Experimental and Numerical Study of Non-Explosive Simulated Blast Loading on Reinforced Concrete Slabs
Abstract
1. Introduction
2. Experiment Program
2.1. Non-Explosive Blast Simulator
2.2. Test Specimen
2.3. Impact Cushion
2.4. Experimental Setup
3. Experimental Results and Discussion
3.1. Methodologies for Calculated Parameters
3.1.1. Load
3.1.2. Velocity
3.2. Comparison of Impact Loading and Blast Loading
3.3. Analysis and Discussion
4. Numerical Simulations
4.1. Material Models
4.1.1. Concrete
4.1.2. Steel
4.1.3. Rubber
| Material | Parameter | Value | Comments |
|---|---|---|---|
| Concrete | RO (Density) | 2400 kg/m3 | Material test data |
| FPC (Uniaxial compression strength) | 45.6 MPa | ||
| NPLOT | 1 | According to [32,35,36] | |
| INCRE | 0 | ||
| IRATE (Rate effects options) | 1 | ||
| Elements erode | 1.1 | ||
| RECOV | 0 | ||
| IRETRC (Cap retraction option) | 0 | ||
| Pre-existing damage | 0 | ||
| DAGG (Maximum aggregate size) | 24 mm | ||
| UNITS (Units options) | 4 | ||
| Steel | Density | 7800 kg/m3 | Material test data |
| Young’s modulus | 2.09 × 105 MPa | ||
| Poisson’s ratio | 0.3 | ||
| Yield stress | 435.3 or 450.1 MPa | ||
| Rubber | Density | 1.27 kg/m3 | According to [34,37] |
| Poisson’s ratio | 0.463 | ||
| Shear modulus | 24 MPa |
4.2. Model Calibration and Validation
4.2.1. Numerical Model
4.2.2. Boundary Conditions
4.2.3. Grid Refinement Analysis
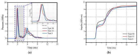
