleAbadel, A. A. (2023). Physical, Mechanical, and Microstructure Characteristics of Ultra-High-Performance Concrete Containing Lightweight Aggregates. Materials, 16(13), 4883. https://doi.org/10.3390/ma16134883

