Integrated Computing Accelerates Design and Performance Control of New Maraging Steels
Abstract
1. Introduction
2. Materials and Methods
3. Results
3.1. Machine Learning
3.2. Thermodynamic Calculations
4. Discussion
- (1)
- The GBR algorithm had the highest prediction accuracy, with R2 of 96.78%, 97.92%, 98.46%, and 98.58% for yield strength, tensile strength, elongation, and hardness, respectively. The correlation coefficients and three-dimensional prediction diagrams showed that Ni, Mo, Ti, and Co elements were positively correlated with the strength and negatively correlated with the elongation of the maraging steel; among them, Mo and Co positively affected the hardness.
- (2)
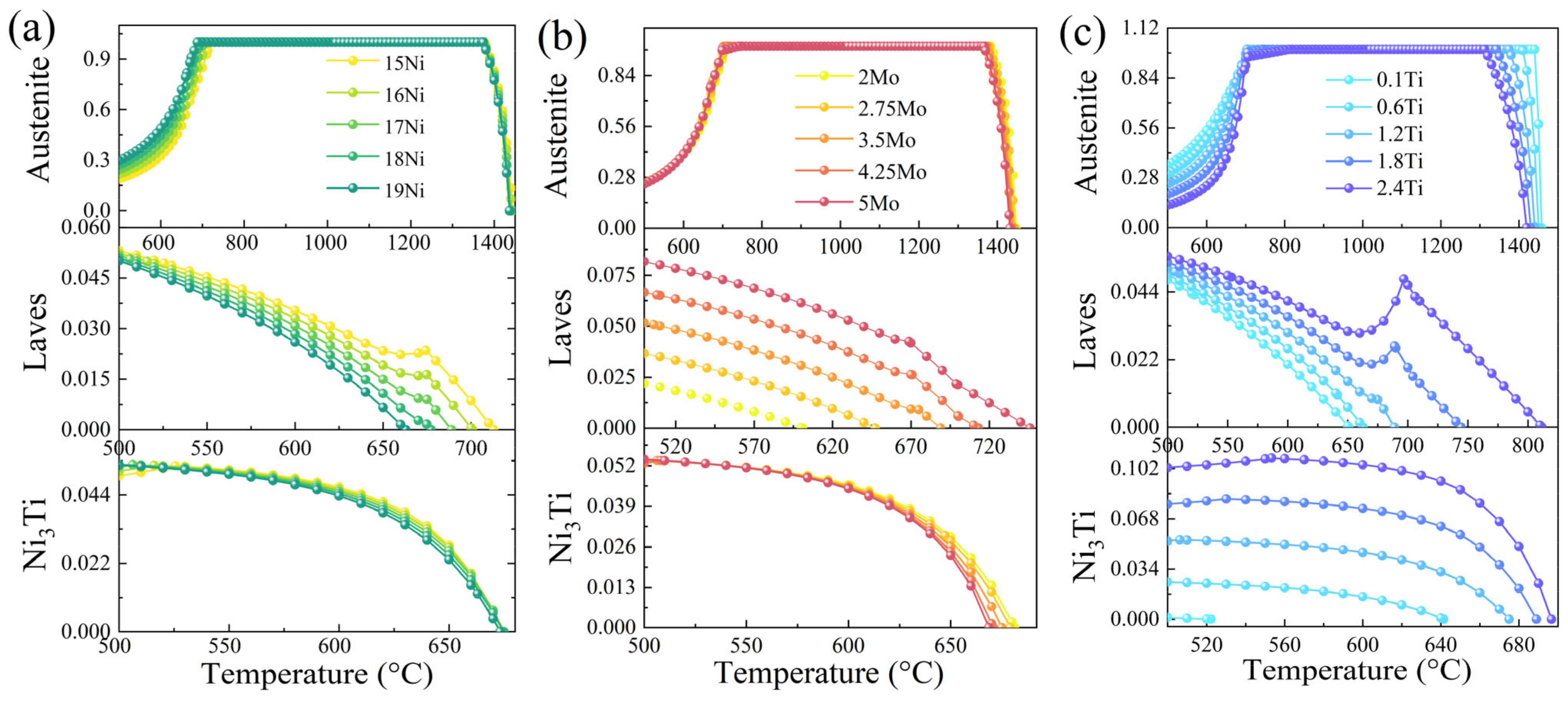
- Thermodynamic calculations showed that with the increase in Ni and Mo content, the temperature of the Ni3Ti precipitation phase decreased, and the content gradually decreased; with the increase in Ti content, the equilibrium temperature and content of Ni3Ti precipitation phase showed an increasing trend.