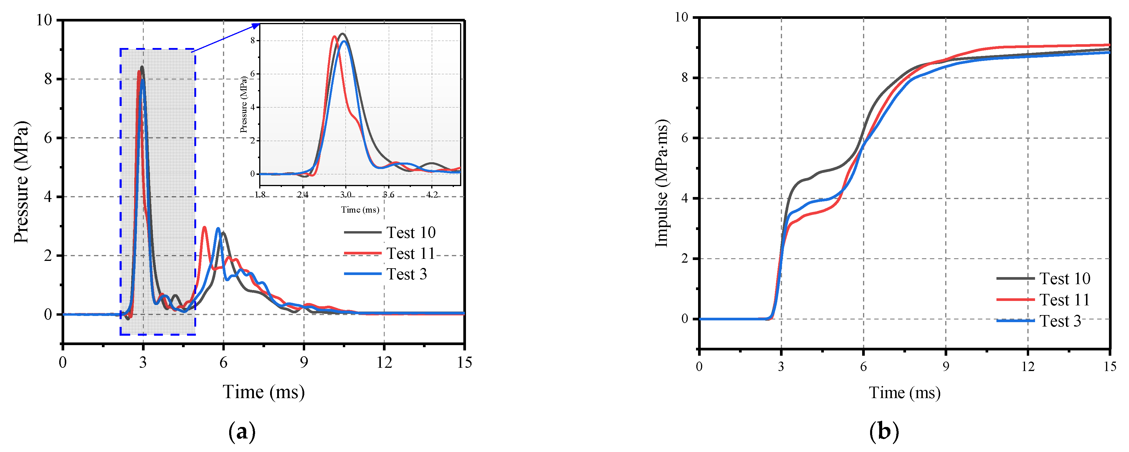
4.2.4. Comparison of Experimental and Numerical Results
4.3. Parametric Studies
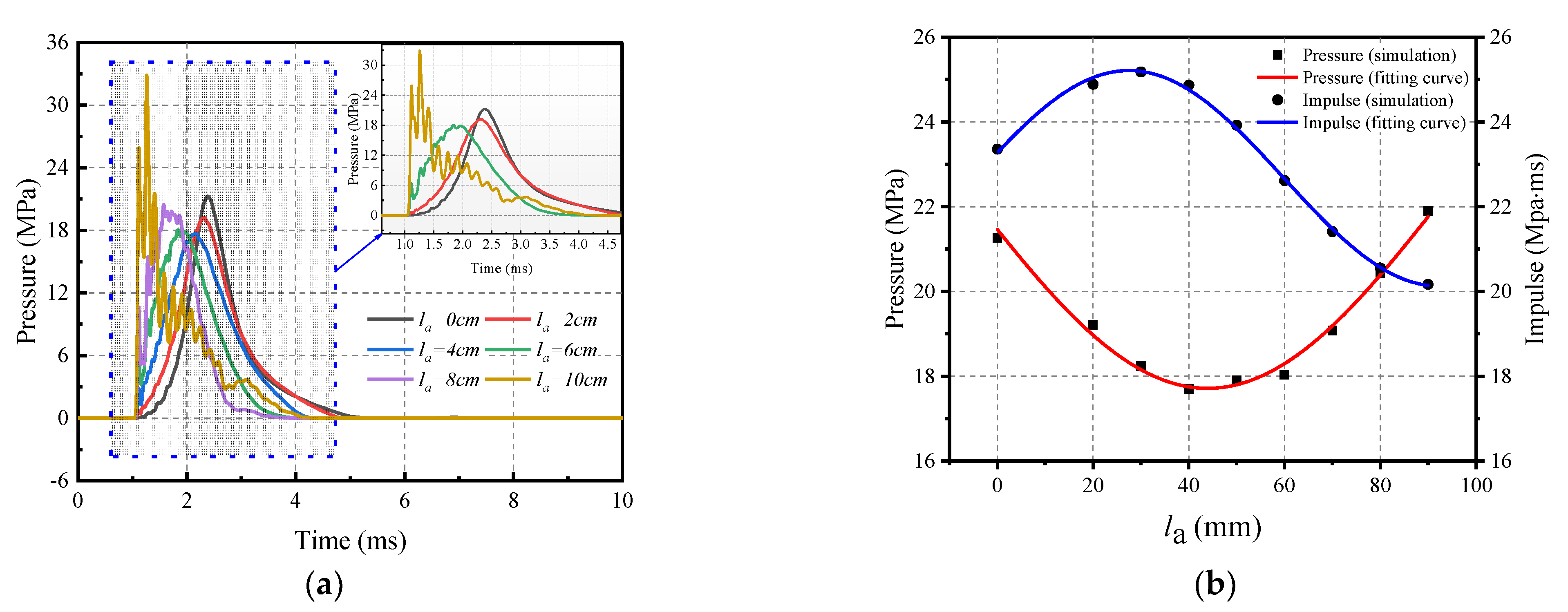
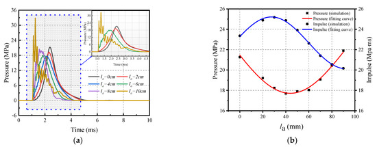
4.3.1. Effect of Rubber Shapes
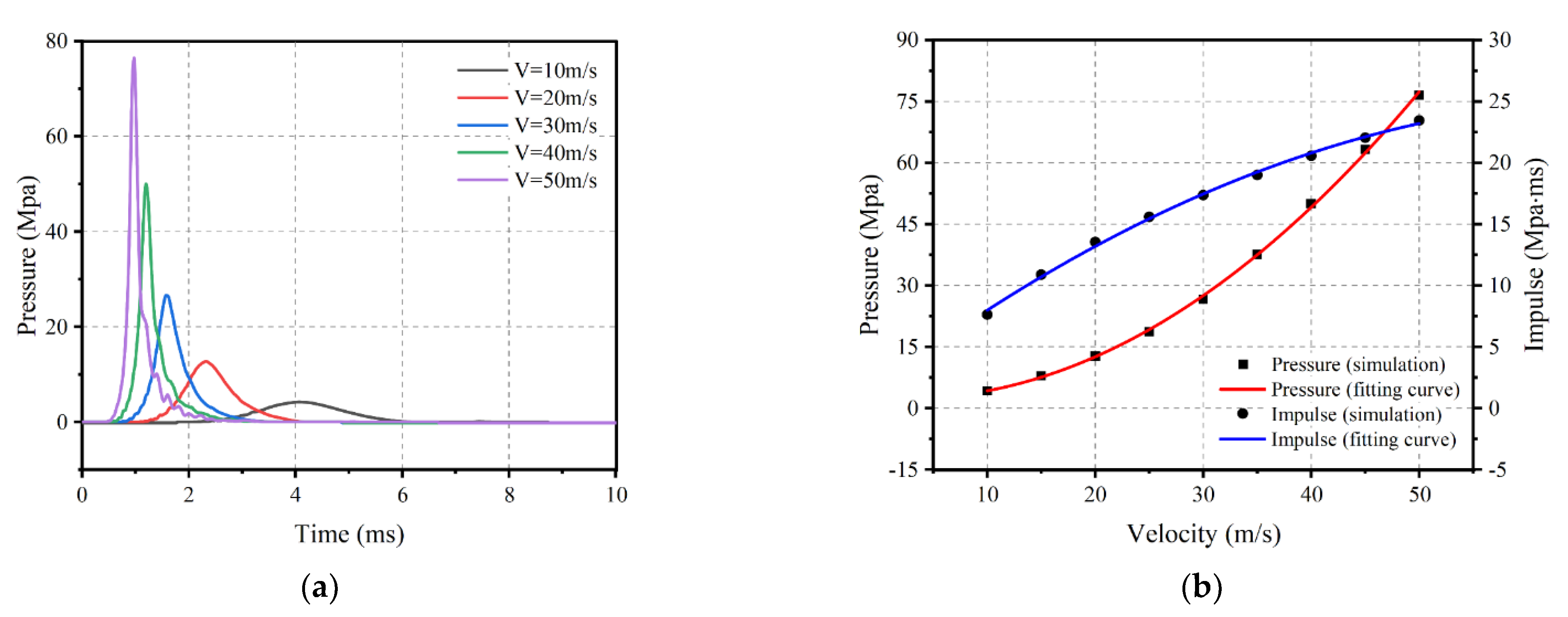
4.3.2. Effect of Impact Velocities
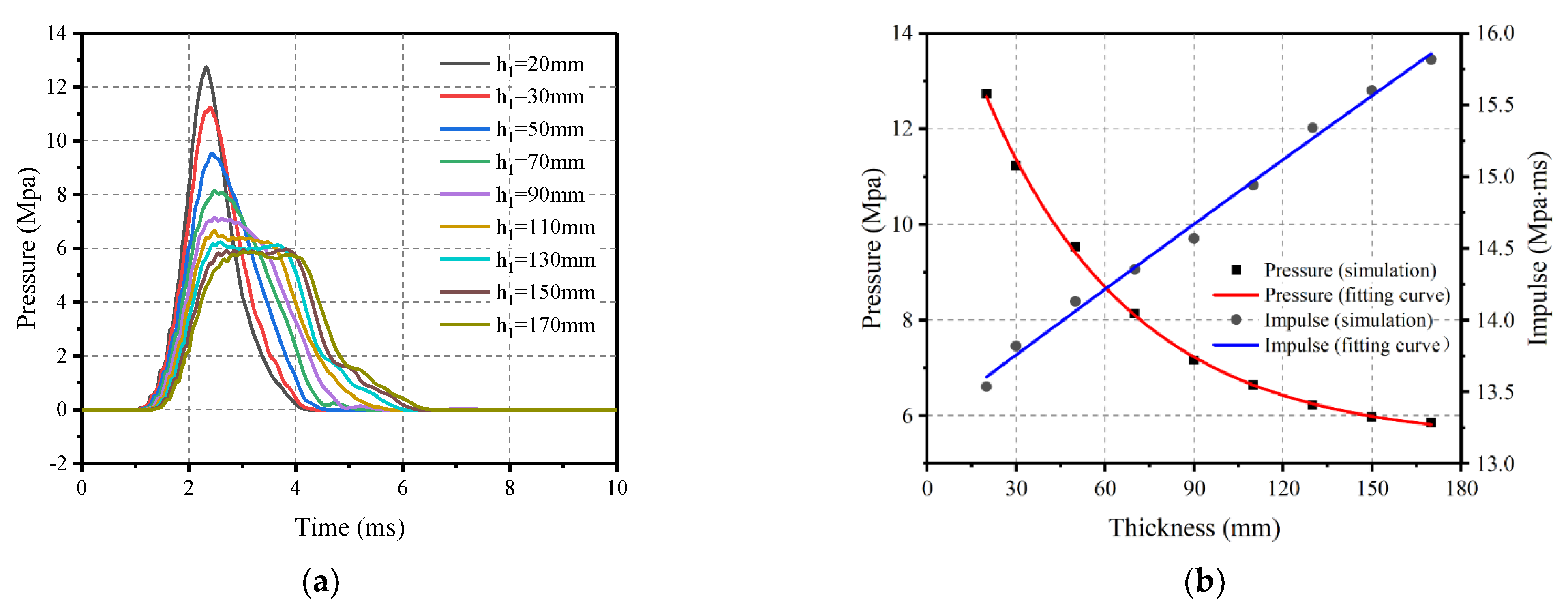
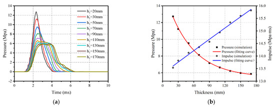
4.3.3. Effect of Bottom Thicknesses
4.3.4. Effect of Upper Thicknesses
5. Summary and Conclusions
Author Contributions
Funding
Institutional Review Board Statement
Informed Consent Statement
Data Availability Statement
Conflicts of Interest
References
- Liao, Q.; Yu, J.; Xie, X.; Ye, J.; Jiang, F. Experimental study of reinforced UHDC-UHPC panels under close-in blast loading. J. Build. Eng. 2022, 46, 103498. [Google Scholar] [CrossRef]
- Wang, L.; Cheng, S.; Liao, Z.; Yin, W.; Liu, K.; Ma, L.; Wang, T.; Zhang, D. Blast Resistance of Reinforced Concrete Slabs Based on Residual Load-Bearing Capacity. Materials 2022, 15, 6449. [Google Scholar] [CrossRef] [PubMed]
- Wang, W.; Yang, G.; Yang, J.; Wang, J.; Wang, X. Experimental and numerical research on reinforced concrete slabs strengthened with POZD coated corrugated steel under contact explosive load. Int. J. Impact Eng. 2022, 166, 104256. [Google Scholar] [CrossRef]
- Schenker, A.; Anteby, I.; Gal, E.; Kivity, Y.; Nizri, E.; Sadot, O.; Michaelis, R.; Levintant, O.; Ben-Dor, G. Full-scale field tests of concrete slabs subjected to blast loads. Int. J. Impact Eng. 2008, 35, 184–198. [Google Scholar] [CrossRef]
