Study on the Performance and Solidification Mechanism of Multi-Source Solid-Waste-Based Soft Soil Solidification Materials
Abstract
1. Introduction
2. Materials and Methods
2.1. Three Ratios
2.2. Materials
2.3. Sample Preparation
2.4. Mineralogical and Microstructural Analyses
2.4.1. X-ray Diffraction (XRD)
2.4.2. Scanning Electron Microscope (SEM)
2.4.3. Thermogravimetric Analysis (TGA)
3. Results and Discussion
3.1. Analysis of UCS Test Results
3.1.1. UCS
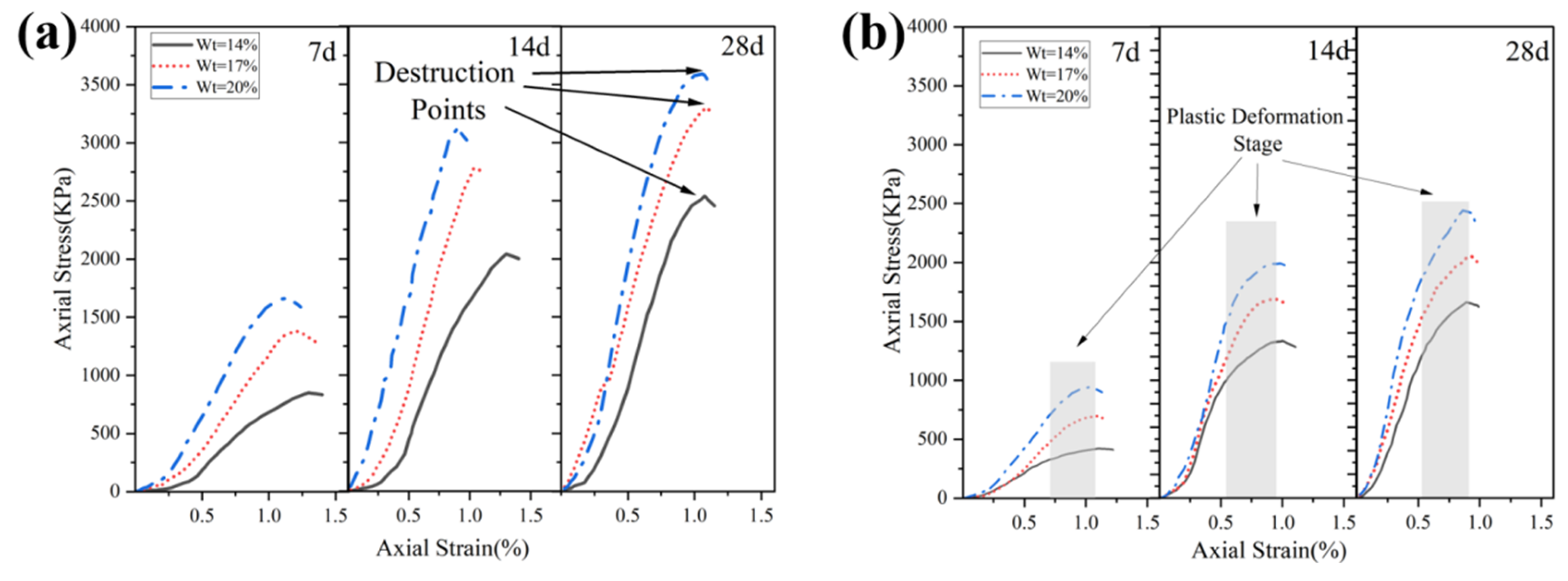
3.1.2. Stress–Strain Curves
3.2. Analysis of Mineralogical and Microstructural Test Results
3.2.1. XRD Tests
3.2.2. SEM Tests
3.2.3. TGA Tests
4. Analysis of Solidification Mechanism
5. Conclusions
- (1)
- Based on three ratios and the strength activity index originally developed for the cement clinker, a unified method for solidifying soft soil using various types of solid waste has been achieved.