- (3)
- The matrix organization of the samples after ageing was martensite. The martensitic grain boundaries and intercrystalline fine dispersed nanoscale particles precipitation phase were mainly composed of Ni3Ti. The fracture mechanism of the samples with higher plasticity was mainly microporous polymerization fracture, while the samples with lower plasticity were mainly composed of quasi-cleavage or brittle fracture.
- (4)
- The experimentally prepared 17Ni-12.5Co-5Mo-0.1Ti new martensitic aged steel had a tensile strength of 1907 MPa, an elongation of 1.12%, and a hardness of 58 HRC. The error between this and the predicted result was within 10%, which verified the model’s accuracy and provided a research idea with high generalization capability and high efficiency for machine learning to accelerate the design of new ultra-high-strength steels.
5. Conclusions
Author Contributions
Funding
Data Availability Statement
Conflicts of Interest
References
- Zeisl, S.; Landefeld, A.; Steenberge, N.V.; Chang, Y.; Schnitzer, R. The role of alloying elements in NiAl and Ni3Ti strengthened Co-free maraging steels. Mater. Sci. Eng. A 2022, 861, 144313. [Google Scholar] [CrossRef]
- Pinson, M.; Das, S.M.; Springer, H.; Depover, T.; Verbeken, K. The addition of aluminum to brittle martensitic steels in order to increase ductility by forming a grain boundary ferritic microfilm. Scr. Mater. 2022, 231, 114606. [Google Scholar] [CrossRef]
- Ma, Y.X.; Gao, Y.F.; Zhao, L.; Li, D.L.; Men, Z.X. Optimization of Process Parameters and Analysis of Microstructure and Properties of 18Ni300 by Selective Laser Melting. Materials 2022, 15, 4757. [Google Scholar] [CrossRef] [PubMed]
- Manigandan, K.; Srivatsan, T.S.; Tammana, D.; Behrang, P.; Vasudevan, V.K. Influence of microstructure on strain controlled fatigue and fracture behavior of ultra-high strength alloy steel AerMet100. Mater. Sci. Eng. A 2014, 601, 29–39. [Google Scholar] [CrossRef]
- He, Y.; Su, G.Y.; Qu, W.S.; Kong, F.; He, L.; Yang, K. Grain size and its effect on tensile property of ultra-purified 18Ni maraging steel. Acta Metall. Sin. Chin. Ed. 2002, 38, 53–57. [Google Scholar] [CrossRef]
- Ravitej, S.V.; Madhav, M.; MohanBabu, K. Review paper on optimization of process parameters in turning Custom 465® precipitation hardened stainless steel. Mater. Today Proc. 2018, 5, 2787–2794. [Google Scholar] [CrossRef]
- Shamsdini, S.A.; Shakerin, S.; Hadadzadeh, A.; Babak, S.A.; Mohsen, M. A trade-off between powder layer thickness and mechanical properties in additively manufactured maraging steels. Mate. Sci. Eng. 2020, 776, 139041. [Google Scholar] [CrossRef]
- Kumar, N.; Ramesha, C.M.; Anilkumar, T.; Rajendra, P.; Chandan, B.R. Comparative Studies on Medium Carbon Low Alloy Steels and Maraging Steels. Appl. Mech. Mater. 2021, 903, 17–26. [Google Scholar] [CrossRef]
- Santos, P.; Avila, J.A.; Fonseca, E.; André, H.G.; André, L.J.; Éder, S.L. Plane-strain fracture toughness of thin additively manufactured maraging steel samples. Addit. Manuf. 2022, 49, 102509. [Google Scholar] [CrossRef]
- Deepak, G.K.; Priyanshu, K.; Somnath, C.; Gowrishankar, W.; Tessy, T. An investigation into microstructure and mechanical properties of maraging steel weldment. IOP Conf. Ser. Mater. Sci. Eng. 2021, 1104, 012014. [Google Scholar] [CrossRef]
- Sinha, P.P.; Tharian, T.; Sivakumar, D.; Sarma, D.S. Effects of solution treatment temperatures on microstructure, tensile and fracture properties of Co-free 18 Ni maraging steel. Steel Res. 2016, 65, 494–499. [Google Scholar] [CrossRef]