- Dharmasena, K.P.; Wadley, H.N.; Xue, Z.; Hutchinson, J.W. Mechanical response of metallic honeycomb sandwich panel structures to high-intensity dynamic loading. Int. J. Impact Eng. 2008, 35, 1063–1074. [Google Scholar] [CrossRef]
- Stapczynski, J.S. Blast injuries. Ann. Emerg. Med. 1982, 11, 687–694. [Google Scholar] [CrossRef] [PubMed]
- Bartyczak, S.; Mock, J. Versatile gas gun target assembly for studying blast wave mitigation in materials. In AIP Conference Proceedings; AIP Publishing: Long Island, NY, USA, 2012; pp. 501–504. [Google Scholar] [CrossRef]
- Schleyer, G.K.; Lowak, M.J.; Polcyn, M.A.; Langdon, G.S. Experimental investigation of blast wall panels under shock pressure loading. Int. J. Impact Eng. 2007, 34, 1095–1118. [Google Scholar] [CrossRef]
- Thiagarajan, G.; Kadambi, A.V.; Robert, S.; Johnson, C.F. Experimental and finite element analysis of doubly reinforced concrete slabs subjected to blast loads. Int. J. Impact Eng. 2015, 75, 162–173. [Google Scholar] [CrossRef]
- Rodrígueznikl, T. Experimental Simulations of Explosive Loading on Structural Components: Reinforced Concrete Columns with Advanced Composite Jackets. Ph.D. Thesis, University of California, San Diego, CA, USA, 2006. [Google Scholar]
