The Evolution of Structural Defects under Irradiation in W by Molecular Dynamics Simulation
Abstract
1. Introduction
2. Methods
2.1. Model and Simulation
2.2. Structure Defect Analysis
3. Results and Discussion
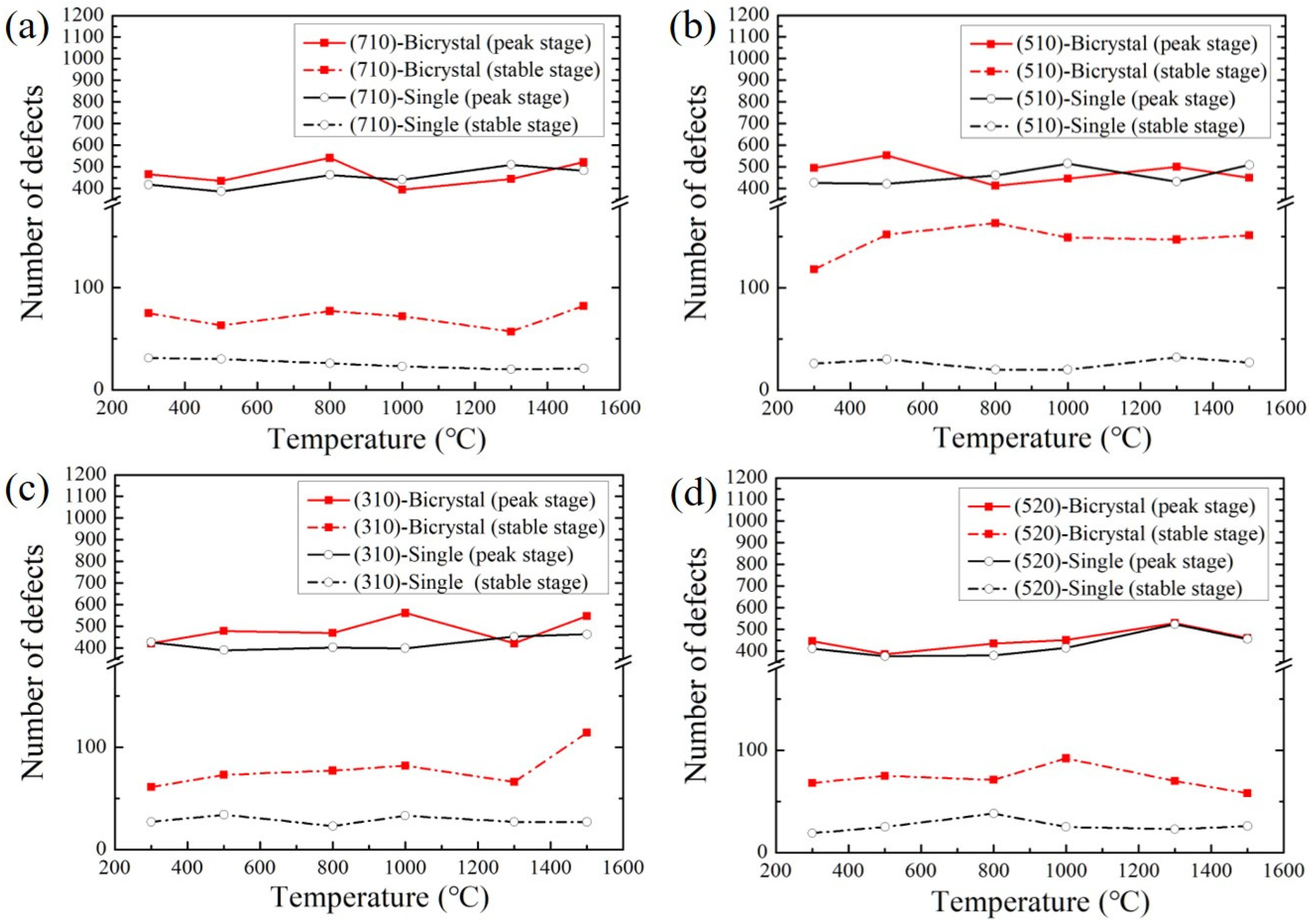
3.1. The Effect of Temperature
3.2. The Effect of PKA Energy
3.3. The Distribution of Clusters near GBs
4. Conclusions
Author Contributions
Funding
Institutional Review Board Statement
Informed Consent Statement
Data Availability Statement
Conflicts of Interest
References
- Stoller, R.E.; Greenwood, L.R. Subcascade formation in displacement cascade simulations: Implications for fusion reactor materials. J. Nucl. Mater. 1999, 271, 57–62. [Google Scholar] [CrossRef]
- Ackland, G. Controlling Radiation Damage. Science 2010, 327, 1587–1588. [Google Scholar] [CrossRef] [PubMed]
- Yi, X.; Jenkins, M.L.; Briceno, M.; Zhou, Z.; Kirk, M. In situ study of self-ion irradiation damage in W and W–5Re at 500 °C. Philos. Mag. 2013, 93, 1715–1738. [Google Scholar] [CrossRef]
- Zhang, L.; Lu, C.; Michal, G.; Deng, G.; Tieu, K. The formation and destruction of stacking fault tetrahedron in fcc metals: A molecular dynamics study. Scr. Mater. 2017, 136, 78–82. [Google Scholar] [CrossRef]
- Fikar, J.; Schäublin, R. Molecular dynamics simulation of radiation damage in bcc tungsten. Nucl. Inst. Meth. Phys. Res. B 2007, 255, 27. [Google Scholar] [CrossRef]
- Mansur, L. Theory and experimental background on dimensional changes in irradiated alloys. J. Nucl. Mater. 1994, 216, 97–123. [Google Scholar] [CrossRef]
- Sickafus, K.E.; Grimes, R.W.; Valdez, J.A.; Cleave, A.; Tang, M.; Ishimaru, M.; Corish, S.M.; Stanek, C.R.; Uberuaga, B. Radiation-induced amorphization resistance and radiation tolerance in structurally related oxides. Nat. Mater. 2007, 6, 217–223. [Google Scholar] [CrossRef] [PubMed]
- Zhang, L.; Lu, C.; Shibuta, Y. Shear response of grain boundaries with metastable structures by molecular dynamics simulations. Model. Simul. Mater. Sci. Eng. 2018, 26, 035008. [Google Scholar] [CrossRef]
- Zinkle, S.; Farrell, K. Void swelling and defect cluster formation in reactor-irradiated copper. J. Nucl. Mater. 1989, 168, 262–267. [Google Scholar] [CrossRef]
- Odette, G.R.; Alinger, M.J.; Wirth, B.D. Recent Developments in Irradiation-Resistant Steels. Annu. Rev. Mater. Res. 2008, 38, 471–503. [Google Scholar] [CrossRef]
- Zheng, R.; Yang, L.; Zhang, L. Grain Boundary Migration as a Self-Healing Mechanism of Tungsten at High Temperature. Metals 2022, 12, 1491. [Google Scholar] [CrossRef]