- Kempen, K.; Yasa, E.; Thijs, L.; Kruth, J.P.; Humbeeck, J.V. Microstructure and mechanical properties of Selective Laser Melted 18Ni-300 steel. Phys. Procedia 2011, 12, 255–263. [Google Scholar] [CrossRef]
- Wuriti, G.; Somnath, C.; Tessy, T. Acoustic emission test method for investigation of M250 maraging steel pressure vessels for aerospace applications. Mater. Today Proc. 2022, 49, 2176–2182. [Google Scholar] [CrossRef]
- Dehgahi, S.; Pirgazi, H.; Sanjari, M.; Seraj, P.; Odeshi, A.; Kestens, L.; Mohammadi, M. High strain rate torsional response of maraging steel parts produced by laser powder bed fusion techniques: Deformation behavior and constitutive model. Mech. Mater. 2022, 168, 104296. [Google Scholar] [CrossRef]
- Jha, A.K.; Kiranmayee, M.S.; Sreekumar, K.; Sinha, P.P. Failure analysis of M250 maraging steel stud used in Flex Nozzle Control actuator bracket of solid propulsion system. Eng. Fail. Anal. 2011, 18, 1128–1133. [Google Scholar] [CrossRef]
- Kassab, M.M.; El-Kameesy, S.U.; Eissa, M.M. A Study of Neutron and Gamma-Ray Interaction Properties with Cobalt-Free Highly Chromium Maraging Steel. J. Mod. Phys. 2015, 6, 1526–1532. [Google Scholar] [CrossRef]
- Mohrbacher, H. Advanced Steel Alloys for Sustainable Power Generation. In Green and Sustainable Manufacturing of Advanced Material; Elsevier: Amsterdam, The Netherlands, 2016; pp. 165–193. [Google Scholar] [CrossRef]
- Gil, J.; Seca, R.; Amaral, R.; Omid, E.; Reis, A.; Abílio, J. 18Ni300 Maraging Steel Produced via Direct Energy Deposition on H13 Tool Steel and DIN CK45. Key Eng. Mater. 2022, 926, 194–205. [Google Scholar] [CrossRef]
- Strakosova, A.; Pra, F.; Michalcová, A.; Dalibor, V. Structure and Mechanical Properties of the 18Ni300 Maraging Steel Produced by Spark Plasma Sintering. Met. -Open Access Metall. J. 2021, 11, 748. [Google Scholar] [CrossRef]
- Conde, F.F.; Avila, J.A.; Oliveira, J.P.; Schell, N.; Oliveira, M.F.; Escobar, J.D. Effect of the as-built microstructure on the martensite to austenite transformation in a 18Ni maraging steel after laser-based powder bed fusion. Addit. Manuf. 2021, 46, 102122. [Google Scholar] [CrossRef]
- Niu, M.C.; Yin, L.C.; Yang, K.; Luan, J.H.; Wang, W.; Jiao, Z.B. Synergistic alloying effects on nanoscale precipitation and mechanical properties of ultrahigh-strength steels strengthened by Ni3Ti, Mo-enriched, and Cr-rich co-precipitates. Acta Mater. 2021, 209, 116788. [Google Scholar] [CrossRef]
- Riccardo, C.; Jannis, L.; Ausonio, T.; Maurizio, V. Aging Behaviour and Mechanical Performance of 18-Ni 300 Steel Processed by Selective Laser Melting. Met. -Open Access Metall. J. 2016, 6, 218. [Google Scholar] [CrossRef]
- Jiao, Z.B.; Luan, J.H.; Miller, M.K.; Liu, C.T. Precipitation mechanism and mechanical properties of an ultra-high strength steel hardened by nanoscale Ni-Al and Cu particles. Acta Mater. 2015, 97, 58–67. [Google Scholar] [CrossRef]
- Sliva, A.K.; Filhol, I.R.; Lu, W.; Zilnyk, K.D.; Hupalo, M.F.; Alves, L.M.; Ponge, D.; Gault, B.; Raabe, D. A sustainable ultra-high strength Fe18Mn3Ti maraging steel through controlled solute segregation and α-Mn nanoprecipitation. Nat. Commun. 2022, 13, 2330. [Google Scholar] [CrossRef]
- Zhang, F.C.; Wang, T.S.; Zhang, P.; Zheng, C.L.; Lv, B.; Zhang, M.; Zheng, Y.Z. A novel method for the development of a low temperature bainitic microstructure in the surface layer of low carbon steel. Scr. Mater. 2008, 59, 294–296. [Google Scholar] [CrossRef]
