Preparation of Epoxy Resin with Disulfide-Containing Curing Agent and Its Application in Self-Healing Coating
Abstract
1. Introduction
2. Materials and Methods
2.1. Materials
2.2. Preparation of Disulfide-Containing Curing Agent (PD)
2.3. Curing of Self-Healing Epoxy Resin
2.4. Characterizations
3. Results and Discussion
3.1. Chemical Structure of the Curing Agent
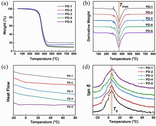
3.2. Thermal Properties of Self-Healing Epoxy Resin
3.3. Mechanical and Self-Healing Properties of Cured Disulfide Epoxy Resin
3.4. Properties and Performance of Cured Self-Healing Coating
4. Conclusions
Author Contributions
Funding
Institutional Review Board Statement
Informed Consent Statement
Data Availability Statement
Acknowledgments
Conflicts of Interest
References
- Dooley, C.; Taylor, D. Self-healing materials: What can nature teach us? Fatigue. Fract. Eng. 2017, 40, 655–669. [Google Scholar] [CrossRef]
- Lin, C.; Sheng, D.; Liu, X.; Xu, S.; Ji, F.; Dong, L.; Zhou, Y.; Yang, Y. Effect of different sizes of graphene on Diels-Alder self-healing polyurethane. Polymer 2019, 182, 121822. [Google Scholar] [CrossRef]
- Lu, C.-C.; Lin, Y.-C.; Yeh, C.-H.; Huang, J.-C.; Chiu, P.-W. High mobility flexible graphene field-effect transistors with self-healing gate dielectrics. ACS Nano 2012, 6, 4469. [Google Scholar] [CrossRef] [PubMed]
- Chu, K.; Song, B.G.; Yang, H.-I.; Kim, D.-M.; Lee, C.S.; Park, M.; Chung, C.-M. Smart passivation materials with a liquid metal microcapsule as self-healing conductors for sustainable and flexible perovskite solar cells. Adv. Funct. Mater. 2018, 28, 1800110. [Google Scholar] [CrossRef]
- Kang, J.; Son, D.; Wang, G.-J.N.; Liu, Y.; Lopez, J.; Kim, Y.; Oh, J.Y.; Katsumata, T.; Mun, J.; Lee, Y.; et al. Tough and water-insensitive self-healing elastomer for robust electronic skin. Adv. Mater. 2018, 30, 1706846. [Google Scholar] [CrossRef]
- Kim, J.; Kumar, R.; Bandodkar, A.J.; Wang, J. Advanced materials for printed wearable electrochemical devices: A review. Adv. Electron. Mater. 2017, 3, 1600260. [Google Scholar] [CrossRef]
- Kwon, S.J.; Kim, T.; Jung, B.M. Multifunctional epoxy-based solid polymer electrolytes for solid-state supercapacitors. ACS Appl. Mater. Interfaces 2018, 10, 35108–35117. [Google Scholar] [CrossRef]
- Wang, F.; Wu, X.; Yuan, X.; Liu, Z.; Zhang, Y.; Fu, L.; Zhu, Y.; Zhou, Q.; Wu, Y.; Huang, W. Latest advances in supercapacitors: From new electrode materials to novel device designs. Chem. Soc. Rev. 2017, 46, 6816–6854. [Google Scholar] [CrossRef]
- Cheng, M.; Fu, Q.; Tan, B.; Ma, Y.; Fang, L.; Lu, C.; Xu, Z. Build a bridge from polymeric structure design to engineering application of self-healing coatings: A review. Prog. Org. Coat. 2022, 167, 106790. [Google Scholar] [CrossRef]
- Yang, Y.; Urban, M.W. Self-healing polymeric materials. Chem. Soc. Rev. 2013, 42, 7446–7467. [Google Scholar] [CrossRef]
- Jin, F.-L.; Li, X.; Park, S.-J. Synthesis and application of epoxy resins: A review. J. Ind. Eng. Chem. 2015, 29, 49592. [Google Scholar] [CrossRef]
- Gu, H.; Ma, C.; Gu, J.; Guo, J.; Yan, X.; Huang, J.; Zhang, Q.; Guo, Z. An overview of multifunctional epoxy nanocomposites. J. Mater. Chem. C 2016, 4, 5890–5906. [Google Scholar] [CrossRef]
- Kloxin, C.J.; Bowman, C.N. Covalent adaptable networks: Smart, reconfigurable and responsive network systems. Chem. Soc. Rev. 2013, 42, 7161–7173. [Google Scholar] [CrossRef]
- Roy, N.; Buhler, E.; Lehn, J.-M. Double dynamic self-healing polymers: Supramolecular and covalent dynamic polymers based on the bis-iminocarbohydrazide motif. Polym. Int. 2014, 44, 3786–3807. [Google Scholar] [CrossRef]
