Abstract
Highlights
- Orthorhombic Eu1−xYxMnO3 (0.0 ≤ x ≤ 0.5) thin films were successfully synthesized by spin-coating.
- The film phase evidences an additional contribution to lattice strain with increasing Y-content.
- Appreciable modification of magnetic response from bulks to films due to structural distortions.
Abstract
The effects on the structure and magnetic properties of Eu1−xYxMnO3 (0.0 ≤ x ≤ 0.5) thin films due to lattice strain were investigated and compared with those obtained in equivalent composition ceramics. The films were deposited by spin-coating chemical solution onto Pt\TiO2\SiO2\Si (100) standard substrates. X-ray diffraction and Raman spectroscopy measurements revealed that all films crystallize in orthorhombic structure with space group Pnma, observing an added contraction of the unit cell with increasing Y-substitution ou Eu, corresponding to a broadening of the Mn-O1-Mn angle and a gradual decrease in magnetic order response.
1. Introduction
Transition metal oxides have many fascinating physical properties, such as high temperature, superconductivity, piezoelectricity, ferroelectricity, magnetism, and multiferroicity. Hence, these materials are still objects of intense scientific, engineering, and economic interest, considering the extensive technological applications already in use and further yet to be discovered. Rare-earth manganites RMnO3 are among some of the most relevant functional oxide materials, mainly due to intrinsic strong correlated electron mechanisms, leading to exhibiting structural-orbital-magnetic-electric coupling effects. In particular, it can be used for barriers and interfaces in controlled spin transport devices [,,,,,]. According to the ionic radius of rare earth elements, the manganites can exhibit two main distinct structural symmetries. The perovskite-like orthorhombic phase, comprising a network of octahedral MnO6 building blocks, surrounds relatively larger R3+ cations from La to Dy. In particular, systems like GdMnO3, TbMnO3, and DyMnO3 reveal magnetoelectric properties owed to competitive ferromagnetic (FM) and antiferromagnetic (AFM) exchanges. In such cases, the Mn-O1-Mn angle is considered the primary order parameter to understand the modulated spin-lattice coupling mediated ferroelectric (FE) ground states [,]. The hexagonal space group can be found in the RMnO3 systems of smaller R3+ cations, including Lu, Y, and Sc [,,,,,]. These compounds are based on MnO5 layers and present only AFM order at low temperatures due to weak spin-orbit coupling (<90 K). Nonetheless, the FE order prevails up to substantial high temperatures. In addition to ionic displacements in these systems, other complex mechanisms related to exchange effects of electron orbital polarization contribute to the ferroelectric state [,,,]. In this particular case, the Eu1−xYxMnO3 system can exhibit both the orthorhombic (x ≤ 0.5) and hexagonal phase (x > 0.5), allowing the possibility of tuning the magnetic and polar phases through manipulation of the A-site size, the partial substitution of larger Eu3+ ions for smaller isovalent Y3+ ions without increasing the R-site magnetic complexity. The variation of the Mn-O1-Mn bond angle in these systems is also associated with the development of complex magnetic states and ferroelectric phases, leading to the magnetoelectric properties exhibited by this system [,,]. The Eu1−xYxMnO3 compound shows the characteristics of a paramagnetic to an incommensurate antiferromagnetic phase (AFM-1) at Néel temperature (TN), varying monotonously from 52−45 K (x = 0) to 45 K (x = 0.50) [,]. For x < 0.1, a transition from the AFM-1 to a canted A-type antiferromagnetic phase occurs at 43 K (x = 0) to 33 K (x = 0.1) []; next while it emerges for x < 0.25 []. For the compositions 0.25 < x < 0.35, a cycloidal modulated antiferromagnetic and ferroelectric phase (AFM-2) becomes apparent. For 0.35 < x < 0.55, a re-entrant magnetic phase, corresponding to two successive magnetic transitions, is associated with the cycloidal plane’s rotation from the ab to the bc plane [,,]. This rotation implies that the spontaneous electric polarization changes from the c-axis to the a-axis []. Other authors consider, for 0.15 < x < 0.35, a further low temperature modulated conical magnetic and ferroelectric phase (AFM-3) [,,,]. However, the magnetic structure of low-temperature phases continues to be intensely studied. Besides the studies of Eu1−xYxMnO3 as single crystals and conventional ceramics [], it becomes relevant to investigate this system in the form of thin films since the properties may differ from those of bulk ceramics due to the influence of dimensional strain and the substrate interface. Even with their granular nature, thin films have attracted great interest and require a systematic comparison between the behavior of single crystals and ceramics [,,]. In addition to contributing to extend the understanding and enhancing the underlying multiferroic mechanisms, thin film materials are crucial for developing potential applications and further fabrication of functional electro-optical devices. Chemical solution deposition methods like the sol-gel spin-coating technique provide higher composition control, lower processing temperatures, shorter fabrication time, and relatively low cost, compared to other chemical and physical vapor deposition thin-film-forming processes such as evaporation, pulsed laser, and sputtering [].
As thin films can be subjected to strong elastic strains due to structural mismatch with respect to substrates, their intrinsic physical properties can be actively modified. These effects are under study on other strained perovskite thin films, which in bulk form exhibit orthorhombic structures: EuMnO3, GdMnO3, LaMnO3, DyMnO3, YMnO3, etc. [,]. From this perspective, the main objective of this work is to analyze and determine the effects of Y substitution of Eu and substrate strain on the structural and magnetic properties of orthorhombic Eu1−xYxMnO3 thin films and, in particular, thin film oxides prepared by the sol-gel spin-coating method, taking into consideration some practical technical factors, including low production cost, equipment versatility, simplicity of preparation, composition control, and low sintering temperature. The experimental results encompassing crystal structure, dynamics, and the magnetic properties of these thin films are further compared with bulk ceramic samples of equivalent nominal composition (x = 0; 0.1; 0.2; 0.3; 0.4; 0.5).