- Chen, F.R.; Huo, L.X.; Zhang, Y.F.; Zhang, L.; Liu, F.J.; Chen, G. Effects of electron beam local post weld heat treatment on the microstructure and properties of 30CrMnSiNi2A steel welded joints. J. Mater. Process. Technol. 2002, 129, 412–417. [Google Scholar] [CrossRef]
- Luo, H.W.; Shen, G.H. Progress and perspective of ultra-high strength steels having high toughness. Acta Met. Sin 2019, 56, 494–512. [Google Scholar] [CrossRef]
- Raabe, D.; Ponge, D.; Dmitrieva, O.; Sander, B. Nanoprecipitate hardened 1.5 GPa steels with unexpected high ductility. Scr. Mater. 2009, 60, 1141–1144. [Google Scholar] [CrossRef]
- Lee, H.; Jo, M.C.; Sohn, S.S.; Zargaran, A.; Joo, H.R.; Nack, J.K.; Lee, S. Novel medium Mn (austenite/martensite) duplex hot-rolled steel achieving 1.6 GPa strength with 20% ductility by Mn segregation induced TRIP mechanism. Acta Mater. 2018, 147, 247–260. [Google Scholar] [CrossRef]
- Grassel, O.; Krüger, L.; Frommeyer, G.; Meyer, L.W. High strength Fe-Mn-(Al, Si) TRIP/TWIP steels development properties application. Int. J. Plast. 2000, 16, 1391–1409. [Google Scholar] [CrossRef]
- Liu, L.; Yu, Q.; Wang, Z.; Ell, J.; Huang, M.X.; Ritchie, R.O. Making ultrastrong steel tough by grain boundary delamination. Science 2020, 368, 1347–1352. [Google Scholar] [CrossRef]
- Liu, Z.B.; Yang, Z.; Wang, X.H.; Liang, J.X.; Yang, Z.Y.; Wu, H.; Sha, G. Enhanced strength-ductility synergy in a new 2.2 GPa grade ultra-high strength stainless steel with balanced fracture toughness: Elucidating the role of duplex aging treatment. J. Alloy. Compd. 2022, 928, 167135. [Google Scholar] [CrossRef]
- Jiang, S.; Wang, H.; Wu, Y.; Liu, X.J.; Chen, H.H.; Yao, M.J.; Gault, B.; Ponge, D.; Raabe, D.; Hirata, A.; et al. Ultrastrong steel via minimal lattice misfit and high-density nanoprecipitation. Nature 2017, 544, 460–464. [Google Scholar] [CrossRef] [PubMed]
- Wang, S.; Zhao, T.; Liu, Z.; Du, C.; Li, X. Exploration of the processing scheme of a novel Ni (Fe, Al) maraging steel. J. Mater. Res. Technol. 2020, 10, 225–239. [Google Scholar] [CrossRef]
- He, Y.; Yang, K.; Qu, W.; Kong, F.; Su, G. Strengthening and toughening of a 2800 MPa grade maraging steel. Mater. Lett. 2002, 56, 763–769. [Google Scholar] [CrossRef]
- Vernerey, F.; Liu, W.K.; Moran, B.; Olson, G. Multi-length scale micromorphic process zone model. Comput. Mech. 2009, 44, 433–445. [Google Scholar] [CrossRef]
- Wang, Z.L.; Adachi, Y. Property prediction and properties-to-microstructure inverse analysis of steels by a machine-learning approach. Mater. Sci. Eng. A 2019, 744, 661–670. [Google Scholar] [CrossRef]
- Liu, R.Q.; Kumar, K.; Cheng, Z.Z.; Agrawal, A.; Sundararaghavan, V.; Choudhary, A. A predictive machine learning approach for microstructure optimization and materials design. Sci. Rep. 2015, 5, 11551. [Google Scholar] [CrossRef]
- Kuehmann, C.J.; Olson, G.B. Computational materials design and engineering. Maney Publ. 2009, 25, 472–478. [Google Scholar] [CrossRef]
- Qiao, L.; Ramanujan, R.V.; Zhu, J.C. A Machine learning discovery of a new cobalt free multi-principal-element alloy with excellent mechanical properties. Mater. Sci. Eng. A 2022, 845, 143198. [Google Scholar] [CrossRef]
- Azimi, S.M.; Britz, D.; Engstler, M.; Fritz, M.; Mücklich, F. Advanced Steel Microstructural Classification by Deep Learning Methods. Sci. Rep. 2018, 8, 2128. [Google Scholar] [CrossRef]