- (2)
- The solid-waste-based binder effectively improved the strength of three types of soft soils (silty sand, silty clay, and organic clay). The 14-day UCS strength of the solidified soil reached 80–90% on day 28, and the UCS of both types of solidified soil with a solidifying agent content of 17% was 0.8 MPa or more at 28 days.
- (3)
- With the increase in solidifying agent content and curing time, the brittleness of the solidified soil increased, and the solidified soil with the higher clay content showed greater plasticity.
- (4)
- With the increase in solidifying agent content, the pores in the solidified soil evolve from large to tiny, and the pores are filled with a large amount of gel substance and needle-like ettringite crystals. The main hydration products or volcanic ash products in soft soils solidified by the solid-waste-based binder include CH, C-S-H, and ettringite. These products are the main contributors to the strength of solidified soil.
Author Contributions
Funding
Institutional Review Board Statement
Informed Consent Statement
Data Availability Statement
Conflicts of Interest
References
- Chen, X.; Yu, F.; Yu, J.; Li, S. Experimental optimization of industrial waste-based soil hardening agent: Combining D-optimal design with genetic algorithm. J. Build. Eng. 2023, 72, 106611. [Google Scholar] [CrossRef]
- Hashemi-Amiri, O.; Mohammadi, M.; Rahmanifar, G.; Hajiaghaei-Keshteli, M.; Fusco, G.; Colombaroni, C. An allocation-routing optimization model for integrated solid waste management. Expert Syst. Appl. 2023, 227, 120364. [Google Scholar] [CrossRef]
- Shu, B.; Zhou, M.; Yang, T.; Li, Y.; Song, P.; Chen, A.; Barbieri, D.M. Performance study and engineering application of grouting materials with a large content of solid waste. Constr. Build. Mater. 2021, 312, 125464. [Google Scholar] [CrossRef]
- Wang, A.; Zhan, Q.; Dong, W.; Gu, W.; Zhou, J.; Pan, Z. Influence of Recycled Fine Aggregate Content on Properties of Soft Soil Solidified by Industrial Waste Residue. Materials 2022, 15, 7580. [Google Scholar] [CrossRef] [PubMed]
- Wu, J.; Deng, Y.; Zheng, X.; Cui, Y.; Zhao, Z.; Chen, Y.; Zha, F. Hydraulic conductivity and strength of foamed cement-stabilized marine clay. Constr. Build. Mater. 2019, 222, 688–698. [Google Scholar] [CrossRef]
- Zhang, Y.; Cao, B.; Zhang, H.; Zhang, X.; He, Y. Study on Key Mechanical Parameters of High-Strength Grouting Material. Coatings 2023, 13, 440. [Google Scholar] [CrossRef]
- Griffiths, S.; Sovacool, B.K.; Del Rio, D.D.F.; Foley, A.M.; Bazilian, M.D.; Kim, J.; Uratani, J.M. Decarbonizing the cement and concrete industry: A systematic review of socio-technical systems, technological innovations, and policy options. Renew. Sustain. Energy Rev. 2023, 180, 113291. [Google Scholar] [CrossRef]
- Liu, J.; Zhang, S.; Wagner, F. Exploring the driving forces of energy consumption and environmental pollution in China’s cement industry at the provincial level. J. Clean. Prod. 2018, 184, 274–285. [Google Scholar] [CrossRef]
- Tabyang, W.; Suksiripattanapong, C.; Phetchuay, C.; Laksanakit, C.; Chusilp, N. Evaluation of municipal solid waste incineration fly ash based geopolymer for stabilised recycled concrete aggregate as road material. Road Mater. Pavement Des. 2022, 23, 2178–2189. [Google Scholar] [CrossRef]
- Zhang, G.; Ding, Z.; Zhang, R.; Chen, C.; Fu, G.; Luo, X.; Wang, Y.; Zhang, C. Combined Utilization of Construction and Demolition Waste and Propylene Fiber in Cement-Stabilized Soil. Buildings 2022, 12, 350. [Google Scholar] [CrossRef]