2. Experimental Procedure
The studied Eu1−xYxMnO3 thin films were prepared by a sol-gel method using standard Pt\TiO2\SiO2\Si (100) wafers as substrates. Details of precursor solutions and film preparation are available in refs. [,]. Thermogravimetric (TG) and differential thermogravimetric analyses (DTA) were conducted in the Eu1−xYxMnO3 precursor solutions using a Seteram Labsys TG–DTA/DSC analyzer; each solution was previously dried at 100 °C for 48 h, forming the so-called dry solution. Afterward, it was heated in an air atmosphere at 10 °C/min from room temperature up to 1000 °C. The structural characterization of the films was carried out with a PANalytical MRD diffractometer, equipped with an X’Celerator detector in Bragg-Brentano geometry, using a Cu Kα radiation (λ = 1.5418 Å) source, a step of 0.017°/100 s from 20° up to 80° (2θ). Unpolarized micro-Raman spectroscopy was performed at ambient conditions for the 200–800 cm−1 spectral range, using a 514.5 nm Argon laser line as the excitation source. The incident power was kept below 10 mW to avoid local sample heating. The scattered light was analyzed by a T64000 Jobin-Yvon triple spectrometer, operating in triple subtractive mode and equipped with a liquid-nitrogen-cooled charge-coupled device. The spectral slit width was ∼1.5 cm−1. The parameters of the observed Raman modes (frequency, line width, and amplitude) were calculated using IgorPro software 6.0 from the best fit of a sum of damped oscillator functions []. Samples magnetization was measured using a Quantum Design SQUID magnetometer in reciprocating sample option (RSO) mode with a sensitivity of ∼10−7 emu. Measurements were carried out in a heating run from 5 to 300 K following protocols of zero field-cooled (ZFC) and field-cooled (FC) at 100 Oe. The experimental and calculated data were processed according to the error analysis procedures, accounting the intrinsic precision of the methods and corrections derived from the formulas used [].
3. Results and Discussion
3.1. C.1. Phase Formation
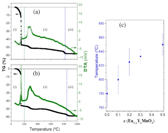
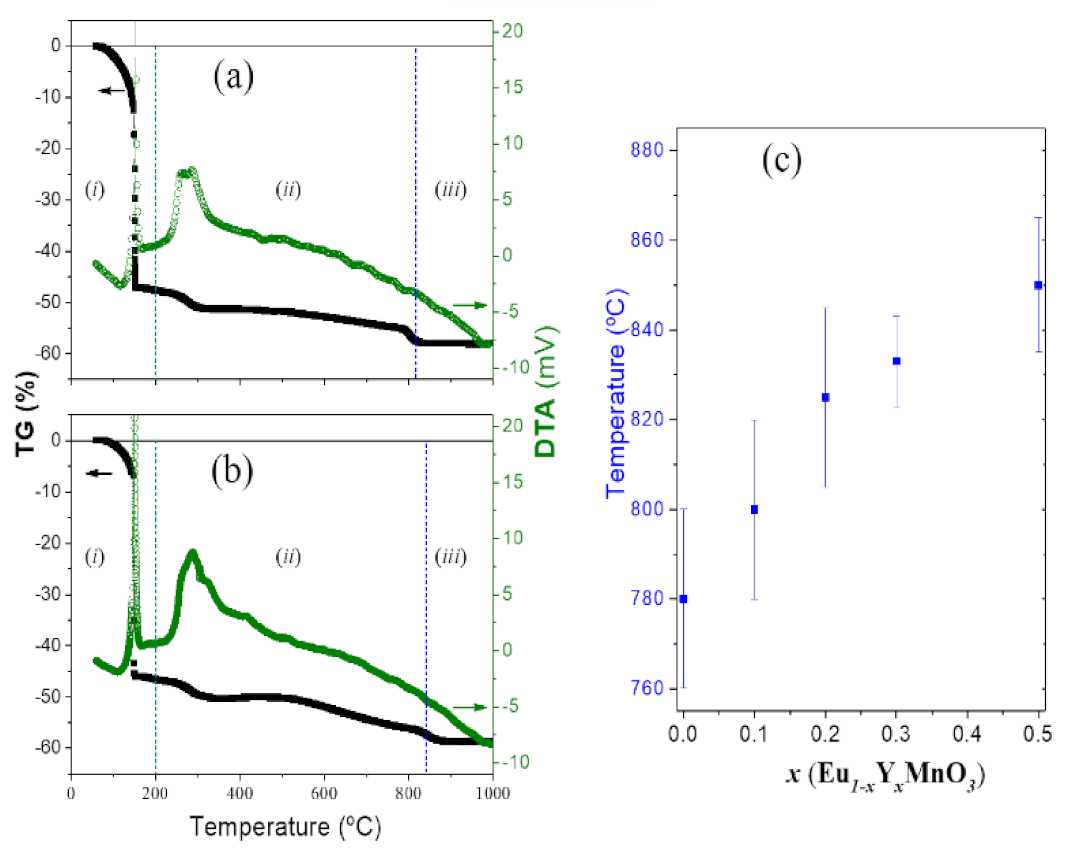
Figure 1a,b shows the TG–DTA curves of the precursor solutions comprising the nominal concentrations of |Eu| = 1 − x; |Y| = x; in relation to |Mn| ≡ 1 cation.