- Wojtecki, R.J.; Meador, M.A.; Rowan, S.J. Using the dynamic bond to access macroscopically responsive structurally dynamic polymers. Nat. Mater. 2011, 10, 14–27. [Google Scholar] [CrossRef]
- Wang, P.; Yang, L.; Dai, B.; Yang, Z.; Guo, S.; Gao, G.; Xu, L.; Sun, M.; Yao, K.; Zhu, J. A self-healing transparent polydimethylsiloxane elastomer based on imine bonds. Eur. Polym. J. 2019, 123, 109382. [Google Scholar] [CrossRef]
- Tasdelen, M.A. Diels–Alder “click” reactions: Recent applications in polymer and material science. Polym. Chem. 2011, 2, 2133–2145. [Google Scholar] [CrossRef]
- Zhang, J.; Cao, L.; Chem, Y. Mechanically robust, self-healing and conductive rubber with dual dynamic interactions of hydrogen bonds and borate ester bonds. Eur. Polym. J 2022, 168, 111103. [Google Scholar] [CrossRef]
- Li, Y.; Zhang, Y.; Rios, O.; Keum, J.; Kessler, M. Liquid crystalline epoxy networks with exchangeable disulfide bonds. Soft Matter 2017, 29, 5021–5027. [Google Scholar] [CrossRef]
- Liu, X.; Song, X.; Chen, B.; Liu, J.; Feng, Z.; Zhang, W.; Zeng, J.; Liang, L. Self-healing and shape-memory epoxy thermosets based on dynamic diselenide bonds. React. Funct. Polym. 2022, 170, 105121. [Google Scholar] [CrossRef]
- Zhang, Q.; Wang, S.; Rao, B.; Cheney, X.; Ma, L.; Cui, C.; Zhong, Q.; Li, Z.; Cheng, Y.; Zhang, Y. Hindered urea bonds for dynamic polymers: An overview. React. Funct. Polym. 2020, 159, 104807. [Google Scholar] [CrossRef]
- Strachota, B.; Hodan, J.; Dybal, J.; Matějka, L. Self-healing epoxy and reversible diels-alder based interpenetrating networks. Macromol. Mater. Eng. 2020, 306, 2000474. [Google Scholar] [CrossRef]
- Rashid, M.A.; Zhu, S.; Jiang, Q.; Wei, Y.; Liu, W. Developing easy processable, recyclable, and self-healable biobased epoxy resin through dynamic covalent imine bonds. ACS Appl. Polym. Mater. 2023, 5, 279–289. [Google Scholar] [CrossRef]
- Zeng, Y.; Li, J.; Liu, S.; Yang, B. Rosin-based epoxy vitrimers with dynamic boronic ester bonds. Polymers 2021, 13, 3386. [Google Scholar] [CrossRef] [PubMed]
- Gao, W.; Bie, M.; Liu, F.; Chang, P.; Quan, Y. Self-healable and reprocessable polysulfide sealants prepared from liquid polysulfide oligomer and epoxy resin. ACS Appl. Mater. Inter. 2017, 9, 15798–15808. [Google Scholar] [CrossRef]
- Kannurpatti, A.R.; Anseth, J.W.; Anseth, J.W.; Bowman, C.N. A study of the evolution of mechanical properties and structural heterogeneity of polymer networks formed by photopolymerizations of multifunctional (meth)acrylates. Polymer 1998, 139, 2507–2513. [Google Scholar] [CrossRef]
- Li, B.; Zhu, G.; Hao, Y.; Ren, T. An investigation on the performance of epoxy vitrimers based on disulfide bond. J. Appl. Polym. Sci. 2022, 39, 51589. [Google Scholar] [CrossRef]
- Wang, M.; Gao, H.; Wang, Z.; Mao, Y.; Yang, J.; Wu, B.; Jin, L.; Zhang, C.; Xia, Y.; Zhang, K. Rapid self-healed vitrimers via tailored hydroxyl esters and disulfide bonds. Polymer 2022, 248, 124801. [Google Scholar] [CrossRef]
- Ortiz, R.A.; Berlanga, O.A.; Valdez, A.E.G.; Flores, R.A.; Padilla, J.G.T.; Paddilla, M.G.M. Self-healing photocurable epoxy/thiol-ene systems using an aromatic epoxy resin. Adv. Mater. Sci. Eng. 2016, 2016, 8245972. [Google Scholar] [CrossRef]
- GB/T 1040.2-2022; Plastics-Determination of Tensile Properties. Part 2: Test Conditions for Moulding and Extrusion Plastics. Standards Press of China: Beijing, China, 2022.
- GB/T 30648.1-2014; Paints and Varnishes-Determination of Resistance to Liquids. Part 1: Immersion in Liquids Other Than Water. Standards Press of China: Beijing, China, 2014.
- GB/T 6739-1996; Determination of Film Hardness by Pencil Test. Standards Press of China: Beijing, China, 1996.
- GB/T 9286-1998; Paints and Varnishes—Cross Cut Test for Films. Standards Press of China: Beijing, China, 2014.