- Goodarzi, A.R.; Movahedrad, M. Stabilization/solidification of zinc-contaminated kaolin clay using ground granulated blast-furnace slag and different types of activators. Appl. Geochem. 2017, 81, 155–165. [Google Scholar] [CrossRef]
- Francisca, F.M.; Mozejko, C.A. Hydraulic and mechanical behavior of compacted silts modified by waste steel slag. Geomech. Energy Environ. 2022, 32, 100323. [Google Scholar] [CrossRef]
- Mehdi, M.; Hamed, H.; Tajmir, R.H. Investigating the ternary cement containing Portland cement, ceramic waste powder, and limestone. Constr. Build. Mater. 2023, 369, 130596. [Google Scholar]
- Wang, X.; Kim, S.; Wu, Y.; Liu, Y.; Liu, T.; Wang, Y. Study on the optimization and performance of GFC soil stabilizer based on response surface methodology in soft soil stabilization. Soils Found. 2023, 63, 101278. [Google Scholar] [CrossRef]
- Phummiphan, I.; Horpibulsuk, S.; Rachan, R.; Arulrajah, A.; Shen, S.L.; Chindaprasirt, P. High calcium fly ash geopolymer stabilized lateritic soil and granulated blast furnace slag blends as a pavement base material. J. Hazard. Mater. 2018, 341, 257–267. [Google Scholar] [CrossRef]
- An, Q.; Pan, H.; Zhao, Q. Strength development and microstructure of sustainable geopolymers made from alkali-activated ground granulated blast-furnace slag, calcium carbide residue, and red mud. Constr. Build. Mater. 2022, 356, 129279. [Google Scholar] [CrossRef]
- Wu, J.; Liu, Q.; Deng, Y.; Yu, X.; Feng, Q.; Yan, C. Expansive soil modified by waste steel slag and its application in subbase layer of highways. Soils Found. 2019, 59, 955–965. [Google Scholar] [CrossRef]
- Elmrabet, R.; Hmidani, Y.; Mariouch, R.; Elharfi, A.; Elyoubi, M.S. Influence of raw meal composition on clinker reactivity and cement proprieties. Mater. Today Proc. 2021, 45, 7680–7684. [Google Scholar] [CrossRef]
- Costa, F.N.; Ribeiro, D.V. Reduction in CO2 emissions during production of cement, with partial replacement of traditional raw materials by civil construction waste (CCW). J. Clean. Prod. 2020, 276, 123302. [Google Scholar] [CrossRef]
- Chatterjee, A.K. Cement Production Technology; Taylor and Francis; CRC Press: Boca Raton, FL, USA, 2018. [Google Scholar]
- Ashraf, M.S.; Ghouleh, Z.; Shao, Y. Production of eco-cement exclusively from municipal solid waste incineration residues. Resour. Conserv. Recycl. 2019, 149, 332–342. [Google Scholar] [CrossRef]
- Lin, Z. Cement Technology; Wuhan University of Technology Press: Wuhan, China, 2017. [Google Scholar]
- Zeyad, A.M.; Almalki, A. Role of p size of natural pozzolanic materials of volcanic pumice: Flow properties, strength, and permeability. Arab. J. Geosci. 2021, 14, 107. [Google Scholar] [CrossRef]
- GB/T 17671–2021; Test Method of Cement Mortar Strength (ISO Method). State Administration for Market Regulation: Beijing, China, 2021. (In Chinese)
- Wu, J.; Deng, Y.; Zhang, G.; Zhou, A.; Tan, Y.; Xiao, H.; Zheng, Q. A Generic Framework of Unifying Industrial By-products for Soil Stabilization. J. Clean. Prod. 2021, 321, 128920. [Google Scholar] [CrossRef]
- JTG 3420-2020; Testing Methods of Cement and Concrete for Highway Engineering. Ministry of Transport of the People’s Republic of China: Beijing, China, 2020. (In Chinese)
- JGJ/T 233-2011; Specification for Mix Proporetion Design of Cement Soil. Ministry of Housing and Urban-Rural Development of the People’s Republic of China: Beijing, China, 2011. (In Chinese)
- ASTM Standard D2487-17; Standard Practice for Classification of Soils for Engineering Purposes (Unified Soil Classification System). American Society for Testing and Materials: West Conshohocken, PA, USA, 2017.