Figure 1.
Thermal decomposition curves of the Eu1−xYxMnO3 precursors solutions for x = (a) 0.2; and (b) 0.5. (c) Perovskite phase formation temperature for Eu1−xYxMnO3 thin films.
The decomposition process includes three main steps: (i) solvent evaporation and (ii) calcination and pre-oxidation of precursor cations; these two preparation steps are similar to the ones reported for other oxide films [,]. The third step (iii) is the most important since it evolves the formation of the intended crystalline phase. The TG–DTA curves profiles, steps, and temperature intervals, obtained during the decomposition of each precursor solution exhibit slight variations depending on the ratio of substitution elements used. Overall, the formation of the Eu1−xYxMnO3 perovskite crystalline phase is indicated by the precursor’s loss weight rate stabilizing beyond 770–880 °C. As seen in Figure 1c, the temperature threshold for the phase formation increases gradually with Y substitution (x) in relation to the EuMnO3 film. Consequently, the final sintering treatment was set at 800 °C for the x = 0 up to 850 °C for x = 0.5.
3.2. C.2. Surface Morphology
Representative SEM images of the Eu1−xYxMnO3 films surface view and respective cross-section backscattering are shown in Figure 2a–d. Generally, each film exhibits a homogeneous crystallite size and a consistent dissemination of cracks throughout all surfaces.

Figure 2.
Eu1−xYxMnO3 thin films representative SEM images obtained at ×105 magnification, for, x = (a) 0.1; (b) 0.2; (c) 0.4; (d) 0.5, respective surface (left) and cross-section (right).
As the content of Y3+ substitution increases, the average grain (crystallite) size and average area enclosed by cracks (agglomerates) decreases, whereas the film thickness gradually increases. A summary of the results extracted from these images is displayed in Table 1.

Table 1.
Topographic parameters calculated from SEM images of Eu1−xYxMnO3 thin films. <grain>: average grain size ± 10%; <aggl.>: agglomerate size ± 10%; <t>: thickness ± 10%.
3.3. C.3. Crystal Structure
Figure 3 presents the grazing angle X-ray diffraction (GA-XRD) patterns obtained at ambient conditions from the series of Eu1−xYxMnO3 thin films, where the diffraction peaks resultant from the substrate are labeled with (∗) symbols.

Figure 3.
Spectra of X-ray diffraction on grazing angle of Eu1−xYxMnO3 thin films with 0 ≤ x ≤ 0.5 concentration. The Bragg reflections belonging to the EuMnO3 (x = 0) phase are identified with Miller indexes. (*) Diffraction peaks of the substrate.
Thin films with composition 0 ≤ x ≤ 0.5 exhibit a typical XRD diffractogram profile associated with the Pnma (62) symmetry group, as observed in analogous bulk samples [,,]. Likewise, no relevant secondary phases were detected. On the other hand, films with x ≥ 0.6 revealed concomitance of hexagonal and perovskite phases and are not the object of the present study since it is not viable to evaluate a direct correlation to each phase and its composition. A control film of YMnO3 (x = 1.0), synthesized by the same spin-coating sol-gel method and sintered at 850 °C, confirms the dominance of P63cm symmetry [,,]. Overall comparison of the graphs enables us to observe a shift of reflection peaks towards higher angles as x increases, suggesting a relative contraction of the unit cell volume. In the diffractogram of film EuMnO3 (x = 0.0) and to a lesser degree in film Eu0.9Y0.1MnO3 (x = 0.1), it is possible to discern that the intensity of the reflection peak at 2θ∼24°, indexed to planes (020) of orthorhombic phase, are over-proportional to the spectra expected from a random polycrystalline film. This specific feature, not detected on the other film diffractograms, is suggestive that the films with x = 0.0 and 0.1 can have partially grown with a preferred orientation along the b-axis. For x > 0.1, the films XRD do not show signs of oriented growth and are assumed to be dominated by polycrystalline form.
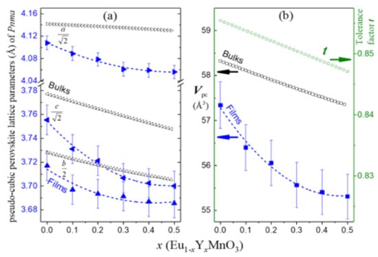
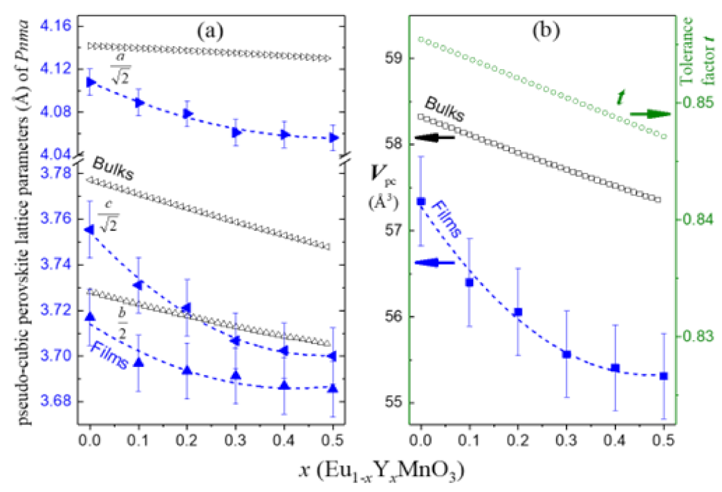
Detailed (Le Bail) analysis of the diffractograms enables calculating the respective thin films lattice parameters. The fitting model used in the indexation to the Pnma space group and conventional pseudo-Voigt function to describe the peak shape []. Figure 4a plots the dependence of the pseudo-cubic (pc) lattice parameters defined as apc = a/√2, bpc = b/2, and cpc = c/√2 with x-composition, where a, b, and c are the conventional orthorhombic Pnma lattice parameters.