- Zhang, L.; Shibuta, Y.; Lu, C. Atomistic Simulation of the Interaction Between Point Defects and Twin Boundary. Phys. Status Solidi B 2018, 255, 1800228. [Google Scholar] [CrossRef]
- Zhang, C.; Zhou, W.; Li, Y.; Zeng, Z.; Ju, X. Primary radiation damage near grain boundary in bcc tungsten by molecular dynamics simulations. J. Nucl. Mater. 2015, 458, 138–145. [Google Scholar] [CrossRef]
- Yu, J.N. Material Irradiation Effect; Chemical Industry Publishing House: Beijing, China, 2007. [Google Scholar]
- Li, W.Y. Introduction to Nuclear Materials; Chemical Industry Publishing House: Beijing, China, 2007. [Google Scholar]
- Bai, X.-M.; Voter, A.F.; Hoagland, R.G.; Nastasi, M.; Uberuaga, B.P. Efficient Annealing of Radiation Damage Near Grain Boundaries via Interstitial Emission. Science 2010, 327, 1631–1634. [Google Scholar] [CrossRef]
- Stoller, R.E.; Odette, G.R.; Wirth, B.D. Primary damage formation in bcc iron. J. Nucl. Mater. 1997, 251, 49–60. [Google Scholar] [CrossRef]
- Zhang, L.; Lu, C.; Tieu, K.; Shibuta, Y. Dynamic interaction between grain boundary and stacking fault tetrahedron. Scr. Mater. 2018, 144, 78–83. [Google Scholar] [CrossRef]
- Yi, X.O.; Han, W.T.; Liu, P.P.; Ferroni, F.; Zhan, Q.; Wan, F. Defect Production, evolution, and thermal recovery mechanisms in radiation damaged tungsten. Acta Metall. Sin. 2021, 3, 257–271. [Google Scholar]
- Abernethy, R. Predicting the performance of tungsten in a fusion environment: A literature review. Mater. Sci. Technol. 2016, 4, 388–399. [Google Scholar] [CrossRef]
- Sand, A.; Nordlund, K.; Dudarev, S. Radiation damage production in massive cascades initiated by fusion neutrons in tungsten. J. Nucl. Mater. 2014, 455, 207–211. [Google Scholar] [CrossRef]
- Terentyev, D.; Jenus, P.; Sal, E.; Zinovev, A.; Chang, C.-C.; Garcia-Rosales, C.; Kocen, M.; Novak, S.; Van Renterghem, W. Development of irradiation tolerant tungsten alloys for high temperature nuclear applications. Nucl. Fusion 2022, 62, 086035. [Google Scholar] [CrossRef]
- Rieth, M.; Dudarev, S.; de Vicente, S.G.; Aktaa, J.; Ahlgren, T.; Antusch, S.; Armstrong, D.; Balden, M.; Baluc, N.; Barthe, M.-F.; et al. Recent progress in research on tungsten materials for nuclear fusion applications in Europe. J. Nucl. Mater. 2013, 432, 482–500. [Google Scholar] [CrossRef]
- Jäger, W.; Wilkens, M. Formation of vacancy-type dislocation loops in tungsten bombarded by 60 keV Au ions. Phys. Status Solidi 1975, 32, 89–100. [Google Scholar] [CrossRef]