- Wang, J.; Di, X.; Li, C.; Wang, D. The Influence of Ni on Bainite/Martensite Transformation and Mechanical Properties of Deposited Metals Obtained from Metal-Cored Wire. Metals 2021, 11, 1971. [Google Scholar] [CrossRef]
- Kawagoishi, N.; Nagano, T.; Goto, M.; Maeda, Y.; Moriyama, M. Effect of Humidity on Fatigue Strength of Maraging Steel. Jpn. Soc. Mech. Eng. Jpn. 2009, 17, 600–606. [Google Scholar] [CrossRef]
- Jiang, Y. Alloying Design and Organisational Properties of Martensitic Ageing Stainless Steels; Harbin Institute of Technology Press: Harbin, China, 2007; pp. 119–128. [Google Scholar]
- Fathy, A.; Mattar, T.; El-Faramawy, H.; Bleck, W. Mechanical properties of new low-nickel cobalt-free maraging steels. Steel Res. 2003, 73, 549–556. [Google Scholar] [CrossRef]










| Rp0.2 | Rm | A | Hv | ||||
|---|---|---|---|---|---|---|---|
| Ni | 0.766 | Co | 0.857 | Mo | −0.742 | Mo | 0.936 |
| Mo | 0.700 | Mo | 0.770 | Co | −0.718 | Co | 0.933 |
| Cr | −0.699 | Cr | −0.717 | Cr | 0.601 | Cr | −0.852 |
| Co | 0.658 | Ni | 0.632 | Ni | −0.440 | Nb | −0.686 |
| Ti | 0.611 | Cu | −0.470 | Ti | −0.314 | Cu | −0.652 |
| No. | Ni | Co | Mo | Ti | Al | Fe | Rp-Pre | Rm-Pre | A-Pre | Hv-Pre |
|---|---|---|---|---|---|---|---|---|---|---|
| 1 | 15 | 12.5 | 2 | 1.2 | 0.1 | Bal. | 1442 | 1496 | 9.14 | 53.8 |
| 2 | 19 | 12.5 | 3.5 | 2.4 | 0.1 | Bal. | 1609 | 1672 | 6.56 | 52.7 |
| 3 | 17 | 12.5 | 5 | 0.1 | 0.1 | Bal. | 1754 | 1811 | 3.54 | 59.2 |
| No. | Ni | Co | Mo | Ti | Al | Fe | Rp-act | Rm-act | A-act | Hv-act |
|---|---|---|---|---|---|---|---|---|---|---|
| 1 | 14.89 | 12.45 | 2.11 | 1.21 | 0.09 | Bal. | 1487 | 1512 | 7.82 | 54.2 |
| 2 | 19.02 | 12.47 | 3.24 | 2.21 | 0.06 | Bal. | 1694 | 1724 | 5.86 | 51.5 |
| 3 | 16.87 | 12.43 | 4.96 | 0.13 | 0.08 | Bal. | 1887 | 1907 | 1.12 | 58.7 |
| 4 [43] | 18.72 | 8.94 | 5 | 0.92 | 0.12 | Bal. | 1634 | 1798 | 4.8 | 52.3 |
| 5 [44] | 8.3 | 10.56 | 5.51 | 0.2 | 0.41 | Bal. | 1576 | 1602 | 8.1 | - |
| 6 [45] | 11.14 | 0 | 0.016 | 1.65 | 0.154 | Bal. | 1609 | 1637 | 2 | - |
Disclaimer/Publisher’s Note: The statements, opinions and data contained in all publications are solely those of the individual author(s) and contributor(s) and not of MDPI and/or the editor(s). MDPI and/or the editor(s) disclaim responsibility for any injury to people or property resulting from any ideas, methods, instructions or products referred to in the content. |
© 2023 by the authors. Licensee MDPI, Basel, Switzerland. This article is an open access article distributed under the terms and conditions of the Creative Commons Attribution (CC BY) license (https://creativecommons.org/licenses/by/4.0/).
Share and Cite
Chen, S.; Zhu, J.; Liu, T.; Liu, Y.; Fu, Y.; Shimada, T.; Liu, G. Integrated Computing Accelerates Design and Performance Control of New Maraging Steels. Materials 2023, 16, 4273. https://doi.org/10.3390/ma16124273
Chen S, Zhu J, Liu T, Liu Y, Fu Y, Shimada T, Liu G. Integrated Computing Accelerates Design and Performance Control of New Maraging Steels. Materials. 2023; 16(12):4273. https://doi.org/10.3390/ma16124273
Chicago/Turabian StyleChen, Shixing, Jingchuan Zhu, Tingyao Liu, Yong Liu, Yudong Fu, Toshihiro Shimada, and Guanqi Liu. 2023. "Integrated Computing Accelerates Design and Performance Control of New Maraging Steels" Materials 16, no. 12: 4273. https://doi.org/10.3390/ma16124273
APA StyleChen, S., Zhu, J., Liu, T., Liu, Y., Fu, Y., Shimada, T., & Liu, G. (2023). Integrated Computing Accelerates Design and Performance Control of New Maraging Steels. Materials, 16(12), 4273. https://doi.org/10.3390/ma16124273