The relation apc > cpc > bpc is fulfilled for all compounds characteristic of the designated O’ structure, typically found in rare-earth manganites. In this O’ structure, the octahedral MnO6 frames are associated with a strong Jahn-Teller distortion and orbital ordering []. While in bulk ceramics, a linear decrease of lattice volume is observed in direct correlation with the cube of the effective A-site radius [,], it is evident that the series of films’ pseudo-cubic lattice parameters gradually decrease with increasing Y-substitution content in the range 0.0 to 0.5.

Figure 4.
Dependence of the pseudo-cubic lattice parameters with x of the Eu1−xYxMnO3 thin films (solid symbols) and ceramics [] (respective open symbols). (a) (►) apc, (▲) bpc, and (◄) cpc where dashed lines correspond to respective quadratic degree polynomial function best fit to experimental results. (b) Calculated lattice volume Vpc of (■) films, (□) bulks, and comparison to the theoretical tolerance factor (○) t.
Table 2 resumes the values of quadratic |∆2y/∆x2| and linear |∆y/∆x| slopes obtained from best fitted quadratic degree polynomial functions (y = |∆2y/∆x2|·x2 + |∆y/∆x|·x + y0).

Table 2.
Slope values (in Å) degree 2 polynomial fit of the lattice parameter for Eu1−xYxMnO3 thin films. The values obtained for ceramic samples of the same compound are extracted from Ref. [].
Analogously to Eu1−xYxMnO3 ceramics, the lattice compression, due to Y3+ substitution, occurs in all axes, more manifested in c- and b- and less in a- directions. The quadratic terms |∆2y/∆x2| are residual, and the pseudo-cubic lattice parameters follow a straight linear slope with the relation |∆a/∆x| < |∆b/∆x| ≤ |∆c/∆x| [], which can be traced directly to the system tolerance factor (t = <(1 − x)·rEu + x·rY + rO>/√2·<rMn + rO>). Quite differently from the described linear behavior reported for the ceramic series, the contraction of lattice parameters in the series of Eu1−xYxMnO3 thin films follow a non-linear correlation to t. The results indicate an additional compression mechanism at play, patently due to the strain in the film phase induced by the substrate effect. Figure 4a,b expose the film lattice strain by separating it from the corresponding linear behavior found on bulks. The film lattice contractions are more relevant and evenly distributed in the basal plane a- and c- directions (< −0.5% to −1.7%) than in the b-direction (~−0.5%). This conjugation can explain why it is possible to advocate partial preferential growth of the film phase with x = 0 compatible with a less strained b-axis. On films, the relations become |∆a/∆x| ≈ |∆c/∆x| > |∆b/∆x|, respectively, ∼10, ∼3.5, and ∼2 times larger than reported for ceramics. Moreover, the quadratic terms have a similar magnitude to the linear ones and follow the same distribution |∆2a/∆x2| ≈ |∆c2/∆x2| > |∆b2/∆x2|. Subsequently, the continuous reduction of the unit cell parameters and volume attests that the systems remain in the original Pnma phase, suggesting a supplementary adjustment of MnO6 octahedra distortions and tilting []. The lattice volume contraction is near −1.7% for x = 0 and reaches a maximum of −3.7% for x ≥ 0.3.
3.4. C.4. Raman Spectroscopy
Figure 5 shows the unpolarized Raman spectra obtained from the series of Eu1−xYxMnO3 thin films recorded at ambient conditions.

Figure 5.
Un-polarized Raman spectra of Eu1−xYxMnO3 for 0 ≤ x ≤ 0.5 thin films annealed at 850 °C. Mode assignment: T—tilt mode of the MnO6 octahedra (symmetry Ag); SS—symmetric stretching mode (symmetry B2g); B—bending mode (symmetry B2g), and AS—Jahn-Teller type asymmetric stretching mode (symmetry Ag). Dashed red lines are eyes-guides for the indicated modes identification. Insets: detailed graphs of the T; AS; B; and SS modes dependence with x in the Eu1−xYxMnO3 thin films and ceramics [].
Due to the main contribution of a polycrystalline phase in the series of samples, the experimental spectra simultaneously exhibited all Raman-active modes Ag, B1g, B2g, and B3g; the assignment [,,] assumes the band at ∼359 cm−1 is resulting from the bending or tilt (T) mode of the MnO6 octahedra, which is activated by the (101) rotations (symmetry Ag); the band at ∼478 cm−1 is assigned to a Jahn-Teller type asymmetric stretching (AS) mode also involving the O(II) atoms (symmetry Ag); the band at ∼498 cm−1 is assigned to a bending mode (B) (symmetry B2g); and the band at ∼612 cm−1 is associated to a symmetric stretching mode (SS) involving the O(II) atoms (symmetry B2g). These modes can be detected in the range from 350 to 650 cm−1 and are also signaled in ceramic samples [,,], corroborating the Pnma symmetry of the films already ascertained from the XRD data.