- Hasegawa, A.; Fukuda, M.; Yabuuchi, K.; Nogami, S. Neutron irradiation effects on the microstructural development of tungsten and tungsten alloys. J. Nucl. Mater. 2016, 471, 175–183. [Google Scholar] [CrossRef]
- Šestan, A.; Sreekala, L.; Markelj, S.; Kelemen, M.; Zavašnik, J.; Liebscher, C.H.; Dehm, G.; Hickel, T.; Čeh, M.; Novak, S.; et al. Non-uniform He bubble formation in W/W2C composite: Experimental and ab-initio study. Acta Mater. 2022, 226, 117608. [Google Scholar] [CrossRef]
- Domínguez-Gutiérrez, F.J. Temperature effects on the point defects formation in [111] W by neutron induced collision cascade. Nucl. Inst. Methods Phys. Res. B 2022, 512, 38–41. [Google Scholar] [CrossRef]
- Wang, Y.; Liu, W.; Zhang, J.; Yun, D.; Chen, P. The evolution of radiation-induced point defects near symmetrical tilt Σ5 (310) grain boundary in pure δ-plutonium: A molecular dynamics study. Nucl. Eng. Technol. 2020, 53, 1587–1592. [Google Scholar] [CrossRef]
- Sand, A.E.; Dudarev, S.L.; Nordlund, K. High-energy collision cascades in tungsten: Dislocation loops structure and clustering scaling laws. EPL Europhysics Lett. 2013, 103, 46003. [Google Scholar] [CrossRef]
- Plimpton, S. Fast Parallel Algorithms for Short-Range Molecular Dynamics. J. Comput. Phys. 1995, 117, 1–19. [Google Scholar] [CrossRef]
- Cahn, J.W.; Mishin, Y.; Suzuki, A. Coupling grain boundary motion to shear deformation. Acta Mater. 2006, 54, 4953–4975. [Google Scholar] [CrossRef]
- Marinica, M.-C.; Ventelon, L.; Gilbert, M.; Proville, L.; Dudarev, S.L.; Marian, J.; Bencteux, G.; Willaime, F. Interatomic potentials for modelling radiation defects and dislocations in tungsten. J. Phys. Condens. Matter 2013, 25, 395502. [Google Scholar] [CrossRef]
- Mathew, N.; Perez, D.; Suk, W.; Uberuaga, B.P.; Martinez, E. Interstitial hydrogen enhances the mobility of some grain boundaries in tungsten. Nucl. Fusion 2022, 62, 086016. [Google Scholar] [CrossRef]
- Hu, Y.Q.; Huang, P.; Wang, F. Graphene distribution and structural integrity dependent irradiation resistance of graphene/tungsten composites. Mater. Today Commun. 2022, 31, 103365. [Google Scholar] [CrossRef]
- Cui, J.; Li, M.; Fu, B.; Hou, Q. Molecular dynamics simulations of self-diffusion of adatoms on tungsten surfaces. Nucl. Instrum. Methods Phys. Res. Sect. B 2019, 456, 1–6. [Google Scholar] [CrossRef]