- ASTM Standard D2974-14; Standard Test Methods for Moisture, Ash, and Organic Matter of Peat and Other Organic Soils. American Society for Testing and Materials: West Conshohocken, PA, USA, 2014.
- ASTM Standard D7928-21; Standard Test Method for Particle-Size Distribution (Gradation) of Fine-Grained Soils Using the Sedimentation (Hydrometer) Analysis. American Society for Testing and Materials: West Conshohocken, PA, USA, 2021.
- Du, H.; Xu, D.; Li, X.; Li, J.; Ni, W.; Li, Y.; Fu, P. Application of molten iron desulfurization slag to replace steel slag as an alkaline component in solid waste-based cementitious materials. J. Clean. Prod. 2022, 377, 134353. [Google Scholar] [CrossRef]
- ASTM Standard D7348-21; Standard Test Methods for Loss on Ignition (LOI) of Solid Combustion Residues. American Society for Testing and Materials: West Conshohocken, PA, USA, 2021.
- Penumadu, D.; Dean, J. Compressibility effect in evaluating the pore-size distribution of kaolin clay using mercury intrusion porosimetry. Can. Geotech. J. 2000, 37, 393–405. [Google Scholar] [CrossRef]
- ICDD. The Powder Diffraction File 4+ (PDF4+) 2021 Release; International Center for Diffraction Data—ICDD: Newton Square, PA, USA, 2021. [Google Scholar]
- Wu, Z.; Deng, Y.; Cui, Y.; Zhou, A.; Feng, Q.; Xue, H. Experimental Study on Creep Behavior in Oedometer Tests of Reconstituted Soft Clays. Int. J. Geomech. 2019, 19, 04018198. [Google Scholar] [CrossRef]
- Lang, L.; Liu, N.; Chen, B. Strength development of solidified dredged sludge containing humic acid with cement, lime and nano-SiO2. Constr. Build. Mater. 2020, 230, 116971. [Google Scholar] [CrossRef]
- Menaceur, H.; Cuisinier, O.; Masrouri, F.; Eslami, H. Impact of monotonic and cyclic suction variations on the thermal properties of a stabilized compacted silty soil. Transp. Geotech. 2021, 28, 100515. [Google Scholar] [CrossRef]
- YBJ-225; Technical Code for Deep Mixing in Soft Soil Foundation. Architectural Design and Research Institute of Metallurgical Industry: Beijing, China, 1991. (In Chinese)
- Wang, D.; Zentar, R.; Abriak, N.E. Durability and Swelling of Solidified/Stabilized Dredged Marine Soils with Class-F Fly Ash, Cement, and Lime. J. Mater. Civ. Eng. 2018, 30, 04018013. [Google Scholar] [CrossRef]
- Liu, L.; Zhou, A.; Deng, Y.; Cui, Y.; Yu, Z.; Yu, C. Strength performance of cement/slag-based stabilized soft clays. Constr. Build. Mater. 2019, 211, 909–918. [Google Scholar] [CrossRef]
- Li, S.; Wang, D.; Tang, C.; Chen, Y. Optimization of synergy between cement, slag, and phosphogypsum for marine soft clay solidification. Constr. Build. Mater. 2023, 374, 130902. [Google Scholar] [CrossRef]