In the Raman spectrum of the Eu1−xYxMnO3, thin films with x = 0 and 0.1 are observed as additional modes at ∼220 and ∼685 cm−1; these can be interpreted as a Raman activation of active infrared modes – a direct consequence of the lattice distortions occurring in thin films due to the lattice mismatch between film and substrate and the film-substrate interaction [], consistent with the partial presence of an orientated layer as mentioned from the XRD analysis. In samples with 0.2 ≤ x ≤ 0.5, the contribution of an orientated layer is not so significant. Hence, the mode at ∼220 cm−1 vanished, while the broad shoulder band above ∼620 cm−1 can still be attributed to distortions in the film lattice induced by the substrate effect. Still, due to the dominant polycrystalline structure, these distortions are disordered and relaxing through the film thickness, contributing to the convolution of peaks deriving from a distribution of modes.
Figure 5 shows the dependence in x of the peak center position wave number (ω) of the four most intense Raman modes assigned T, AS, B, and SS, measured in the films and compared to the ceramics with matching composition []. These modes are particularly interesting because they indicate the structural deformations in the Eu1−xYxMnO3 thin films. For the thin films, the wave number of the tilt mode (T) increases linearly with Y3+ content with a slope ∆ωT/∆x films = 50 ± 2 cm−1, a similar linear behavior ∆ωT/∆x bulks = 29 ± 2 cm−1 is found for the ceramic’s samples []. Iliev et al. [] demonstrated that such out-of-phase rotation mode and the tilt angle (θT) exhibit a linear behavior with slope ∆ωT/∆x = 23.5 cm−1. By combining the above results, a variation of the rotation mode and the tilt angle with x can be obtained, for the series of Eu1−xYxMnO3 thin films, of ∆θT/∆x = 2.1°. This value indicates that the volume reduction, anticipated from X-ray diffraction analysis, corresponds to an increase in the tilt angle with up to x = 0.5, close to 1°. While in Y-doped ceramics, the variation was ∆θ/∆x = 1.3°, representing an increase in the tilt angle of only 0.05° []. The symmetric stretching mode SS follows a near analogous constant (∆ωSS ∼2 cm−1) behavior for films and ceramics, suggesting minor variations of Mn-O2 bond lengths with increasing x. However, in the same concentration range, the wave numbers measured for the thin films of the Jahn-Teller type asymmetric stretching mode (AS) and bending mode (B) exhibit a step-like discrepancy relative to the near linear ∆ω/∆x behavior identified in ceramics. In effect, specifically between x = 0.2 and 0.3, where the four mode defined curves intersect, the pseudo-perovskite lattice cpc (films) and bpc (bulks) lengths coincide, as can be seen in Figure 4a.
3.5. C.5. Magnetic Properties
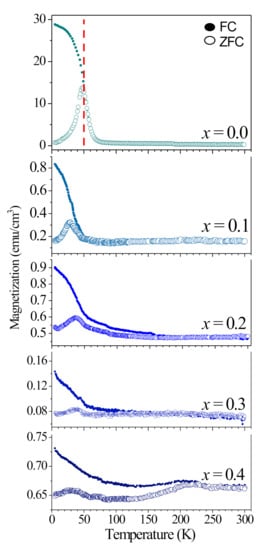
The structural distortions associated with the film phase and Y3+ substitution are expected to significantly influence the magnetic properties of the studied samples, particularly the competitive ferromagnetic (FM) and antiferromagnetic (AFM) exchange interactions. Figure 6 presents the ZFC/FC magnetization measurements performed on the Eu1−xYxMnO3 thin films from x = 0.0 to 0.4.

Figure 6.
ZFC (open dots) and FC (closed dots) magnetization as a function of temperature for the Eu1−xYxMnO3 thin films for 0 ≤ x ≤ 0.4.
In overview, the experimental data follow a similar behavior to the ones reported in single crystal and ceramic samples of the equivalent compounds [,]. The difference between FC and ZFC magnetization ∆M (5 K) = MFC (5 K)—MZFC (5 K) is 27.9 emu/cm3 for x = 0.0, but ensuing films 0.1 ≤ x ≤ 0.4 ∆M (5 K) yield, respectively, only 0.67; 0.36, 0.07; and 0.08 emu/cm3. In EuMnO3 and Eu0.9Y0.1MnO3 films, an expected irreversibility behavior is observed for temperatures up to TN ∼50 K. Below this temperature, the characteristic weak FM arising from the canted A-type AFM was exhibited similar to EuMnO3 single crystals and ceramics samples [,]. However, in films with Y3+ concentrations ranging from 0.2 to 0.4, the irreversibility behavior persists at higher temperatures, making the precise determination of TN difficult. The relative difference between FC and ZFC magnetization curves decreases with increasing Y3+ concentration, and the concavity of the FC curves inflect downward for x ≥ 0.3, as seen in Figure 6. It is reasonable to interpret the reduction of the induced magnetic moments in Eu1−xYxMnO3 thin films with increasing x as a consequence of the volume contraction of the unit cell and the increase in the Mn-O1-Mn bond angle. While in films with x = 0.0 and 0.1, the weak FM stems from the canted A-type AFM, the incommensurate AFM for Y3+ concentration in the range from 0.2 to 0.4 may not be assessed as the cause of the irreversibility at temperatures above TN. In this case, the film-substrate interface may emulate an apparently emergent FM response caused by pinning local magnetic moments induced by the excitation magnetic field []. This weak FM character, prolonging above 100 K, hinders the application of a Curie-Weiss model []. The previous results agree with those reported in Lu-doped EuMnO3 thin films [,]; however, irreversibility behavior seems more marked in these samples.