- Oesterle, M.G. Blast Simulator Wall Tests: Experimental Methods and Mitigation Strategies for Reinforced Concrete and Concrete Masonry; University of California, San Diego: La Jolla, CA, USA, 2009. [Google Scholar]
- Gram, M.M.; Clark, A.J.; Hegemier, G.A.; Seible, F. Laboratory simulation of blast loading on building and bridge structures. In Structures Under Shock and Impact Ix; WIT Press: Billerica, MA, USA, 2006; Volume 87, pp. 33–44. [Google Scholar] [CrossRef]
- Freidenberg, A. Advancements in Blast Simulator Analysis Demonstrated on a Prototype Wall Structure. Ph.D. Thesis, University of California, San Diego, CA, USA, 2013. [Google Scholar]
- Huson, P. Experimental and Numerical Simulations of Explosive Loading on Structural Components: Composite Sandwich Connections. Ph.D. Thesis, University of California, San Diego, CA, USA, 2012. [Google Scholar]
- Wolfson, J.C. Blast Damage Mitigation of Steel Structures from Near-Contact Charges. Ph.D. Thesis, University of California, San Diego, CA, USA, 2008. [Google Scholar]
- Paul, S.C.; Lv, P.; Xiao, Y.-J.; An, P.; Liu, S.-Q.; Luo, H.-S. Thalidomide in rat liver cirrhosis: Blockade of tumor necrosis factor-alpha via inhibition of degradation of an inhibitor of nuclear factor-kappaB. Pathobiology 2006, 73, 82–92. [Google Scholar] [CrossRef] [PubMed]
- Peroni, M.; Solomos, G.; Caverzan, A.; Larcher, M.; Valsamos, G. Assessment of dynamic mechanical behaviour of reinforced concrete beams using a blast simulator. EPJ Web Conf. 2015, 94, 1010. [Google Scholar] [CrossRef]