- Su, Y.; Luo, B.; Luo, Z.; Xu, F.; Huang, H.; Long, Z.; Shen, C. Mechanical characteristics and solidification mechanism of slag/fly ash-based geopolymer and cement solidified organic clay: A comparative study. J. Build. Eng. 2023, 71, 106459. [Google Scholar] [CrossRef]
- Hamidi, S.; Marandi, S.M. Clay concrete and effect of clay minerals types on stabilized soft clay soils by epoxy resin. Appl. Clay Sci. 2018, 151, 92–101. [Google Scholar] [CrossRef]
- Zhang, J.; Lv, T.; Han, Q.; Zhu, Y.; Hou, D.; Dong, B. Effects of fly ash on MgO-based shrinkage-compensating cement: Microstructure and properties. Constr. Build. Mater. 2022, 339, 127648. [Google Scholar] [CrossRef]
- Li, Y.; Eyley, S.; Thielemans, W.; Yuan, Q.; Li, J. Valorization of deep soil mixing residue in cement-based materials. Resour. Conserv. Recycl. 2022, 187, 106597. [Google Scholar] [CrossRef]
- Xu, F.; Wei, H.; Qian, W.; Cai, Y. Composite alkaline activator on cemented soil: Multiple tests and mechanism analyses. Constr. Build. Mater. 2018, 188, 433–443. [Google Scholar] [CrossRef]
- Wu, Z.; Deng, Y.; Liu, S.; Liu, Q.; Chen, Y.; Zha, F. Strength and micro-structure evolution of compacted soils modified by admixtures of cement and metakaolin. Appl. Clay Sci. 2016, 127–128, 44–51. [Google Scholar] [CrossRef]
- Acarturk, B.C.; Sandalci, I.; Hull, N.M.; Bundur, Z.B.; Burris, L.E. Calcium sulfoaluminate cement and supplementary cementitious materials-containing binders in self-healing systems. Cem. Concr. Compos. 2023, 141, 105115. [Google Scholar] [CrossRef]
- Mahanta, K.K.; Mishra, G.C.; Kansal, M.L. Estimation of the electric double layer thickness in the presence of two types of ions in soil water. Appl. Clay Sci. 2014, 87, 212–218. [Google Scholar] [CrossRef]
- Shu, B.; Chen, W.; Yang, T.; Xie, Z.; Ren, Y.; Li, Y.; Zheng, L.; Zeng, G.; Li, M.; Barbieri, D.M. Study on laboratory and engineering application of multi source solid waste based soft soil solidification materials. Case Stud. Constr. Mater. 2022, 17, e01465. [Google Scholar] [CrossRef]
- Wu, J.; Liu, L.; Deng, Y.; Zhang, G.; Zhou, A.; Xiao, H. Use of recycled gypsum in the cement-based stabilization of very soft clays and its micro-mechanism. J. Rock Mech. Geotech. Eng. 2022, 14, 909–921. [Google Scholar] [CrossRef]











| Components of Solid Waste | A | B | C | D | SAI |
|---|---|---|---|---|---|
| CaO | A1 | B1 | C1 | D1 | ηA |
| SiO2 | A2 | B2 | C2 | D2 | ηB |
| Al2O3 | A3 | B3 | C3 | D3 | ηC |
| Fe2O3 | A4 | B4 | C4 | D4 | ηD |
| (CaO)act | A1 × ηA | B1 × ηB | C1 × ηC | D1 × ηD | / |
| (SiO2)act | A2 × ηA | B2 × ηB | C2 × ηC | D2 × ηD | / |
| (Al2O3)act | A3 × ηA | B3 × ηB | C3 × ηC | D3 × ηD | / |
| (Fe2O3)act | A4 × ηA | B4 × ηB | C4 × ηC | D4 × ηD | / |
| KH | |||||
| SM | |||||
| IM | |||||
| Solidifying agent | Ⅰ%A + Ⅱ%B + Ⅲ%C + Ⅳ%D + ······ | ||||
| Test Soil | Ⅰ | Ⅱ | Ⅲ |
|---|---|---|---|