4. Conclusions
Thin films of Eu1−xYxMnO3 (0 ≤ x ≤ 0.5) were successfully prepared from the precursor solutions and deposited onto Pt\TiO2\SiO2\Si (100) substrates. The X-ray diffraction analysis reveals that the films stabilize in a single Pnma orthorhombic phase up to x = 0.5, while further substitution results in phases concomitance or full crystallization for x = 1.0 on P63cm hexagonal structure. Compared to equivalent orthorhombic Eu1−xYxMnO3 bulk ceramics, the thin films revealed an enhanced decrease in unit cell volume with increasing substitution concentration, and a further increase in the inclination of the MnO6 octahedra was ascertained by Raman spectroscopy. In contrast to ceramics samples, the films significantly smeared out the paramagnetic-canted A-type AFM transition. A weak ferromagnetic character was detected even above 100 K and attributed to the pinning of local magnetic moments at the film/substrate interface. These results corroborate the pertinence of the substrate-induced strain to modify and tune the distortions of the compound crystal lattice and ferroic properties.
Author Contributions
Conceptualization, methodology, and data collecting/analysis, writing—original draft: Y.R.-B. and J.P.d.l.C.; methodology, investigation: F.G.F., E.G.-A., H.D.d.F.F., A.M.D.G. and J.P.d.l.C.; formal analysis, methodology, resources: Y.R.-B., E.G.-A., W.R.B. and P.B.T.; writing—original draft preparation: Y.R.-B., Ș.Ț., E.G.-A. and A.M.D.G.; writing—review and editing: Y.R.-B., F.G.F., Ș.Ț. and H.D.F.F.; visualization, formal analysis, investigation, supervision: Y.R.-B., F.G.F., W.R.B. and J.P.d.l.C.; funding acquisition: W.R.B., Ș.Ț., H.D.d.F.F. and P.B.T.; conceptualization, formal analysis, investigation, methodology, project administration, resources, supervision, visualization, writing—original draft, writing—review and editing: Y.R.-B. All authors have read and agreed to the published version of the manuscript.
Funding
This research received no external funding.
Institutional Review Board Statement
Not applicable.
Informed Consent Statement
Not applicable.
Data Availability Statement
The data used to support the findings of this study are available from the corresponding author upon request.
Acknowledgments
The authors thank Joaquim Agostinho Gomes Moreira and Abílio de Jesus Monteiro Almeida for providing the research laboratories and their supervision likewise CNPq, FAPEAM, and CAPES; Postdoctoral National Program (PNPD/CAPES), Edital No. 047/2016–PPGFIS/UFAM. Fundação para a Ciência e Tecnologia (FCT) project CERN/FIS-TEC/0003/2019 and CQVR–UIDB/QUI/00616/2020. Project: NORTE-01-0145-FEDER-0000084.
Conflicts of Interest
The authors declare no conflict of interest. The funders had no role in the design analyses or interpretation of data; in the writing of the manuscript, or in the decision to publish the results.
References
- Choi, T.; Horibe, Y.; Yi, H.T.; Choi, Y.J.; Wu, W.; Cheong, S.-W. Insulating interlocked ferroelectric and structural antiphase domain walls in multiferroic YMnO3. Nat. Mater. 2010, 9, 253–258. [Google Scholar] [CrossRef] [PubMed]
- Lee, S.; Pirogov, A.; Kang, M.; Jang, K.-H.; Yonemura, M.; Kamiyama, T.; Cheong, S.-W.; Gozzo, F.; Shin, N.; Kimura, H.; et al. Giant magneto-elastic coupling in multiferroic hexagonal manganites. Nature 2008, 451, 805–808. [Google Scholar] [CrossRef]
- Gajek, M.; Bibes, M.; Fusil, S.; Bouzehouane, K.; Fontcuberta, J.; Barthélémy, A.; Fert, A. Tunnel junctions with multiferroic barriers. Nat. Mater. 2007, 6, 296–302. [Google Scholar] [CrossRef]
- Eerenstein, W.; Mathur, N.D.; Scott, J.F. Multiferroic and magnetoelectric materials. Nature 2006, 442, 759–765. [Google Scholar] [CrossRef] [PubMed]
- Li, M.; Tan, H.; Duan, W. Hexagonal rare-earth manganites and ferrites: A review of improper ferroelectricity, magnetoelectric coupling, and unusual domain walls. Phys. Chem. Chem. Phys. 2020, 22, 14415–14432. [Google Scholar] [CrossRef] [PubMed]