- Marco, P.; George, S.; Pierre, P.; Alessio, C. Electrical Blast Simulator (e-BLAST): Design, Development and First Operational Tests; European Union: Brussels, Belgium, 2015. [Google Scholar]
- Hetherington, J.; Smith, P. Blast and Ballistic Loading of Structures; CRC Press: Boca Raton, FL, USA, 2014; ISBN 9780429077982. [Google Scholar]
- Krauthammer, T. Modern Protective Structures; CRC Press: Boca Raton, FL, USA, 2008. [Google Scholar]
- Tekalur, S.A.; Bogdanovich, A.E.; Shukla, A. Shock loading response of sandwich panels with 3-D woven E-glass composite skins and stitched foam core. Compos. Sci. Technol. 2009, 69, 736–753. [Google Scholar] [CrossRef]
- Kinney, G.F.; Graham, K.J. Explosive Shocks in Air, 2nd ed.; Springer: Berlin/Heidelberg, Germany, 1985; ISBN 9783642866845. [Google Scholar]
- Eswaran, M.; Parulekar, Y.M.; Reddy, G.R. Introduction to Structural Dynamics and Vibration of Single-Degree-of-Freedom Systems. In Textbook of Seismic Design: Structures, Piping Systems, and Components; Reddy, G.R., Muruva, H.P., Verma, A.K., Eds.; Springer Singapore: Singapore, 2019; pp. 61–93. ISBN 978-981-13-3175-6. [Google Scholar]
- U.S. Departments of the Army, the Navy and the Air Force. Structures to Resist the Effects of Accidental Explosions (TM 5-1300/NAVFAC P-397/AFR 88-22, Revision 1); Departments of the Army, Air Force, and Navy and the Defense Special Weapons Agency: Washington, DC, USA, 1990.