| Natural water content/% | 32.32 | 36.05 | 50.81 |
| Wet density, g/cm3 | 1.87 | 1.66 | 1.55 |
| Liquid limit/% | 29.79 | 35.47 | 64.93 |
| Plastic limit/% | 12.54 | 22.94 | 29.57 |
| Organic matter content/% | / | / | 5.31 |
| Sand fraction (2–0.074 mm, %) | 66.65 | 3.17 | 11.20 |
| Silt fraction (0.074–0.002 mm, %) | 30.03 | 49.42 | 74.55 |
| Clay fraction (0.002 mm, %) | 3.32 | 47.41 | 14.25 |
| Unified Soil Classification System classification | Silty sand (SM) | Silty clay (CL) | Organic clay (OH) |
| Components | Ground Granulated Blast Furnace Slag | Steel Slag | Waste Ceramic Powder | Red Mud | Desulfurization Gypsum | Lime |
|---|---|---|---|---|---|---|
| CaO | 39.78 | 39.52 | 1.05 | 26.36 | 33.12 | 97.88 |
| SiO2 | 32.34 | 13.06 | 70.64 | 25.79 | 1.16 | / |
| Al2O3 | 16.24 | 3.37 | 16.12 | 11.06 | 1.67 | / |
| Fe2O3 | 0.51 | 26.47 | 0.75 | 7.39 | 0.38 | / |
| MgO | 6.17 | 2.33 | 1.49 | 1.01 | / | / |
| SO3 | 1.64 | 0.22 | 0.03 | 1.17 | 40.84 | / |
| Na2O | 0.32 | 0.93 | 3.35 | 1.11 | / | / |
| Loss on ignition | 0.32 | 0.68 | 2.63 | 11.72 | 14.2 | / |
| Solid Waste | Ground Granulated Blast Furnace Slag | Steel Slag | Waste Ceramic Powder | Red Mud |
|---|---|---|---|---|
| SAI | 1.02 | 0.70 | 0.89 | 0.58 |
Disclaimer/Publisher’s Note: The statements, opinions and data contained in all publications are solely those of the individual author(s) and contributor(s) and not of MDPI and/or the editor(s). MDPI and/or the editor(s) disclaim responsibility for any injury to people or property resulting from any ideas, methods, instructions or products referred to in the content. |
© 2023 by the authors. Licensee MDPI, Basel, Switzerland. This article is an open access article distributed under the terms and conditions of the Creative Commons Attribution (CC BY) license (https://creativecommons.org/licenses/by/4.0/).
Share and Cite
Qiu, K.; Zeng, G.; Shu, B.; Luo, D. Study on the Performance and Solidification Mechanism of Multi-Source Solid-Waste-Based Soft Soil Solidification Materials. Materials 2023, 16, 4517. https://doi.org/10.3390/ma16134517
Qiu K, Zeng G, Shu B, Luo D. Study on the Performance and Solidification Mechanism of Multi-Source Solid-Waste-Based Soft Soil Solidification Materials. Materials. 2023; 16(13):4517. https://doi.org/10.3390/ma16134517
Chicago/Turabian StyleQiu, Keyi, Guodong Zeng, Benan Shu, and Dongmei Luo. 2023. "Study on the Performance and Solidification Mechanism of Multi-Source Solid-Waste-Based Soft Soil Solidification Materials" Materials 16, no. 13: 4517. https://doi.org/10.3390/ma16134517
APA StyleQiu, K., Zeng, G., Shu, B., & Luo, D. (2023). Study on the Performance and Solidification Mechanism of Multi-Source Solid-Waste-Based Soft Soil Solidification Materials. Materials, 16(13), 4517. https://doi.org/10.3390/ma16134517