- Zhao, B.; Hu, X.; Dong, F.; Wang, Y.; Wang, H.; Tan, W.; Huo, D. The Magnetic Properties and Magnetocaloric Effect of Pr0.7Sr0.3MnO3 Thin Film Grown on SrTiO3 Substrate. Materials 2023, 16, 75. [Google Scholar] [CrossRef]
- A Mota, D.; Barcelay, Y.R.; Tavares, P.; Chaves, M.R.; Almeida, A.; Oliveira, J.; Ferreira, W.S.; Moreira, J.A. Competing exchanges and spin–phonon coupling in Eu1−xRxMnO3 (R = Y, Lu). J. Phys. Condens. Matter 2013, 25, 235602. [Google Scholar] [CrossRef]
- Moreira, J.A.; Almeida, A.; Ferreira, W.S.; Araújo, J.P.; Pereira, A.M.; Chaves, M.R.; Costa, M.M.R.; Khomchenko, V.A.; Kreisel, J.; Chernyshov, D.; et al. Strong magnetoelastic coupling in orthorhombic Eu1−xYxMnO3 manganite. Phys. Rev. B 2010, 82, 094418. [Google Scholar] [CrossRef]
- Dong, S.; Liu, J.-M. Recent progress of multiferroic perovskite manganites. Mod. Phys. Lett. B 2012, 26, 1230004. [Google Scholar] [CrossRef]
- Fiebig, M. Revival of the magnetoelectric effect. J. Phys. D Appl. Phys. 2005, 38, R123–R152. [Google Scholar] [CrossRef]
- Cheong, S.-W.; Mostovoy, M. Multiferroics: A magnetic twist for ferroelectricity. Nat. Mater. 2007, 6, 13–20. [Google Scholar] [CrossRef]
- Park, J.; Jeon, G.S.; Choi, H.-Y.; Lee, C.; Jo, W.; Bewley, R.; McEwen, K.A.; Perring, T.G. Magnetic ordering and spin-liquid state of YMnO3. Phys. Rev. B 2003, 68, 104426. [Google Scholar] [CrossRef]
- Issing, S.; Fuchs, F.; Ziereis, C.; Batke, E.; Pimenov, A.; Ivanov, Y.V.; Mukhin, A.A.; Geurts, J. Lattice dynamics of Eu1-xYxMnO3 (0 ≤ x ≤ 0.5). Eur. Phys. J. B 2010, 73, 353–360. [Google Scholar] [CrossRef]
- Figueiras, F.G.; Karpinsky, D.; Tavares, P.B.; Gonçalves, J.N.; Yañez-Vilar, S.; Dos Santos, A.F.M.; Franz, A.; Tovar, M.; Moreira, J.A.; Amaral, V.S. Novel multiferroic state and ME enhancement by breaking the AFM frustration in LuMn1−xO3. Phys. Chem. Chem. Phys. 2017, 19, 1335–1341. [Google Scholar] [CrossRef] [PubMed]
- Sergienko, I.A.; Şen, C.; Dagotto, E. Ferroelectricity in the MagneticE-Phase of Orthorhombic Perovskites. Phys. Rev. Lett. 2006, 97, 227204. [Google Scholar] [CrossRef] [PubMed]
- Picozzi, S.; Yamauchi, K.; Sanyal, B.; Sergienko, I.; Dagotto, E. Dual Nature of Improper Ferroelectricity in a Magnetoelectric Multiferroic. Phys. Rev. Lett. 2007, 99, 227201. [Google Scholar] [CrossRef]
- Meier, D.; Ryll, H.; Kiefer, K.; Klemke, B.; Hoffmann, J.-U.; Ramesh, R.; Fiebig, M. Mutual induction of magnetic 3dand 4forder in multiferroic hexagonal ErMnO3. Phys. Rev. B 2012, 86, 184415. [Google Scholar] [CrossRef]
- Liu, J.; Toulouse, C.; Rovillain, P.; Cazayous, M.; Gallais, Y.; Measson, M.-A.; Lee, N.; Cheong, S.W.; Sacuto, A. Lattice and spin excitations in multiferroich-YbMnO3. Phys. Rev. B 2012, 86, 184410. [Google Scholar] [CrossRef]
- Goto, T.; Yamasaki, Y.; Watanabe, H.; Kimura, T.; Tokura, Y. Anticorrelation between ferromagnetism and ferroelectricity in perovskite manganites. Phys. Rev. B 2005, 72, 220403. [Google Scholar] [CrossRef]
- Sergienko, I.A.; Dagotto, E. Role of the Dzyaloshinskii-Moriya interaction in multiferroic perovskites. Phys. Rev. B 2006, 73, 094434. [Google Scholar] [CrossRef]
- Mochizuki, M.; Furukawa, N. Mechanism of Lattice-Distortion-Induced Electric-Polarization Flop in the Multiferroic Perovskite Manganites. J. Phys. Soc. Jpn. 2009, 78, 053704. [Google Scholar] [CrossRef]
- Hemberger, J.; Schrettle, F.; Pimenov, A.; Lunkenheimer, P.; Ivanov, V.Y.; Mukhin, A.A.; Balbashov, A.M.; Loidl, A. Multiferroic phases ofEu1−xYxMnO3. Phys. Rev. B 2007, 75, 035118. [Google Scholar] [CrossRef]
- Zheng, W.; Oitmaa, J.; Hamer, C.J. Phase diagram of the frustrated Heisenberg antiferromagnet on the union jack lattice. Phys. Rev. B 2007, 75, 184418. [Google Scholar] [CrossRef]
- Takahashi, Y.; Yamasaki, Y.; Kida, N.; Kaneko, Y.; Arima, T.; Shimano, R.; Tokura, Y. Far-infrared optical study of electromagnons and their coupling to optical phonons in Eu1−xYxMnO3 (x = 0.1, 0.2, 0.3, 0.4, and 0.45). Phys. Rev. B 2009, 79, 214431. [Google Scholar] [CrossRef]
- Moreira, J.A.; Almeida, A.; Ferreira, W.S.; Araújo, J.E.; Pereira, A.M.; Chaves, M.R.; Kreisel, J.; Vilela, S.M.F.; Tavares, P.B. Coupling between phonons and magnetic excitations in orthorhombic Eu1−xYxMnO3. Phys. Rev. B 2010, 81, 054447. [Google Scholar] [CrossRef]