- Meng, Q.; Niu, L.; Zhang, Y.; Lu, G. Molecular dynamics simulations of temperature effect on tungsten sputtering yields under helium bombardment. Sci. China Physics Mech. Astron. 2018, 61, 017121. [Google Scholar] [CrossRef]
- Zhou, W.; Zhang, C.; Li, Y.; Zeng, Z. Transport, dissociation and rotation of small self-interstitial atom clusters in tungsten. J. Nucl. Mater. 2014, 453, 202–209. [Google Scholar] [CrossRef]
- Stukowski, A. Visualization and analysis of atomistic simulation data with OVITO—The Open Visualization Tool. Model. Simul. Mater. Sci. Eng. 2009, 18, 015012. [Google Scholar] [CrossRef]
- Nordlund, K.; Ghaly, M.; Averback, R.S.; Caturla, M.; de la Rubia, T.D.; Tarus, J. Defect production in collision cascades in elemental semiconductors and fcc metals. Phys. Rev. B 1998, 57, 7556–7570. [Google Scholar] [CrossRef]
- Vortler, K.; Juslin, N.; Bonny, G.; Nordlund, K. The effect of prolonged irradiation on defect production and ordering in Fe-Cr and Fi-Ni alloys. J. Phys. Condens. Matter. 2011, 23, 355007. [Google Scholar] [CrossRef]
- Stoller, R. The role of cascade energy and temperature in primary defect formation in iron. J. Nucl. Mater. 2000, 276, 22–32. [Google Scholar] [CrossRef]
- Ma, X.; Yang, K.; Xu, Y.; Du, X.; Zhou, J.; Xiao, R. Molecular dynamics simulation of displacement cascades in Nb. Acta Metall. Sin. 2020, 56, 250–256. [Google Scholar]
- Sahi, Q.-U.; Kim, Y.-S. Primary radiation damage characterization of α-iron under irradiation temperature for various PKA energies. Mater. Res. Express 2018, 5, 046518. [Google Scholar] [CrossRef]
- Liu, L.; Qiu, R.; Chen, Y.; Jiang, M.; Gao, N.; Huang, B.; Gao, F.; Hu, W.; Deng, H. Displacement cascades database from molecular dynamics simulations in tungsten. J. Nucl. Mater. 2023, 580, 154415. [Google Scholar] [CrossRef]
- Yao, M.; Cui, W.; Wang, X.D.; Xu, H.; Phillpot, S. Molecular dynamics simulation of initial radiation damage in tungsten. Acta Metall. Sin. 2015, 51, 724–732. [Google Scholar]
- Park, N.Y.; Kim, Y.C.; Seok, H.K.; Han, S.; Cho, S.; Cha, P. Molecular dynamics simulation of irradiation damage in tungsten. Nucl. Instrum. Methods Phys. Res. Sect. B Beam Interact. Mater. At. 2007, 265, 547–552. [Google Scholar] [CrossRef]
- Tschoop, M.A. Probing grain boundary sink strength at the nanoscale: Energetics and length scales of vacancy and interstitial absorption by grain boundaries in a-Fe. Phys. Rev. 2012, 85, 064108. [Google Scholar] [CrossRef]
- Bai, X.-M.; Vernon, L.J.; Hoagland, R.G.; Voter, A.F.; Nastasi, M.; Uberuaga, B.P. Role of atomic structure on grain boundary-defect interactions in Cu. Phys. Rev. B 2012, 85, 214103. [Google Scholar] [CrossRef]