- Chopra, A. Dynamics of Structures; Pearson Education: Upper Saddle River, NJ, USA, 2005. [Google Scholar]
- Zhou, X.Q.; Kuznetsov, V.A.; Hao, H.; Waschl, J. Numerical prediction of concrete slab response to blast loading. Int. J. Impact Eng. 2008, 35, 1186–1200. [Google Scholar] [CrossRef]
- Rasouli, A.; Toopchi-Nezhad, H. The influence of confined water on blast response of reinforced concrete slabs: Experimental investigation. J. Build. Eng. 2020, 30, 101285. [Google Scholar] [CrossRef]
- Wu, J.; Zhou, Y.; Zhang, R.; Liu, C.; Zhang, Z. Numerical simulation of reinforced concrete slab subjected to blast loading and the structural damage assessment. Eng. Fail. Anal. 2020, 118, 104926. [Google Scholar] [CrossRef]
- Wang, W.; Zhang, D.; Lu, F.; Tang, F.; Wang, S. Pressure-impulse diagram with multiple failure modes of one-way reinforced concrete slab under blast loading using SDOF method. J. Cent. South Univ. 2013, 20, 510–519. [Google Scholar] [CrossRef]
- Departments of the Army, Air Force, and Navy and the Defense Special Weapons Agency. Design and Analysis of Hardened Structures to Conventional Weapons Effects, TM 5-855-1/AFPAM 32-1147(I)/NAVFAC P-1080/DAHSCWEMAN-97; Departments of the Army, Air Force, and Navy and the Defense Special Weapons Agency: Washington, DC, USA, 1997.
- Shuaib, M.; Daoud, O. Numerical Modelling of Reinforced Concrete Slabs under Blast Loads of Close-in Detonations Using the Lagrangian Approach. J. Phys. Conf. Ser. 2015, 628, 12065. [Google Scholar] [CrossRef]
- Trentacoste, M. Users Manual for LS-DYNA Concrete Material Model 159; U.S. Department of Transportation: San Francisco, CA, USA, 2007.
- LS-DYNA Keyword User’s Manual (LS-DYNA R8.0); Livermore Software Technology Corporation: Livermore, CA, USA, 2015.
- Blatz, P.J.; Ko, W.L. Application of Finite Elastic Theory to the Deformation of Rubbery Materials. J. Rheol. 1962, 6, 223–252. [Google Scholar] [CrossRef]
- Murray, Y.D. Theory and Evaluation of Concrete Material Model 159. In Proceedings of the 8th International LS-DYNA Users Conference, Detroit, MI, USA, 2–4 May 2004. [Google Scholar]
- Parfilko, Y. Study of Damage Progression in CSCM Concretes Under Repeated Impacts. Master’s Thesis, Kate Gleason College of Engineering, Rochester, NY, USA, 2017. [Google Scholar]
- ANSYS. ANSYS LS-DYNA User’s Guide; ANSYS Inc.: Canonsburg, PA, USA, 2008. [Google Scholar]






















![]() | ![]() | ![]() | ![]() |
| Inflation | Acceleration | Separation | Impact |
| Tests No. | Specimen No. | h (mm) | v (m/s) | F (kN) | T (ms) | P (MPa) | I (MPa∙ms) |
|---|---|---|---|---|---|---|---|
| 1 | 1 | 20 | 15.58 | 2526.507 | 6.034 | 10.106 | 8.482 |
| 2 | 1 | 40 | 15.56 | 2121.595 | 7.801 | 8.486 | 8.720 |
| 3 | 2 | 50 | 15.56 | 1991.483 | 8.164 | 7.966 | 9.119 |
| 4 | 2 | 70 | 15.61 | 1690.673 | 9.166 | 6.763 | 9.755 |
| 5 | 2 | 100 | 15.63 | 1108.908 | 12.326 | 4.436 | 10.452 |
| 6 | 3 | 50 | 12.76 | 1611.070 | 6.848 | 6.457 | 8.573 |
| 7 | 3 | 50 | 15.61 | 2072.210 | 5.594 | 8.766 | 10.402 |
| 8 | 3 | 50 | 19.49 | 2894.249 | 5.481 | 11.577 | 11.915 |