- Oliveira, J.; Moreira, J.A.; Almeida, A.; Chaves, M.R.; da Silva, J.M.M.; Sá, M.A.; Tavares, P.B.; Ranjith, R.; Prellier, W. Phase diagram of the orthorhombic, lightly lutetium doped EuMnO3magnetoelectric system. Phys. Rev. B 2011, 84, 094414. [Google Scholar] [CrossRef]
- Romaguera-Barcelay, Y.; Moreira, J.A.; González-Aguilar, G.; Almeida, A.; Araujo, J.P.; De La Cruz, J.P. Synthesis of orthorhombic rare-earth manganite thin films by a novel chemical solution route. J. Electroceramics 2011, 26, 44–55. [Google Scholar] [CrossRef]
- Barcelay, Y.R.; Moreira, J.A.; Almeida, A.; De La Cruz, J.P. Structural and electrical properties of LuMnO3 thin film prepared by chemical solution method. Thin Solid Films 2012, 520, 1734–1739. [Google Scholar] [CrossRef]
- Kamiński, M.; Świta, P. Structural stability and reliability of the underground steel tanks with the Stochastic Finite Element Method. Arch. Civ. Mech. Eng. 2015, 15, 593–602. [Google Scholar] [CrossRef]
- Van Aken, B.B.; Meetsma, A.; Palstra, T.T.M. Hexagonal LuMnO3revisited. Acta Crystallogr. Sect. E Struct. Rep. Online 2001, 57, i101–i103. [Google Scholar] [CrossRef]
- Abrahams, S.C. Ferroelectricity and structure in the YMnO3 family. Acta Crystallogr. Sect. B Struct. Sci. 2001, 57, 485–490. [Google Scholar] [CrossRef] [PubMed]
- Kimura, T.; Ishihara, S.; Shintani, H.; Arima, T.; Takahashi, K.T.; Ishizaka, K.; Tokura, Y. Distorted perovskite witheg1configuration as a frustrated spin system. Phys. Rev. B 2003, 68, 060403. [Google Scholar] [CrossRef]
- Vailionis, A.; Boschker, H.; Siemons, W.; Houwman, E.P.; Blank, D.H.A.; Rijnders, G.; Koster, G. Misfit strain accommodation in epitaxialABO3perovskites: Lattice rotations and lattice modulations. Phys. Rev. B 2011, 83, 064101. [Google Scholar] [CrossRef]
- Woodward, P.M.; Vogt, T.; Cox, D.E.; Arulraj, A.; Rao, C.N.R.; Karen, P.; Cheetham, A.K. Influence of Cation Size on the Structural Features of Ln1/2A1/2MnO3 Perovskites at Room Temperature. Chem. Mater. 1998, 10, 3652–3665. [Google Scholar] [CrossRef]
- Iliev, M.N.; Abrashev, M.V.; Laverdière, J.; Jandl, S.; Gospodinov, M.M.; Wang, Y.-Q.; Sun, Y.-Y. Distortion-dependent Raman spectra and mode mixing in RMnO3 perovskites (R = La, Pr, Nd, Sm, Eu, Gd, Tb, Dy, Ho, Y). Phys. Rev. B 2006, 73, 064302. [Google Scholar] [CrossRef]
- Martín-Carrón, L.; de Andrés, A.; Martínez-Lope, M.J.; Casais, M.T.; Alonso, J.A. Raman phonons as a probe of disorder, fluctuations, and local structure in doped and undoped orthorhombic and rhombohedral manganites. Phys. Rev. B 2002, 66, 174303. [Google Scholar] [CrossRef]
- Moreira, J.A.; Almeida, A.; Ferreira, W.; Chaves, M.; Oliveira, J.; da Silva, J.M.; Sá, M.; Vilela, S.; Tavares, P. Ferroelectricity in antiferromagnetic phases of Eu1−xY xMnO3. Solid State Commun. 2011, 151, 368–371. [Google Scholar] [CrossRef]
- Figueiras, F.; Dutta, D.; Ferreira, N.; Costa, F.; Graça, M.; Valente, M. Multiferroic interfaces in bismuth ferrite composite fibers grown by laser floating zone technique. Mater. Des. 2016, 90, 829–833. [Google Scholar] [CrossRef]
- Romaguera-Barcelay, Y.; Figueiras, F.; Moreira, J.A.; Pérez-De-La-Cruz, J.; Tavares, P.; Almeida, A. Handling magnetic and structural properties of EuMnO3 thin films by the combined effect of Lu doping and substrate strain. J. Alloy. Compd. 2018, 762, 319–325. [Google Scholar] [CrossRef]
Disclaimer/Publisher’s Note: The statements, opinions and data contained in all publications are solely those of the individual author(s) and contributor(s) and not of MDPI and/or the editor(s). MDPI and/or the editor(s) disclaim responsibility for any injury to people or property resulting from any ideas, methods, instructions or products referred to in the content. |
© 2023 by the authors. Licensee MDPI, Basel, Switzerland. This article is an open access article distributed under the terms and conditions of the Creative Commons Attribution (CC BY) license (https://creativecommons.org/licenses/by/4.0/).