- Zhang, L.; Shibuta, Y.; Lu, C.; Huang, X. Interaction between nano-voids and migrating grain boundary by molecular dynamics simulation. Acta Mater. 2019, 173, 206–224. [Google Scholar] [CrossRef]
- Lin, Y.; Yang, T.; Lang, L.; Shan, C.; Deng, H.; Hu, W.; Gao, F. Enhanced radiation tolerance of the Ni-Co-Cr-Fe high-entropy alloy as revealed from primary damage. Acta Mater. 2020, 196, 133–143. [Google Scholar] [CrossRef]








| Models | θ (°) | X × Y × Z (nm) | N |
|---|---|---|---|
| (710)-Bicrystal | 16.3 | 15.560 × 20.001 × 6.28 | 124,880 |
| (710)-Single | / | 126,000 | |
| (510)-Bicrystal | 22.6 | 16.073 × 19.878 × 6.28 | 128,400 |
| (510)-Single | / | 128,800 | |
| (310)-Bicrystal | 36.9 | 15.967 × 19.938 × 6.28 | 127,360 |
| (310)-Single | / | 128,000 | |
| (520)-Bicrystal | 43.6 | 15.306 × 20.408 × 6.28 | 125,280 |
| (520)-Single | / | 125,280 |
Disclaimer/Publisher’s Note: The statements, opinions and data contained in all publications are solely those of the individual author(s) and contributor(s) and not of MDPI and/or the editor(s). MDPI and/or the editor(s) disclaim responsibility for any injury to people or property resulting from any ideas, methods, instructions or products referred to in the content. |
© 2023 by the authors. Licensee MDPI, Basel, Switzerland. This article is an open access article distributed under the terms and conditions of the Creative Commons Attribution (CC BY) license (https://creativecommons.org/licenses/by/4.0/).
Share and Cite
Zheng, R.; Xuan, W.; Xie, J.; Chen, S.; Yang, L.; Zhang, L. The Evolution of Structural Defects under Irradiation in W by Molecular Dynamics Simulation. Materials 2023, 16, 4414. https://doi.org/10.3390/ma16124414
Zheng R, Xuan W, Xie J, Chen S, Yang L, Zhang L. The Evolution of Structural Defects under Irradiation in W by Molecular Dynamics Simulation. Materials. 2023; 16(12):4414. https://doi.org/10.3390/ma16124414
Chicago/Turabian StyleZheng, Ruxin, Wujing Xuan, Junjun Xie, Shasha Chen, Liuqing Yang, and Liang Zhang. 2023. "The Evolution of Structural Defects under Irradiation in W by Molecular Dynamics Simulation" Materials 16, no. 12: 4414. https://doi.org/10.3390/ma16124414
APA StyleZheng, R., Xuan, W., Xie, J., Chen, S., Yang, L., & Zhang, L. (2023). The Evolution of Structural Defects under Irradiation in W by Molecular Dynamics Simulation. Materials, 16(12), 4414. https://doi.org/10.3390/ma16124414