- Zhang, M.; Zhao, F.; Luo, Y. Self-healing mechanism of microcracks on waterborne polyurethane with tunable disulfide bond contents. ACS Omega 2019, 4, 1703–1714. [Google Scholar] [CrossRef]
- Adli, A.; Shelesh-Nezhad, K.; Khoshravan Azar, M.; Mohammadi-Aghdam, M. The effect of vascular self-healing pattern on mechanical behaviour and healing performance of epoxy/glass composite. Plast. Rubber Compo. 2020, 49, 79–90. [Google Scholar] [CrossRef]
- Hu, Z.; Liu, Y.; Xu, X.; Yuan, W.; Yang, L.; Shao, Q.; Guo, Z.; Ding, T.; Huang, Y. Efficient intrinsic self-healing epoxy acrylate formed from host-guest chemistry. Polymer 2019, 164, 79–85. [Google Scholar] [CrossRef]
- Zhong, L.; Hao, Y.; Zhang, J.; Wei, F.; Li, T.; Miao, M.; Zhang, D. Closed-Loop Recyclable Fully Bio-Based Epoxy Vitrimers from Ferulic Acid-Derived Hyperbranched Epoxy Resin. Macromolecules 2022, 55, 595–607. [Google Scholar] [CrossRef]
- Li, Z.; Zhong, J.; Liu, M.; Rong, J.; Yang, K.; Zhou, J.; Shen, L.; Gao, F.; He, H. Investigation on Self-healing Property of Epoxy Resins Based on Disulfide Dynamic Links. Chin. J. Polym. Sci. 2020, 38, 932–940. [Google Scholar] [CrossRef]
- Chen, T.; Fang, L.; Li, X.; Gao, D.; Lu, C.; Xu, Z. Self-healing polymer coatings of polyurea-urethane/epoxy blends with reversible and dynamic bonds. Prog. Org. Coat. 2020, 147, 105876. [Google Scholar] [CrossRef]
- Li, W.; Xiao, L.; Wang, Y.; Chen, J.; Nie, X. Self-healing silicon-containing eugenol-based epoxy resin based on disulfide bond exchange: Synthesis and structure-property relationships. Polymer 2021, 229, 123967. [Google Scholar] [CrossRef]







| Sample | PD-1 | PD-2 | PD-3 | PD-4 | PD-5 |
|---|---|---|---|---|---|
| PEA: DTPA | 1.8 | 1.9 | 2 | 2.1 | 2.2 |
| Curing Agent | Mechanical Properties | Resistance to Liquid Medium (72 h) | ||||||
|---|---|---|---|---|---|---|---|---|
| Adhesion(N/A) | Pencil Hardness(N/A) | H2O | H2SO4 | NaOH | NaCl | EtOH | THF | |
| PD-1 | 0 | 2H | △ | ▲ | △ | △ | ▲ | ▲ |
| PD-2 | 0 | HB | △ | ▲ | △ | △ | ▲ | ▲ |
| PD-3 | 0 | H | △ | ▲ | △ | △ | ○ | ▲ |
| PD-4 | 0 | B | △ | ▲ | △ | △ | ▲ | ▲ |
| PD-5 | 0 | B | △ | ▲ | △ | △ | ▲ | ▲ |
Disclaimer/Publisher’s Note: The statements, opinions and data contained in all publications are solely those of the individual author(s) and contributor(s) and not of MDPI and/or the editor(s). MDPI and/or the editor(s) disclaim responsibility for any injury to people or property resulting from any ideas, methods, instructions or products referred to in the content. |
© 2023 by the authors. Licensee MDPI, Basel, Switzerland. This article is an open access article distributed under the terms and conditions of the Creative Commons Attribution (CC BY) license (https://creativecommons.org/licenses/by/4.0/).
Share and Cite
Wang, B.; Li, Z.; Liu, X.; Li, L.; Yu, J.; Li, S.; Guo, G.; Gao, D.; Dai, Y. Preparation of Epoxy Resin with Disulfide-Containing Curing Agent and Its Application in Self-Healing Coating. Materials 2023, 16, 4440. https://doi.org/10.3390/ma16124440
Wang B, Li Z, Liu X, Li L, Yu J, Li S, Guo G, Gao D, Dai Y. Preparation of Epoxy Resin with Disulfide-Containing Curing Agent and Its Application in Self-Healing Coating. Materials. 2023; 16(12):4440. https://doi.org/10.3390/ma16124440
Chicago/Turabian StyleWang, Baolei, Zewei Li, Xinru Liu, Lulu Li, Jianxiang Yu, Shuang Li, Gaiping Guo, Dahai Gao, and Yuhua Dai. 2023. "Preparation of Epoxy Resin with Disulfide-Containing Curing Agent and Its Application in Self-Healing Coating" Materials 16, no. 12: 4440. https://doi.org/10.3390/ma16124440
APA StyleWang, B., Li, Z., Liu, X., Li, L., Yu, J., Li, S., Guo, G., Gao, D., & Dai, Y. (2023). Preparation of Epoxy Resin with Disulfide-Containing Curing Agent and Its Application in Self-Healing Coating. Materials, 16(12), 4440. https://doi.org/10.3390/ma16124440