| 9 | 4 | 50 | 23.41 | 4277.063 | 5.322 | 17.108 | 14.151 |
| 10 | 5 | 50 | 15.53 | 2103.832 | 7.862 | 8.415 | 9.779 |
| 11 | 5 | 50 | 15.65 | 2064.585 | 8.258 | 8.258 | 9.224 |
| Q | Impact Environment | Explosive Environment | ||||||
|---|---|---|---|---|---|---|---|---|
| v m/s | P MPa | I MPa∙ms | W kg | R m | Z m/kg1/3 | P MPa | I MPa∙ms | |
| ① | 12.76 | 6.457 | 8.869 | 2690.679 | 12.728 | 0.915 | 6.457 | 8.869 |
| ② | 12.76 | 6.457 | 8.869 | 216 | 2.964 | 0.494 | 31.206 | 8.869 |
| Tests No. | F (kN) | T (ms) | P (MPa) | I (MPa∙ms) |
|---|---|---|---|---|
| 3 | 1991.483 | 8.164 | 7.966 | 9.119 |
| 10 | 2103.832 | 7.862 | 8.415 | 9.779 |
| 11 | 2064.585 | 8.258 | 8.258 | 9.224 |
| Average | 2053.3 | 8.095 | 8.213 | 9.374 |
| Variance | 2167.392 | 0.029 | 0.035 | 0.084 |
| Unit Size (mm) | 5 | 7.5 | 10 | 20 | 30 |
|---|---|---|---|---|---|
| Pressure (MPa) | 26.420 | 26.505 | 26.107 | 25.934 | 25.631 |
| Impulse (MPa∙ms) | 17.058 | 17.358 | 17.445 | 17.322 | 17.203 |
| Computational time (min) | 34 | 13 | 7 | 2 | 1 |
| Tests No. | Experimental Test | Simulation | Deviation | |||
|---|---|---|---|---|---|---|
| Pressure (MPa) | Impulse (MPa∙ms) | Pressure (MPa) | Impulse (MPa∙ms) | Pressure (%) | Impulse (%) | |
| 6 | 6.457 | 8.870 | 6.083 | 9.489 | −5.602% | 6.979% |
| 7 | 8.289 | 10.912 | 8.35 | 11.242 | 0.736% | 3.024% |
| 8 | 11.577 | 11.912 | 12.18 | 13.307 | 5.209% | 11.711% |
| 9 | 17.108 | 14.152 | 16.646 | 14.997 | −2.700% | 5.971% |
Disclaimer/Publisher’s Note: The statements, opinions and data contained in all publications are solely those of the individual author(s) and contributor(s) and not of MDPI and/or the editor(s). MDPI and/or the editor(s) disclaim responsibility for any injury to people or property resulting from any ideas, methods, instructions or products referred to in the content. |
© 2023 by the authors. Licensee MDPI, Basel, Switzerland. This article is an open access article distributed under the terms and conditions of the Creative Commons Attribution (CC BY) license (https://creativecommons.org/licenses/by/4.0/).
Share and Cite
Xiong, Z.; Wang, W.; Yu, G.; Ma, J.; Zhang, W.; Wu, L. Experimental and Numerical Study of Non-Explosive Simulated Blast Loading on Reinforced Concrete Slabs. Materials 2023, 16, 4410. https://doi.org/10.3390/ma16124410
Xiong Z, Wang W, Yu G, Ma J, Zhang W, Wu L. Experimental and Numerical Study of Non-Explosive Simulated Blast Loading on Reinforced Concrete Slabs. Materials. 2023; 16(12):4410. https://doi.org/10.3390/ma16124410
Chicago/Turabian StyleXiong, Zhixiang, Wei Wang, Guocai Yu, Jian Ma, Weiming Zhang, and Linzhi Wu. 2023. "Experimental and Numerical Study of Non-Explosive Simulated Blast Loading on Reinforced Concrete Slabs" Materials 16, no. 12: 4410. https://doi.org/10.3390/ma16124410
APA StyleXiong, Z., Wang, W., Yu, G., Ma, J., Zhang, W., & Wu, L. (2023). Experimental and Numerical Study of Non-Explosive Simulated Blast Loading on Reinforced Concrete Slabs. Materials, 16(12), 4410. https://doi.org/10.3390/ma16124410





